基于蜂窝结构复合液冷相变材料的软包锂离子电池热管理数值研究
2023年7月12日 09:33浏览:4592 收藏:2
背景介绍
02
图1 (a)单元格的几何图形;(b)该模块的原理图;LPCM的(c)爆炸视图;(d) LPCM几何图形
图2 测试电池的电气和热性能的实验装置
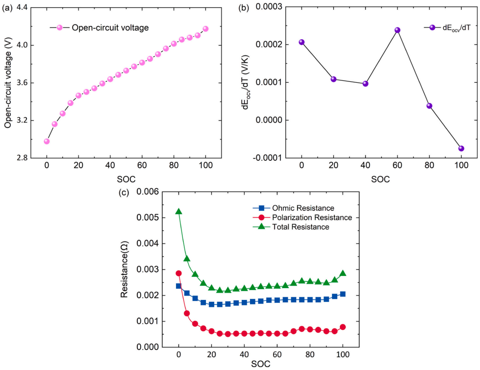
图3 实验数据:(a) OCV vs;SOC在25年℃;(b)dE/dTvsSOC;(c)电池极化内阻和欧姆内阻为25℃
图4 (a)电压拟合数值模拟;(b)表面温度拟合数值模拟
图5 (a)对LPCM进行网格的网格划分方法;(b)网格独立性测试;(c)时间步长独立性
图6 平行相变液冷却板结构
图7 PCM、LPCM和平行冷却解决方案的比较;(a)温度;(b)液体的体积分数。
END
技术邻APP
工程师必备
工程师必备
- 项目客服
- 培训客服
- 平台客服
TOP
1
2




















