魔角扭曲双层石墨烯热导率的研究
2023年6月21日 09:23
来源 | Materials Today Physics
背景介绍
扭曲双层石墨烯(TBG)表现出具有较大第二晶格周期性的moire图。当两层石墨烯之间的扭转角达到1.08度时,出现能带杂交和避免交叉,导致在Dirac点附近形成平坦带。这种不寻常的行为被称为“魔角”,导致了在单层或双层石墨烯中都不常见的新现象。其中包括电子相关、超导、自发铁磁性、量子化异常霍尔态和拓扑保护态。这个魔角自从其理论预测和实验观测以来,近年来引起了大量的研究兴趣。
目前,对TBG的研究大多集中在电子性质上,对热输运性质的研究较少。考虑到单层石墨烯在室温下具有优异的导热系数~ 3000-5000 W/mK,并且在热管理方面具有广泛的应用,明确其热传递特性如何依赖于扭转角也是非常重要的。由于双层石墨烯的扭转可以产生类似于声子晶体的第二周期,因此TBG的热输运性质应该与扭转角有关。
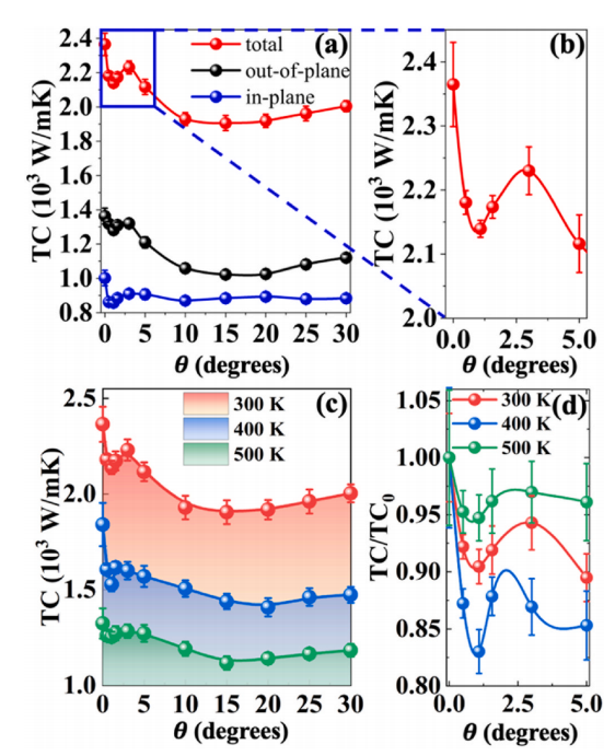
虽然热输运在TBG已经研究了一段时间,潜在的声子输运机制在不同的扭转角度仍然不清楚。首先,已知的魔角约为1.08度。然而,目前研究热输运的实验和模拟并没有涵盖这个角度,而是研究了从0度到30度的大角度步长。因此,导热系数如何围绕魔角变化仍然是一个未解决的问题。
02
成果掠影
近期,广东工业大学熊世云教授联合南方科技大学李保文教授在研究魔角扭曲双层石墨烯热导率取得新进展。
在这项工作中,团队报告了1.08◦附近的异常行为,其中热导率显示局部最小值。报道了扭曲双层石墨烯(TBG)的局部最小导热系数,这与其他几个已报道的性质转变中的“魔角”相对应。在moire晶格的超级单体内,不同的堆叠模式会产生声子散射,从而降低TBG的导热系数。热魔角的产生一方面是原子振动振幅和应力的离散区域,另一方面是AA堆积密度的增加。前者削弱了单个散射体的散射强度,后者增加了散射体的密度。这两种作用的结合最终导致热传导中突出的不规则现象的出现。本文揭示了纳米尺度下新的热机制,进一步揭示了二维材料的独特物理特性。
研究成果以“Magic angle in thermal conductivity of twisted bilayer graphene ”为题发表于《Materials Today Physics》。
图文导读
图4.(a) θ = 1.08◦,(b) θ = 1.56◦,(c) θ = 5◦在300 K下石墨烯底层原子应力沿x方向的空间分布。
图5.(a) θ = 1.08◦和(b) θ = 5◦时AA, AB和SP堆叠区原子的声子态密度。
END
工程师必备
- 项目客服
- 培训客服
- 平台客服
TOP




















