扬声器线性传递函数的频谱分析(Spectrum Analysis Concepts)


【基本概念】
1 消音室/无回声室/吸波暗室(anechoic chamber)
   它是一种是指能够完全吸收声音或电磁波,同时也隔绝外部的噪声的实验室空间。它通过使用吸音材料和结构来实现(这些材料能够吸收大部分入射声波的能量,使其不会反射回到测试区域),旨在消除或显著减少室内的各种反射和回声。
2 频谱分析(spectrum analysis)
   它是一种信号处理技术,用于解析信号在频域上的特性和成分。它通过将信号从时域转换为频域,以便更好地理解信号的频率分布、幅度和相位等参数。
3 频谱分析仪(spectrum analyzer)
   (电声词典)由恒定百分比带宽滤波器和放大器组成的仪器,其中心频率连续可变。可做带通、带阻、高通、低通等多种仪器使用。主要用于声和振动的窄带频谱分析。例如可测量信号的各谐波分量、功率谱密度、非线性系统的谐波失真。
4 三维动态频谱仪(three dimensional dynamic spectrum analyzer)
   (电声词典)它是一种能把信号频谱随时间变化的的特征用时间、频率、幅度三维空间的动态曲面或曲面的样值来表示的一种频谱分析仪。其主要工作原理是由一组带通滤波器完成频率分割,每个滤波器后带有一个一定时间常数的有效值检出器,然后用电子开关控制频谱采样时间。
5 单位冲激信号(unit impulse signal)
   它也被称为狄拉克脉冲或单位脉冲,是一种理想化的幅度瞬时达到无穷大并持续时间极短的信号。在数学上,它通常用符号δ(t)表示。它在数学和信号处理中具有重要作用。它的定义如下:
   (1)当 t = 0 时,δ(t) 的值为 +∞,即幅度无穷大。
   (2)当 t ≠ 0 时,δ(t) 的值为 0,即幅度为零。
6 脉冲响应(impulse response)
   它是指系统对单位冲激信号的输出响应,该响应信号称为脉冲响应。在信号处理和系统分析中,单位冲激信号被认为是一个短暂的、幅度为1的信号,其持续时间极短且能量集中在一个点上。它描述了系统对于不同延迟的输入信号的反应,它包含了系统的时域特性和动态行为。
7 线性传递函数(Linear Transfer Function)
   它是描述线性系统的数学模型。在线性系统中,输出信号与输入信号之间存在线性关系,其传递函数定义了输入信号到输出信号之间的转换过程。它通常使用频域表示,它是一个复杂函数,描述了系统对不同频率的输入信号的响应。传递函数可以通过对系统进行频率响应分析或实验测量获得。在频域中,线性传递函数将输入信号的频谱与输出信号的频谱联系起来。
8 扬声器传递函数(Loudspeaker Transfer Function)
   它是指衡量扬声器系统的响应和性能的一种数学模型。它描述了输入信号如何通过扬声器系统转换为输出声音的过程。在扬声器系统中,输入信号经过扬声器单元(包括振膜、线圈等)驱动和处理后产生声音输出。它表示了输入信号与输出声音之间的关系。它被表示为复数形式,具有幅度响应(扬声器对不同频率的声音信号的放大或衰减程度)和相位响应(扬声器系统对输入信号的相位偏移情况)两个部分。
9 频率分辨率(frequency resolution)
   它是指在频域上测量或分析信号时,能够区分两个接近频率的离散频率成分之间的最小差异。它表征了对于频谱中不同频率分量之间的分辨能力。
10 时域(time domain)
   它是指信号在时间轴上的表示,它描述了信号随时间变化的幅度和波形。时域分析关注的是信号在不同时间点上的取值和变化情况。
11 频域(frequency domain)
   它是指信号在频率轴上的表示,它描述了信号在不同频率上的能量分布和成分。频域分析关注的是信号在不同频率上的频谱特征,可以揭示信号的频率成分、频带宽度、相位等信息。
12 傅里叶变换(Fourier transform)
   (电声词典)把一个时间函数f(t)通过傅里叶积分求出它的频谱函数F(ω)。它的数学表达式为:
扬声器线性传递函数的频谱分析(Spectrum Analysis Concepts)的图1
13 傅里叶反变换(Fourier inverse transform)
   (电声词典)把一个频谱函数F(ω)通过傅里叶积分求出它的时间函数f(t) 它的数学表达式为:

扬声器线性传递函数的频谱分析(Spectrum Analysis Concepts)的图2
【正文】
As with most other devices that transmit or process a signal containing information, measurement techniques have been developed specifically for the testing and evaluation of loudspeakers. Before the early 1980s, accurate, comprehensive testing of loudspeakers generally required expensive anechoic chambers or large outdoor spaces. Since that time, the advent of computer-based time‑windowed measurements has revolutionized the field of acoustic instrumentation, particularly as regards the testing of loudspeakers.
扬声器线性传递函数的频谱分析(Spectrum Analysis Concepts)的图3
   频谱分析的基本原理是利用傅里叶变换或其他相关的数学方法,将信号从时域(时间轴)转换到频域(频率轴)。在频域中,信号可以表示为不同频率分量的振幅和相位信息。它的应用非常广泛,涵盖了多个领域,包括通信、音频处理、图像处理、振动分析等。以下是频谱分析的一些主要方面:
   (1)频谱图:频谱分析的结果通常以频谱图的形式呈现。频谱图显示了信号在不同频率上的能量分布情况。横坐标表示频率,纵坐标表示信号的幅度或功率。
   (2)频谱解析:频谱分析可用于解析信号的频率特征。通过分析频谱图,可以确定信号中存在的频率成分、频带宽度、频率分布等信息。
   (3)频域滤波:频谱分析可用于滤除或突出信号中的特定频率分量。根据频谱图的结果,可以设计和应用数字滤波器来实现频域滤波操作。
   (4)频谱测量:频谱分析可用于测量信号的功率、幅度、相位等参数。通过计算频谱图上的积分或峰值值,可以获得信号的能量分布和频率特性。
   (5)频谱密度:频谱分析还可以提供信号的功率谱密度(PSD)估计。PSD是描述信号能量在不同频率上的分布的指标,应用在噪声分析和信号调制等场景。
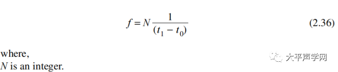
   All spectrum analysis techniques are subject to a set of general constraints imposed by the mathematical relationship between time and frequency. It is useful to have a feeling for these constraints when gathering or evaluating loudspeaker data. Time and frequency are the mathematical inverses of each other. A signal that has only one frequency must exist for all time and, conversely, a signal that exists for a finite amount of time must contain multiple frequencies. A signal that exists only within a known time interval—i.e., at all times before time t0 the value of the signal is zero and at all times after time t1 the value is zero—can only contain frequencies given by the expression:

扬声器线性传递函数的频谱分析(Spectrum Analysis Concepts)的图4

    The frequency corresponding to N = 1 gives the best (lowest) frequency resolution that is possible in a test conducted for that precise time interval. All other frequencies will be integer multiples of this frequency. In order to have infinitesimally small frequency resolution (i.e., perfectly resolved frequency data), a test would have to be conducted for an infinite amount of time. It follows that all realizable response tests have a limit on their frequency resolution.
   The effect of frequency resolution on a transfer function measurement is to smooth the appearance of a plot of the results, thereby possibly obscuring some of the details of the transfer function. This smoothing is present to some degree in all transfer function measurements. In the case of electronic devices, transfer functions are typically well behaved enough that the frequency resolution of a response test does not cause meaningful loss of detail. With loudspeakers, the opposite is often true: a loudspeaker’s transfer function often has so much fine structure that a practical test will noticeably smooth out the peaks and dips in the speaker’s response. The degree to which this fine structure is audibly significant is a matter of some controversy. As a result, there is no widespread agreement in the industry on the minimum desirable frequency resolution in testing loudspeakers.
   扬声器的线性传递函数频谱分析是指对扬声器的传递函数进行频域上的分析。传递函数是描述扬声器响应特性的数学模型,它表示了输入信号在不同频率上通过扬声器时的增益和相位变化。
   频谱分析可以帮助我们了解扬声器在不同频率下的响应特性、频率范围、共振点以及频率失真等信息。以下是频谱分析中的一些关键概念和步骤:
   (1)输入信号:首先需要选择适当的测试信号作为扬声器的输入信号。常用的测试信号包括正弦波、白噪声、频率扫描信号等。
   (2)采集数据:将选定的输入信号通过扬声器播放,并使用合适的测量设备(如麦克风)来采集扬声器输出的声音信号。
   (3)傅里叶变换:将采集到的时域声音信号应用傅里叶变换,将其转换为频域上的频谱图。
   (4)频谱图显示:频谱图是频谱分析的结果,它展示了扬声器在不同频率上的幅度响应。通常,横坐标表示频率,纵坐标表示信号的幅度或功率。
   (5)频率响应曲线:通过观察频谱图,可以绘制出扬声器的频率响应曲线。这条曲线显示了扬声器在不同频率上的相对增益或衰减。它可以告诉我们扬声器在特定频率范围内的效果如何。
   (6)频率失真分析:频谱分析还可以用于检测和分析扬声器的频率失真问题。常见的频率失真包括共振、谐波失真、非线性失真等。通过观察频谱图,可以发现并分析这些失真现象。
【Reference】
《Electroacoustic Devices: Microphones and Loudspeakers》Edited by Glen Ballou
《电声词典》第二版
【免责声明】
推文引用的资料大部分来源于网络和书籍,推文的目的仅仅在于交流学习分享知识,并不意味着赞成和反对,且不为其版权负责。如涉及侵权,请及时联系我删除。

文章来源:大平声学网

登录后免费查看全文
立即登录
App下载
技术邻APP
工程师必备
  • 项目客服
  • 培训客服
  • 平台客服

TOP

2
1
1