襟翼气动载荷测量方法优化
2023年6月26日 17:101
思维导图
2
研究背景与目的
襟翼是飞机的重要增升翼面,为获取准确的襟翼气动载荷,需要在襟翼上布置测压孔并进行风洞试验。当前,随着数控加工和3D打印的广泛应用以及七孔探针等精密仪器的使用越来越多,测压孔本身对试验结果的影响越来越小,而测压孔位置的布置和测压数据的处理方法对试验结果的影响越来越占据主要地位。因此,确定合适的测压孔布置方案和插值方法有助于提高测量准确度。
本文依据CFD仿真提供的襟翼压力分布规律,确定了一种可用于某型民用运输飞机襟翼低速风洞测压试验的测压孔布置方案,并研究了不同插值方法对垂向力和铰链轴力矩测量结果准确度的影响,对襟翼垂向力和铰链轴力矩测量具有参考作用。
3
计算方法、测压孔布置方案和插值方法
1) 计算方法
如图1所示,取襟翼展向上任一横截面,则该横截面所受展向单位气动载荷包括阻力FX、升力FY和铰链轴力矩M。其中,FX和FY可通过式(1)转化为沿弦向(x方向)的分力即弦向力Fx和垂直于弦向力(y方向)的垂向力Fy。
图1 襟翼展向某横截面所受气动载荷示意图
由于对低速流体气动力问题已有较成熟的CFD技术,因此本文认为CFD计算结果能够很好地反映低速风洞试验测压数据,并假定测压孔对襟翼气动性能的影响可以忽略不计。首先基于CFD数据,将压力在襟翼横截面边界所围成的封闭曲线上进行第二类曲线积分,得到单位展长襟翼所受垂向力和铰链轴力矩作为参考值;然后在襟翼横截面边界所围成的封闭曲线上从前缘点开始顺时针取测压孔位置并插值得到这些点对应的压力值作为测压孔测得压力数据,将测压孔数据重新在封闭曲线上插值并进行第二类曲线积分得到单位展长襟翼所受垂向力和铰链轴力矩测量值;最后通过相对误差来考察该测压孔布置方案的测量准确度。
2) 襟翼压力分布规律
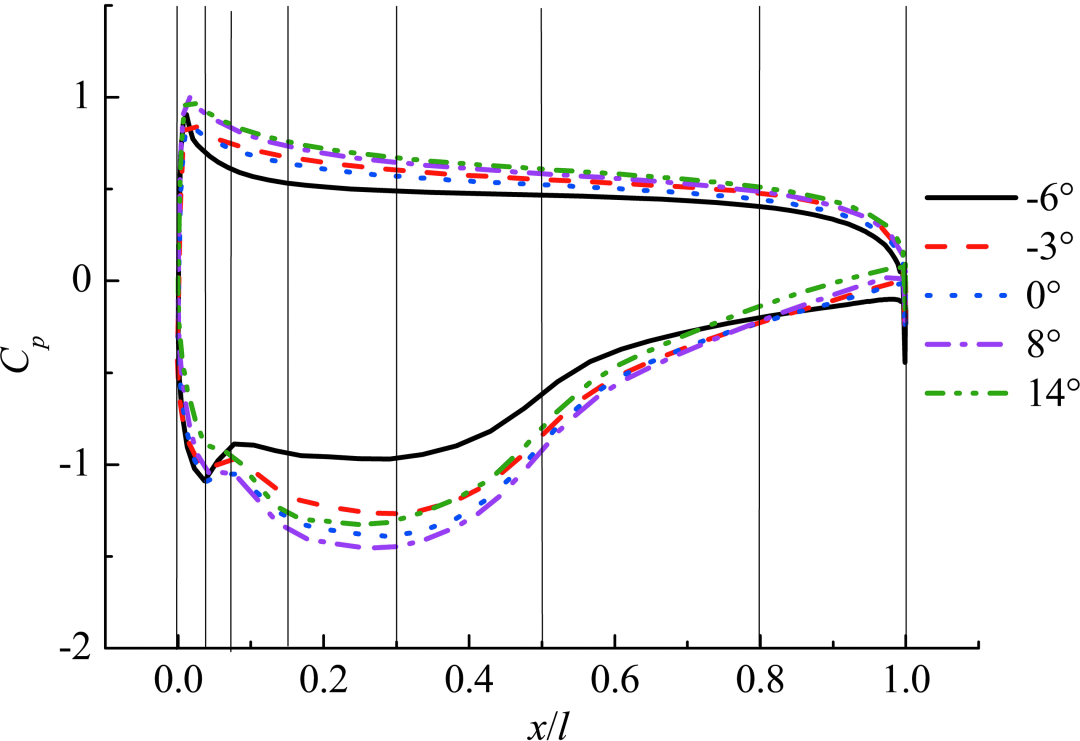
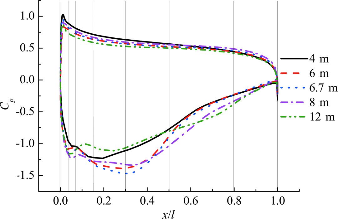
图2和图3比较了不同迎角和不同横截面的襟翼压力沿弦向分布的规律。由图可知,不同迎角下各横截面的压力分布规律总体上是很相似的,如压力最大值点(速度驻点)都在前缘点附近,下表面为正压,上表面为负压,后缘点压力系数几乎为0;进一步考察可以发现,x/l在0.07~0.15, 0.15~0.3, 0.3~0.5, 0.5~0.8, 0.8~1处压力的变化较平缓,x/l在0~0.07处压力变化较为剧烈。
图2 Z=6 m不同迎角下襟翼压力沿弦向分布
图3 -6°迎角下襟翼不同展向横截面压力沿弦向分布
此外,不同迎角下压力分布具有一定的差异,迎角越小,x/l在0~0.07处压力分布非线性越强,后缘压力系数偏离0越多;横截面越靠近翼尖,前缘压力系数最大值偏离1越多且其值越小,前缘附近上表面的压力分布非线性越强;横截面越靠近翼根,靠近前缘的下表面压力分布非线性越强。
3) 测压孔布置方案
根据前述测量值计算方法,每两个相邻测压孔之间压力分布不应有较强非线性。考虑到图2和图3中弦向比例x/l为0~0.07时压力变化较剧烈的位置距离铰链轴非常近,则应在该段适当加密测压孔。根据以上分析,本文取弦向比例为0.04, 0.07, 0.15, 0.3, 0.5, 0.8作为测压孔位置。根据前述襟翼压力分布规律,本文假定前缘点压力系数为1,后缘点压力系数为0。
4) 插值方法
本文分别采用分段线性插值法和非扭结边界条件的三次样条插值法处理压力分布数据。
4
计算结果分析
表1给出了采用分段线性插值法并进行第二类曲线积分得到的各迎角下不同横截面中垂向力相对误差最大值和铰链轴力矩相对误差最大值及其对应的展向坐标。由表中数据可知,迎角为正时最大误差小于迎角为负;最大误差总体上随着迎角减小而增大,垂向力和铰链轴力矩的相对误差最大均出现在-6°迎角下展向坐标为5 m的横截面,分别为-6.06%和-12.30%。结合图2和图3可知,这是由于迎角为负时,x/l在0~0.07处压力分布具有较强的非线性,x/l为1时压力系数也小于0,且迎角越小前缘附近的非线性越强,后缘压力系数偏离0越多,这些因素都会导致相对误差增加。
采用非扭结边界条件的三次样条插值方法再次进行计算,得到垂向力和铰链轴力矩相对误差最大值及其对应展向坐标如表2所示。可以看出,该种方法的最大误差明显小于线性插值的误差,其最大误差不超过-6%。
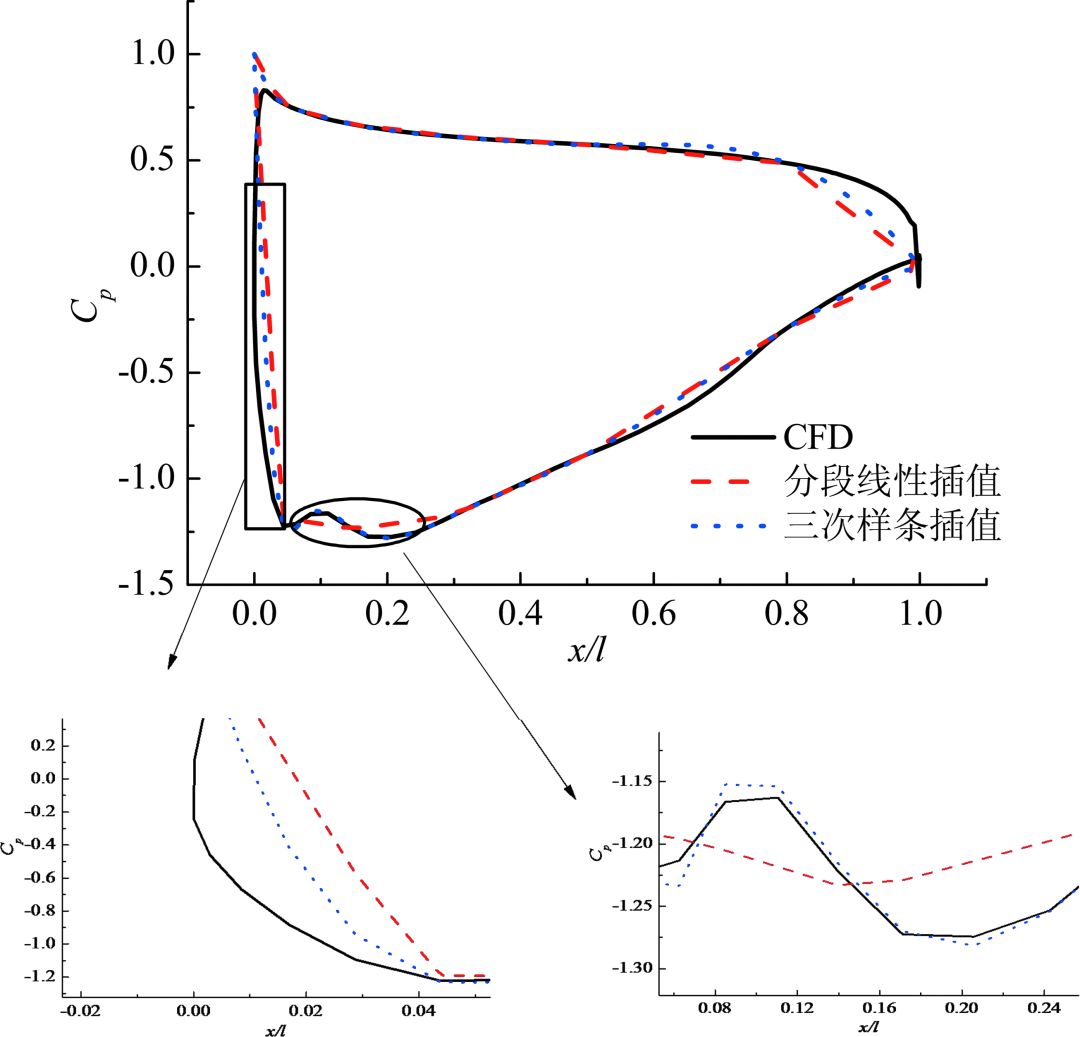
为考察分段线性插值法和三次样条插值法得到的相对误差明显不同的原因,以14°迎角下展向11 m横截面为例,比较了两种插值方法和CFD结果的差异。由图4可以看出,接近前缘和后缘的插值结果和CFD相差较大,但三次样条插值法同CFD更接近。
图4 Cp分布插值对比(14°迎角11 m展向横截面)
综上可知,三次样条插值得到的压力系数分布和CFD更接近,因此得到的垂向力和铰链轴力矩和参考值更吻合。
5
研究结论
为提高襟翼气动载荷测量准确性,本文基于CFD仿真数据,分析了某民用飞机襟翼表面压力分布规律,研究并优化该民用运输飞机襟翼低速风洞试验测压孔布置方案,考察了插值方法对垂向力和铰链轴力矩测量误差,得到了如下结论:
(1)不同迎角和不同横截面压力分布虽然存在一定差异,但相似性较高。弦向比例x/l在0.07~0.15, 0.15~0.3, 0.3~0.5, 0.5~0.8, 0.8~1处压力变化率的变化较小。
(2)取弦向比例为0.04, 0.07, 0.15, 0.3, 0.5, 0.8,并取前缘点压力系数为1,后缘点压力系数为0的测压孔布置方案用线性插值方法计算得到的相对误差最高不超过-13%,最低在-1%以下;用三次样条插值方法计算得到的相对误差最高不超过-6%,明显小于前者。
(3)垂向力相对误差沿展向分布较为均匀,铰链轴力矩相对误差靠近翼尖和机身的区域较大,远离翼尖和机身的区域较小;在远离翼尖和机身的区域采用该方案测量准确度较高。
6
作者信息
何超杰* 黄勇
(上海飞机设计研究院,上海 201210)
7
论文信息
DOI: 10.19416/j.cnki.1674-9804.2023.01.005
引用格式:何超杰,黄勇.襟翼气动载荷测量方法优化[J].民用飞机设计与研究,2023(1):31-37.
论文网址:
http://myfj.cnjournals.com/myfjsjyyj/article/abstract/20230105
文章来源民用飞机设计与研究
工程师必备
- 项目客服
- 培训客服
- 平台客服
TOP




















