Abaqus复合材料层合板仿真
2023年6月28日 16:59碳纤维增强聚合物复合材料(CFRP)与传统材料相比具有高比强度、高比模量、耐腐蚀等优异性能,碳纤维复合材料密度仅为1.45~1.60×103kg/m3,比钢轻了75%左右,被广泛用于航空航天、汽车、船舶、军工等工程领域。
目前被普遍用于工程中的纤维增强复合材料主要为层合板结构,且均为多向板,在层合板的制造过程中,常由于许多不确定因素,使得层合板内部出现各类缺陷,大大降低了层合板的强度和刚度。
由于复合材料的损伤失效问题过于复杂,解析方法受到数学工具的限制难以实现,而实验也需要高昂的费用和时间成本难以广泛应用,随着计算机计算能力的发展,数值方法成为处理复合材料层合板损伤问题的强力手段。Abaqus针对复合材料提供了专业的建模工具和损伤分析理论来模拟复合材料层合板在各种工况下的失效行为。
Abaqus 中的 composite layup 组件,是一种非常便捷的复合材料层合板结构建模工具,其提供了三种常见的复合材料层合板模型,包括传统壳、连续壳、和实体单元模型。传统壳单元通过对壳的中性面进行离散,对于简单的薄壳模型,其计算效率高,精度大;而连续壳单元间于传统壳和实体壳单元之间,对三维实体进行离散,在涉及到接触分析时其精度比传统壳模型高;对于长厚比较小的层合板结构通常需要使用实体单元来模拟。
复合材料层合板的失效主要包括面内失效及层间失效两种。面内失效主要包括最大应力准则、最大应变准则、 Tsai-Wu 准则、 Tsai-Hill 准则、 Puck 准则、 LaRC 准则、 Hoffman 准则、 Hashin 准则等。最大应力和最大应变准则认为材料主方向上的应力或应变大于等于该方向上的强度时,材料发生破坏,其表达简单,可直观判断失效模式,但是忽略了多种失效模式之间的耦合效应。Tsai-Hill 准则没有考虑材料拉压强度的不同且并未区分具体的失效模式, Hoffman 准则改进了 Tsai-Hill 准则中未考虑拉压强度不同的问题, Puck 准则和 LaRC 准则分别考虑了基体和纤维的失效。Abaqus 中使用 Hashin 准则定义损伤变量对材料刚度进行折减来描述 CFRP 层合板中常见的四种失效模式。
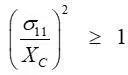
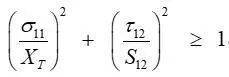
纤维拉伸断裂(s11≥0):
纤维压缩断裂(s11≤0):
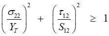
基体拉伸失效(s22≥0):
基体压缩失效(s22≤0):
式中XT、XC、YT、YC、S12、S23为复合材料的强度指标,分别为纤维方向抗拉、抗压强度,垂直于纤维方向的抗拉、抗压强度,以及面内的剪切强度和横向的剪切强度,s11、s22分别为平行于纤维方向的应力和垂直于纤维方向的应力,t12为面内剪应力。
模拟层间失效的主要方法有扩展有限元法(XFEM)、虚拟裂纹闭合技术(VCCT)以及内聚力单元法(CZM)等,其中基于断裂力学的XFEM与VCCT均需预制裂纹,不能模拟裂纹的萌生,而CZM模型可以描述分层从萌生到扩展的过程,是复合材料的分层预测中最常用的方法。最常用的内聚力模型包括双线性模型、指数模型以及多线性模型等。
对于复合材料的低周疲劳分层扩展行为, Abaqus 采用 Paris 准则结合虚拟裂纹闭合技术( VCCT )来分析。其基本思想为裂纹张开一定位移所耗散的能量等于闭合该裂纹所需要消耗的的能量,以线弹性断裂力学为基础,通过判断裂纹前沿的能量释放率是否达到临界值来确定裂纹是否发生扩展。
Paris 准则是最常用的疲劳分层扩展准则,包括裂纹的萌生准则以及裂纹的扩展速率准则。当一个疲劳载荷周期内,裂纹尖端的最大能量释放率 G max 小于裂纹扩展的临界应变能释放率 G th 时,裂纹不发生扩展;而 G max 大于 G th ,且小于裂纹应变能释放率上限 G pl 时,裂纹正常扩展;当 G max 大于 G pl 时,裂纹加速扩展。
(1)裂纹萌生(Gmax>Gth)
(2)裂纹扩展(Gth<Gmax<Gpl)
式中N表示加载循环次数, dA/dN表示裂纹扩展速率,C1、C2、C3、C4为材料疲劳裂纹扩展常数,通常由实验测得,DG=Gmax-Gmin表示在单个载荷周期内,裂纹尖端的最大应变能释放率与最小应变能释放率的差值。
ABAQUS 中采用损伤外推法对结构进行疲劳分析。首先通过 VCCT 对结构进行一次静力分析,计算得到其分层前沿节点的最大应变能释放率和最小应变能释放率之差 D G ,判断分层前沿节点是否发生扩展。然后通过 Paris 准则计算分层扩展 dA 所需加载循环次数(在有限元模拟中, dA 通常为裂纹扩展方向上两个相邻节点的距离)。最后释放该节点,分层前沿位置发生了变化,此时重新计算分层前沿所有节点的 D G ,依次往复直至所有节点的 D G 小于 G th ,分层不再扩展。
工程师必备
- 项目客服
- 培训客服
- 平台客服
TOP




















