Abaqus声学分析
2023年9月6日 11:261. 要点
1) 基本物理量
2) 实例模型说明
3) 材料属性设定
4) 求解类型设定
5) 边界条件设定
6) 载荷和声源
7) 网格划分
8) 结果后处理
2. 基本物理量
1) 声压
设气体的初始压强为P0,受到声扰动后,压强为P0+P。则这个压强改变量就称为声压,单位为Pa,一般取其有效值。
2) 声压级
声压级(Sound Pressure Level)定义为声压得有效值与基准声压的有效值之比的常用对数20倍,(取分贝单位),即
式中,Pe是测量声压,Pr是参考声压,Pr通常取2×10-5 Pa,它是人耳对1kHz空气声所能感觉到的最低声音的声压。
3) 声强
声强(Sound Intensity)是指在垂直于传播方向上单位面积上通过的平均声能量流,即
4) 声强级
声强级(Sound Intensity Level)定义为声强和参考声强之比的常用对数的10倍,即
式中,基准声强I0取10-12 W/m2为可听最小声强。
5) 声功率级
声功率级(Sound Power Level)定义为声功率与基准声功率之比的常用对数的10倍,即
式中,基准声功率W0取10-12 W。
3. 实例模型说明
我们用下面的模型来说明分析流程
4. 材料属性设定
Abaqus中模拟声音传播的材料需要的物性参数为两个,Density和Acoustic Medium,分别输入密度和体积模量(因为声波是纵波),如下图:
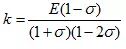
这里输入了空气的材料性能。在Abaqus中声速公式统一用来计算,这本就是液体的声速公式。密度没什么问题,关键是体积模量k。对于气体中的声速
,就有K=rP,P是压强,r为绝热系数,如该气体可认为是理想气体,则其绝热系数r就是定压比热容与定容比热容之比,即
;固体中声速的计算公式为
,于是就有
,
是泊松比。
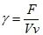
材料对声能的吸收可以用Volumetric Drag coefficient来描述,其表达式为,F是力,V是体积,v是速度。它可以使声强随距离以指数规律衰减,可以输入成一个随频率变化的参数。
5. 求解类型设定
在Abaqus中求解类型在Step中设定,Procedure type 选择 Linear perturbation,一般用 Steady-state dynamics, Direct 方法。
Lower Frequency为求解的最低频率,Upper Frequency 为求解的最高频率,Number of Points 为求解的频率点个数,Bias控制这些点的分布规律。
6. 边界条件设定
在Interaction中输入声场求解区域与外部空间的相互作用。缺省的外部边界条件为刚性壁面边界条件。首先要创建接触属性Acoustic impedance ,Impedance是声阻抗,Admittance是声导纳,它们互为倒数,都是复数值。如果将导纳设为0,则为刚性壁面属性,与不加任何边界条件效果相同。编辑Interaction中Nonreflecting为设置完全吸收边界条件的选项。
7. 载荷和声源
声载荷Acoustic pressure也就是声压,在边界条件里添加,也是一个复数值。
8. 网格划分
首先要确保把单元种类选为声学单元如AC3D20,这里选用二次单元是经过一番比较的。使用不同单元类型与网格密度的结果(声压POR最大幅值)比较如下表:
从表中可以看出,二次单元的结果比较稳定,而一次单元的结果受网格密度的影响非常大,网格越密越接近二次单元的结果,但即使用50px的网格,仍有较大误差,因此实际工程计算中最好采用二次单元。本问题求解频率300Hz,也就是波长约1m,这样当单元尺寸为125px即波长的1/20时,计算结果的精度就比较理想了。
9. 结果后处理
首先必须注意某些结果量只有幅值才有意义,比如声压POR,计算结果是一个复数值,缺省的输出是它的实部,没多大意义,应改成幅值输出。
主要的输出量如下:
POR,声压
GRADP,声压梯度
SPL,声压级
文中例子的计算结果如下
10. 讨论
Abaqus具备了基本的声学有限元分析能力,可以求解如下问题:
--求解固体流体区域的声传播问题,考虑声吸收和声耗散。
--可以求解声固耦合问题,声固界面容易创建,固体计算较为专业。
【免责声明】本文来自有限元在线,版权归原作者所有,仅用于学习等,对文中观点判断均保持中立,若您认为文中来源标注与事实不符,若有涉及版权等请告知,将及时修订删除,谢谢大家的关注!
文章来源:CAE之家
工程师必备
- 项目客服
- 培训客服
- 平台客服
TOP




















