ABAQUS-橡胶材料建模
这篇文章,我们介绍ABAQUS关于橡胶材料模型的建模方法。
橡胶材料(如热塑性塑料)主要用于轮胎、消费品、医疗或密封等工业领域的解决方案,但橡胶也存在于许多其他工程领域。今天,我将介绍ABAQUS在密封领域中橡胶模拟的应用,以显示它高效强大的橡胶建模能力。
在密封领域的设计阶段使用仿真手段为解决方案提供指导正在成为一个必要的步骤,可以帮助识别和更好地了解产品的行为。Trelleborg、Parker、Eriks、Lagersmit等密封领域的老牌公司已经使用SIMULIA的ABAQUS有限元分析(FEA)进行了很多应用研究,以帮助它们在开发/测试阶段获得更好的结果。在许多情况下,由于其复杂的几何形状和材料特性,在进行实际测试之前,尚不清楚产品的性能。这样,从实验中也只能获得有限的信息,而从数值模拟中可以研究数百个变量,并且可以预测其行为,而不需要付出很大的代价。
建立准确的材料模型
超弹性
在任何有限元分析中,最重要的事情之一就是要对材料有一个很好的描述。橡胶是超弹性材料,他们可以承受很大的变形,而不发生塑性应变。ABAQUS有几种超弹性材料模型,可以捕捉大多数商业橡胶的响应。描述模型的参数可以很容易地与实验数据进行拟合和对比。例如,您可以进行拉伸测试,然后在ABAQUS中使用该测试数据作为输入。内部通过数值拟合自动获得参数。ABAQUS支持四种实验:单轴拉伸、等轴拉伸、剪切和体积试验。
粘弹性
橡胶材料中另一个非常重要的特性叫做粘弹性。随着时间的推移,材料的行为方式并不相同,而是与历史有关;随着时间的推移,聚合物链可以相对滑动。在这种情况下,应该提到两个非常重要的概念:蠕变和应力松弛。蠕变是指在施加恒定的载荷,变形随着时间的推移而增大,直到达到平衡为止。应力松弛是指施加恒定变形,产生的反作用力随着时间的推移而下降,直到,再次达到平衡。与超弹性模型一样,ABAQUS还提供了捕捉这些重要现象的模型,从而考虑线性和非线性粘弹性。用户必须将这些模型与实验数据相匹配,支持剪切和体积试验数据导入(对于蠕变和应力松弛)。
例子:机械密封
模型描述在下面的例子中,将使用橡胶材料来模拟液体的密封。通过该实例将更好地理解上述行为,另外还将引入压力渗透的概念,特别是模拟流体压力的影响,而无需对流体本身进行建模。
这个例子是一个轴对称形状的密封件,如图1所示,有三个唇向内延伸,可以很好的匹配内管。这三个嘴唇创造了三个面,将抵制流体渗入。这里采用Neo Hookean超弹性模型与实验剪切松弛数据的粘弹性模型相结合。
图1.三唇密封件的轴对称模型
模拟
第一步:安装密封件:将密封件安装在刚性管道上,图2。为了便于观察,只显示了1/4模型。当密封件安装在管道后,橡胶材料产生了较大的应力,如图3。这是因为管道的外径大于密封件的内径,从而保证了压力接触连接。图2.装配前管道和密封件的初始位置,安装时管道将轴向下移动
图3.安装在管道中后在密封件产生的应力。
第二步-应力松弛:在第二步,随时间增加,可以观察到粘弹性的影响。由于这种随时间变化的材料特性,应力几乎松弛到1/4,如图4。在第1步结束时,最大应力为214.4 MPa,松弛后最大应力降至58.9MPa。
图4. 50秒后密封件中的应力
第三步-压力渗透:在第三步中,模拟了5 MPa的流体压力对管道和上唇表面的压力作用。这样的压力足以将第一唇(顶部)与管道分离,从而渗透到第二层(第二唇)。然而,这样的压力不足以打开第二唇,如图5所示。因此,在这些边界条件下,系统可以被认为是无泄漏的。
图5. 压力渗透情况
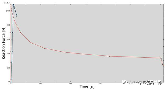
通过这种模拟,调整内部压力,以确定多大的压力会使第一个密封唇分离,并渗透到第二个。与传统的内部压力相比,压力渗透的优点是,你只能预先指定压力作用的位置,如果足够打开第一个密封,但它还是只会停在那里,它不会渗透到第二个密室。另一方面,压力渗透模拟一旦第一个密封唇失败,流体可以进一步渗透。因此,通过使用压力渗透,您可以监测压力是否仍足以打开第二唇,使密封流体泄漏。最后,我想强调考虑类似橡胶材料的粘弹性的重要性。图6显示了密封件上的径向反作用力,因此当将其安装到管道上时产生的力达到了接近110 N,但由于粘弹性效应,达到接近稳定状态时,该力在50s后会下降到40N以下。这种影响可以概括为密封变得松散,因此,我们可以预测,在压力渗透步骤,一个相对较低的内部压力可以足够打开第一唇。
考虑粘弹性效应的重要性
重要的是,如果不考虑粘弹性效应,那么反作用力显然不会下降,用于压力渗透步骤的相同内部压力也不足以使第一唇失效,见图7和图8中的蓝线。
图6 整个过程中径向反作用力曲线:step1&2:安装密封件+应力松弛,
step3:压力渗透
图7.径向反作用力曲线(红线考虑应力松弛,蓝线不考虑应力松弛)
图8.不考虑粘弹性时的压力渗透(压力不会使第一个嘴唇失败)
总结
· SIMULIA的ABAQUS有限元分析软件能够准确地预测橡胶类材料的行为,其中包括几种超弹性和粘弹性的材料模型。
· 用户可以在ABAQUS中自动地将这些模型与实验数据相匹配。支持单轴拉伸、等轴拉伸、剪切和体积实验数据。
· 压力渗透是一种简单易用的,同时非常强大的功能,可以评估机械密封件有无泄漏行为。
· 结果表明,是否考虑粘弹性对预测结果有显著影响。
文章来源:ABAQUS仿真世界
工程师必备
- 项目客服
- 培训客服
- 平台客服
TOP




















