晶体塑性每日文章推荐(六)
《Simulation of texture evolution and macroscopic properties in Mg alloys using the crystal plasticity finite element method》
给出了结合PTR方法处理的TWIN-CPFEM方法的详细方案,同时与宏观实验进行了对比,为HCP结构多晶模拟提供了相对简单的解决思路,以及合理的参数用于AZ31B镁合金,可以较为容易的在黄永刚程序上进行修改易于数值实现。
这里简要介绍一下作者理论框架和数值模拟结果:
理论框架基于经典的亚弹性本构框架,不做赘述
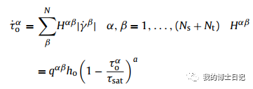
流动方程使用经典的幂律流动方程
硬化方程:
其中作者考虑四组滑移+一组孪晶
对应的材料参数为
另外所有滑移和孪晶系统使用统一的:参考剪切应变率0.001,率相关系数20
孪晶处理方案基于PTR方法
即孪晶体积分数达到临界体积分数,晶粒整体发生旋转,孪晶体积分数定义为:
即孪晶的剪切应变/孪晶特征剪切应变(例:AZ31B:拉伸孪晶特征剪切0.129),PTR模型假设允许每个方向相对于最活跃的孪晶系统中的镜面的法线方向重新定向,如由CPFEM确定的。矩阵中晶格取向和孪晶区中晶格取向之间的变换矩阵T可以定义为
数值案例及实验对比:
样品初始取向:
沿着RD方向压缩实验结果:
作者的有限元边界条件设置以及模拟结果
模拟的变形后取向
变形过程中各个系统的相对活跃情况
孪晶演化情况
模拟结果表明,单轴加载下的织构演变、孪晶体积分数和宏观性能与加载f方向密切相关。变形模式的相对活动性可以从理论上解释AZ31镁合金板的拉压屈服的不对称行为和明显的R值。
基于作者提供的完整数值方案在黄教授的子程序上修改,进行类似的模拟,模拟结果与作者具有较好的一致性
第一步:使用mtex成成离散的基面织构
第二步:生成与作者类似的几何模型和边界条件
第三步:模拟结果
变形后的极图
变形后累计剪切分布
变形后应力分布
压缩变形过程中相对活性
拉伸变形过程中相对活性
工程师必备
- 项目客服
- 培训客服
- 平台客服
TOP




















