新能源汽车驱动电机轴承噪声分析及改进措施
2023年6月28日 16:09孙玉玲1,何浩2,颜静1,邓涛3
(1.浙江阿尔法动力技术有限公司,浙江 嘉兴 314000;2.浙江合众新能源汽车有限公司,浙江 嘉兴 314000;3.重庆交通大学 航空学院,重庆 400074)
摘要:针对新能源汽车驱动电动机噪声大的问题,从新能源汽车中央电动机皮带传动结构的驱动总成形式入手,分析了不同径向载荷和转速下轴承的受力情况,采用西门子LMS便携式振动噪声分析仪对电动机噪声来源进行分析,发现电动机嘀嗒声可能由保持架与钢球碰撞产生。提出采用工程塑料保持架进行降噪处理,对使用不同材料保持架的轴承进行噪声对比,并分析了轴承径向游隙对电动机噪声的影响。结果表明,采用工程塑料保持架及较小游隙的轴承可有效降低新能源汽车驱动电机轴承噪声。
关键词:滚动轴承;深沟球轴承;新能源;电动机;噪声;优化设计;工程塑料;径向游隙
随着国内外新能源汽车的快速发展,其噪声、振动与声振粗糙度(Noise Vibration Harshness,NVH)等性能逐渐受到关注,成为衡量汽车品质的重要指标之一,如何降低新能源汽车的振动和噪声也成为研究热点。新能源汽车噪声来自于轮胎、空气动力、传动系、电动机等方面,噪声控制问题复杂。
国内外对新能源汽车噪声的研究取得了一定成果:文献[1]详细介绍了汽车噪声的主客观评价方法、评价指标;文献[2]分析了新能源汽车驱动总成噪声的传递特性;文献[3]分析了新能源汽车永磁同步电动机的噪声产生机理和频谱特征。与传统燃油汽车发动机噪声相比,新能源汽车驱动电动机噪声频率更高,往往处于人对噪声的敏感频带,故电动机噪声对整车的乘坐舒适性有重大影响。根据来源,电动机噪声可分为机械噪声、电磁噪声和气动噪声[4]。
相关人员对电动机降噪也做了一定的研究:文献[5]提出采用声学包裹的方法优化噪声,试验证明该方法优化效果良好;文献[6]通过对电动机壳体结构优化和电动机控制策略来降低车内噪声,基本消除了电动机啸叫噪声;文献[7]基于有限元软件仿真分析了永磁同步电动机的电磁振动特性,并通过在电动机薄弱部位加筋来降低电动机噪声。
目前,对降低电动机噪声的研究大多集中在消除电动机电磁噪声,如何消除电动机机械噪声的研究较少。在此,对新能源汽车驱动电动机机械噪声进行研究,分析电动机噪声的来源及电机轴承的受力情况,从电机轴承材料、参数选择对电机轴承进行优化。
不同类型的新能源汽车,其动力总成结构不同,典型代表有中央电动机横置驱动结构、中央电动机直驱动力结构、中央电动机皮带传动结构和轮毂/轮边电动机结构,每种动力总成结构都有其独有的特点。选取中央电动机皮带传动动力总成为研究对象,如图1所示。
图1 中央电动机皮带传动结构
Fig.1 Belt drive structure of central motor
轴承是电动机的关键零部件,其选型至关重要。电动机结构设计的主要任务之一就是计算轴承设计寿命及疲劳寿命,确定轴承尺寸。轴承选型不仅要考虑润滑脂老化引起的润滑脂寿命、磨损、噪声,还要根据电动机用途对轴承精度、配合、游隙、保持架、润滑脂、密封结构、装卸及其他特殊要求综合评估[8]。
皮带传动结构(图2)对电动机输出端的皮带径向力与电动机转子重力的夹角为60°。在不同转速n下电动机输出端持续受到不同的皮带径向拉力,电机轴承受力如图3所示,将测力计安装在皮带上可测得皮带径向力,电动机前后端轴承所受径向力与皮带径向力有如下关系
(1)
式中:Fnet为皮带径向力;F1,F2分别为电动机前后端轴承所受径向力;Lnet为皮带至电动机后端轴承的中心距;L1为电动机前后端轴承中心距。
1—电动机中心轴;2—电动机前端盖;3—电动机后端盖;4—电动机后端轴承;5—电动机前端轴承。
图2 皮带传动结构示意图
Fig.2 Diagram of belt drive structure
1—电动机中心轴;2—电动机输出端;3—电动机前端盖;4—电动机后端盖。
图3 电机轴承受力简图
Fig.3 Forces of motor bearing
根据(1)式可得在不同转速n下电动机前后端轴承所受的径向力,结果见表1。
表1 不同转速下电机轴承所受径向力
Tab.1 Radial forces of motor bearings under different rotational speeds
为分析电动机前后端轴承对噪声的贡献,制作了满足寿命要求的10台电动机作为试验样品,电动机前后端轴承分别选用6308-2Z/C3GJN,6206-2Z/C3GJN,主要参数见表2。
表2 电动机前后端轴承主要参数
Tab.2 Main parameters of front and rear bearings for motor
首先测试电动机工作性能,满足要求后再测试NVH性能。
电动机安装在测试台架上,测试台架原理同图1,电动机前后端盖表面各粘贴一个振动传感器,麦克风悬置固定在距离小带轮10 cm处。
空载下使电动机转动,采用声级计测得不同转速下电动机噪声分贝值在80 dB以下,表现正常。
将电动机装上台架并加载皮带径向力测试,调整皮带径向力为1 600 N,电动机转速为300 r/min,使用听诊器听到电动机发出嘀嗒声。将电动机转速增加到500 r/min,嘀嗒声仍然存在。
进一步采用NVH专业设备(西门子LMS便携式振动噪声分析仪)采集电动机噪声,分别在电动机前后端盖布置振动传感器,麦克风布置在小带轮前端,电动机转速分别为300,500 r/min时电动机噪声频谱如图4所示。
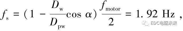
由图4a可知:电动机异常声的频率在2 800~3 000 Hz之间,噪声频率为
电动机转轴转动频率为
可得电动机前端轴承保持架转动频率为
图4 电动机噪声频谱
Fig.4 Frequency spectrum of motor noise
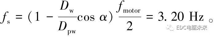
式中:Dw为钢球直径;Dpw为球组节圆直径;α为接触角。
由图4b可知:电动机异常声的频率同样在2 800~3 000 Hz之间,噪声频率为
电动机转轴转动频率为
保持架转动频率为
综上分析可知:保持架转动频率与电动机异常声频率接近,初步判断电动机嘀嗒声是由保持架与钢球(或轨道轮)碰撞产生。
3.1 优化设计方案
保持架与钢球之间存在间隙,撞击所产生的振动无法完全避免。降低保持架噪声的方法主要有:1)增大轴承装配后的预紧量;2)优化保持架内圆兜孔直径,减小间隙量;3)采用轻量化、耐冲击、低噪声、适合高速回转的工程塑料保持架。根据轴承实际使用工况,选择工程塑料保持架来降低噪声。
3.2 试验验证
选取工程塑料保持架C3游隙轴承与钢保持架C3游隙轴承进行异常声对比。同一尺寸的工程塑料保持架轴承有2种型号,采用油脂不同,使用温度范围也有差别,根据电动机实际装车状态,选择耐温范围更宽的E2系列,主要参数见表3。
表3 尼龙保持架轴承主要参数
Tab.3 Main parameters of bearing with nylon cage
选取3台电动机,对3台电动机的前后端轴承进行了一系列的排列组合试装,验证电动机是否有异常声,结果见表4。
由表4可知:仅在前后端轴承全部换成工程塑料保持架时电动机异常声才会消失,这也验证了先前的测试结论。
为进一步验证,选择NVH测试设备对3台前后端轴承均换为工程塑料保持架的电动机进行测试。在不同皮带径向力和转速下采集的装有钢保持架C3游隙轴承和工程塑料保持架C3游隙轴承的电动机噪声频谱如图5所示,钢保持架轴承的噪声要高于工程塑料保持架。
表4 不同轴承组合下电动机噪声表现
Tab.4 Noise performances of motor with different bearing combinations
综上分析可知,采用工程塑料保持架可降低噪声。
图5 不同径向力和转速下电动机噪声频谱
Fig.5 Frequency spectrum of motor noise under different radial forces and rotational speeds
大多数情况下,轴承运行时需留有一定的游隙,最佳工作游隙一般为接近于零的正值。轴承类型和尺寸不同,安装前的初始游隙和安装后的允许游隙减小量也不同。过盈配合时游隙减小量大,则需要更大的初始游隙,以防止轴承预紧量过小(负游隙)。
预紧有好处,也有风险。对轴承刚性要求较高,或轴承存在极轻载荷或无外载荷时,需要轻微预紧。若预紧量过大,可能导致轴承过热,进一步增加预紧、摩擦和热量。该情况将一直持续,直至轴承被卡死。
要确定轴承初始游隙,需首先确定轴承运转时所需的工作游隙。影响轴承工作游隙的因素很多,要综合考虑轴承公差、配合和组件温度的影响。轴承所需初始游隙可表示为
G=Gop+ΔGfit+ΔGtemp,
(2)
式中:Gop为轴承工作游隙;ΔGfit为由配合引起的游隙减小量;ΔGtemp为由温差引起的游隙减小量。
对装有不同游隙轴承的电动机进行噪声测试,试验方案见表5(除游隙外,轴承其余参数均相同)。前后端轴承游隙由C3调整至CN时,根据寿命计算,油脂寿命增加了16.7%,轴承寿命增加了6.9%,均满足寿命要求,装机测试无异常声。电动机噪声频谱如图6所示:游隙越小,电动机噪声越小。
表5 不同游隙轴承组合时电动机噪声表现
Tab.5 Noise performances of motor with bearing of different clearance combinations
针对新能源汽车驱动电动机机械噪声问题进行研究,对电机轴承的受力情况及电动机噪声来源进行分析,并提出采用工程塑料保持架来代替钢保持架,以及选取合适的轴承游隙来降低电动机噪声的方法。试验结果表明,该方法可以有效降低电动机噪声。
图6 不同游隙下电动机噪声频谱
Fig.6 Frequency spectrum of motor noise under different clearances
参考文献:
[1] 贺岩松,涂梨娥,徐中明,等.汽车声品质研究综述[J].汽车工程学报,2014,4(6):391-401.
[2] 康强,顾鹏云,李洁,等.电动汽车电驱动总成噪声传递特性测试和分析[J].噪声与振动控制,2018,38(6):109-112.
[3] 张守元,李玉军,杨良会.某电动汽车车内噪声改进与声品质提升[J].汽车工程,2016,38(10):1245-1251.
[4] 《中国公路学报》编辑部.中国汽车工程学术研究综述·2017[J].中国公路学报,2017,30(6):1-197.
[5] 林巨广,谢涛辉.电动汽车动力总成噪声分析与优化[J].合肥工业大学学报(自然科学版),2020,43(8):1009-1014.
[6] 刘小华,莫崇卫,蒋帅,等.某纯电动汽车驱动电动机噪声分析与优化[J].噪声与振动控制,2019,39(5):68-72,95.
[7] BAI G Y.Numerical simulation and optimization for electromagnetic noises of permanent magnet synchronous motors in vehicles[J].Journal of Vibroengineering,2018,20(1):701-717.
[8] 宋昌才.电机轴承使用手册[M].北京:化学工业出版社,2009.
文章来源 EDC电驱未来
工程师必备
- 项目客服
- 培训客服
- 平台客服
TOP




















