多学科统一的多体动力学建模方法
在现代的机电系统中,例如机器人、机械臂、车辆等,是多学科相互作用、相互交叉的,包括机械、电学、液压、热学等学科,如何分析这些系统的动力学耦合特性就显得特别有意义,如果以单个学科的角度或以局部组件为对象进行分析,虽然很多局部的细节考虑到,而各个系统间的相互作用却被简化了,相反的如果从整个系统的角度,彼此之间的交互作用却是十分重要的,也是十分突出的。在多学科多体系统动力学的分析中,应该包括建模和分析,即建立的动力学方程和利用数值方法进行求解,最后形成了仿真分析,如下图所示
在多学科耦合系统动力学建模和分析的方法也很多,包括线状图法(Linear graph)、键合图法(Bond graph)、图论(Graph theories)、“等效”方法。
线状图方法是数学的一个分支,主要研究系统拓扑学,由L.Euler在18世纪左右提出,在20世纪扩展到物理建模中。键合图法在1959年由H.M.Paynterti提出,是以能量守恒原理为基础,以势、流、变位和动量四个广义变量表示各个物理参数,具有因果关系,但是多适用于平面模型建模,在三维多体系统中较为复杂,还有待发展,键合图如图图所示。
一些学者在线状图和键合图的基础上提出了图论的多体建模方法。其中Waterloo大学的John.McPhee教授利用图论方法建立机电耦合系统的动力学方程提出较具体的方法。
下面介绍属于“等效”的方法。采用虚功原理建立多学科的系统动力学方程,这种方法依赖于选择独立的广义坐标,能够描述系统的配置。通过对多个学科的物理量的等效对应关系,便可以依据多体动力学方法进行建模求解。
多学科统一建模方法采用了多学科统一的模型表达形式,可以实现将不同学科的复杂系统的无缝集成,并利用拉格朗日方程建立集成的动力学方程。多学科统一分析系统动力学包括两部分:统一学科分析方法学和系统动力学。统一学科方法学是将机械、电力电子、流体和热力学等学科在统一的表达和方法下进行分析,这样能够使一个多学科耦合的系统进行综合的分析和设计,使整个多学科系统的设计、控制到达最优。
系统变量的统一表达
1.运动学变量
运动学变量包括广义位移和广义速度,它们的数学关系是:
广义位移包括:机械平移运动的位移、机械转动的角度和电学系统电荷量。广义速度为对应的广义位移的导数,包括:机械平移运动的速度,机械转动的角速度,电学系统的电流。
2.运动源变量
运动源变量包括广义作用源和广义动量源。两者之间的关系为
广义作用源包括:机械平移运动的作用力、机械转动的转矩和电学系统的电压。广义动量源包括:机械平移运动的动量、机械转动的角动量和电学系统的磁链。
下表给出了广义运动元变量和广义作用源变量的对应关系。
系统组成
将机械系统和电学系统中构件根据在系统中对能量的作用分为
(1)能量储存元件。表示为理想感元和理想容元。
(2)能量耗散元件。表示为理想耗元。
(3)能量转换元件。表示为理想换能元。
(4)能量源。能量源为系统提供能量。表示为理想能量源。
其中能量转换元件,如电学系统中的变压器,机械系统的齿轮组。
1.理想感元
在机械平移运动中,质量为理想感元。在机械转动中,转动惯量为理想感元。在电学系统中,电感为理想感元。
2.理想容元
在机械平移运动中,弹簧为理想容元。在机械转动中,扭转弹簧为理想容元。在电学系统中,电容为理想容元。
3.理想耗元
在机械平移机构中的阻尼器为理性耗元,例如轮胎的阻尼。机械转动中的转动阻尼为理性耗元。电学系统中的电阻为理性的耗元。
4.能量源
(1)理想能量源
包括机械平移运动的力,机械转动的力矩,电学系统中的电压源和电流源。
(2)受控能量源
机械系统中的摩擦便是一种受控能量源,因为摩擦是相对运动速度的函数,电学系统中的二极管、三极管、MOSFET也是一种受控能量源,是电流的函数,这一类元件可以放在一起建模分析。
下面给出机电系统的变量对应关系表,如下表所示。
拉格朗日方程
拉格朗日方程可以分为第一类拉格朗日方程和第二类拉格朗日方程。其中含有约束方程的带有拉格朗日乘子的微分代数方程称为第一类拉格朗日方程,以最少的坐标表示的二阶常微分方程称为第二类拉格朗日方程。
针对系统中是否含有控制约束,可以分为无约束系统和有约束系统,无约束系统建立拉格朗日方程是常微分方程(ODE),求解方便,没有积分误差。而有约束系统建立的拉格朗日方程为微分代数方程(DAE),求解时有积分误差,在求解算法上可以采用鲍姆加特修正算法,但是对参数的确定没有准确的选择方法。也可以采用指数缩减(Index reduction)的方法,将微分代数方程化简为常微分方程,并且在求解上多采用隐式算法,例如隐式龙格-库塔算法。在拉格朗日动力学中利用广义位移和广义速度描述系统的行为。
1.广义坐标与自由度
能够描述动态系统的坐标可以很多,在一个系统中能够唯一确定系统位姿或状态的坐标称为广义坐标,同时一般描述系统的广义坐标的个数等于系统的自由度。
在多学科耦合系统中,首先应该确定系统的广义坐标和自由度。
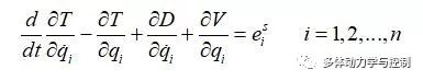
2拉格朗日动力学方程
多学科统一拉格朗日动力学方程为
利用上式可以建立机械系统和电学系统耦合的动力学方程,动力学方程是关于广义坐标的一组二阶常微分方程。
利用上式建立动力学方程时需要满足:
1.选择一组广义坐标即广义位移(位移、电荷量)和其导数广义速度(速度、电流)
2.根据广义位移和广义速度写出系统的动能、势能和耗散能的表达式。
3.确定由作用源产生的广义力。广义力不包括容性元件和阻性元件产生的作用力,因为它们已经包含在势能和耗散能里面。
拉格朗日动力学方程不需要考虑约束力的影响,因为约束力不做功,这样也简化了建模,使建模方便。
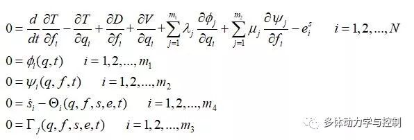
拉格朗日微分代数方程
对于一个由个系统坐标的多学科动力学控制系统,有个广义位移坐标变量和对应的个广义速度变量,与此同时系统中还存在广义位移约束和广义速度约束,广义速度约束同时包括完整约束和非完整约束。还有作用力约束和动态约束。
这样就构成了广义位移约束的控制方程、广义速度约束的控制方程、作用力约束的控制方程、动态约束的控制方程。
将动力学方程和各个约束方程组合在一起,得到
式中含有广义位移约束的拉格朗日乘子和关于广义速度的拉格朗日乘子。上式是由个微分代数方程(DAE)构成。多学科耦合的动力学控制方程的建模都可以写成上式的形式,同时方程规范美观,易于编程。
文章来源:多体动力学与控制
工程师必备
- 项目客服
- 培训客服
- 平台客服
TOP




















