基于宏观断裂力学的CFRP薄壁结构耐撞性能研究及应用
 2023年9月19日 10:07
   2023年9月19日 10:07摘 要:为了研究碳纤维增强复合材料(Carbon Fibre Reinforced Plastics,CFRP)薄壁圆管在准静态轴向压溃过程的压溃失效形式和吸能特性,提出一种基于宏观断裂力学理论基础的本构模型。通过对比试验和仿真结果,发现比吸能和平均力误差均小于1%,这验证了宏观断裂力学分析方法的合理性。为了进一步研究复合材料在汽车前纵梁吸能部件中的应用,从耐撞性能和轻量化角度出发,对比了CFRP前纵梁和钢质前纵梁的仿真结果。结果表明,在相同前纵梁结构件中,CFRP前纵梁的能量吸收能力要大于钢质前纵梁的能量吸收能力。
关键词:车身轻量化;复合材料;宏观断裂力学模型;耐撞性能分析
随着汽车普及程度的提升,汽车行业得到飞速发展。与此同时,环境污染、能源短缺问题日益严重。汽车轻量化是解决上述问题的一个重要方向,所以成为研究与应用的热点[1]。在当今的汽车行业中,汽车轻量化已在汽车行业人员内达成了共识,汽车轻量化技术在汽车领域内主要分为结构优化设计、先进制造工艺和轻量化材料3类。轻量化技术的普及不仅能直接减少汽车的耗油量,还可以提升汽车的操控性,为驾乘成员提供更好的驾驶体验[2]。
近年来,关于车用金属管件轴向吸能特性的研究已趋于成熟。仅使用金属构件难以对车身结构进一步减重,而复合材料结构则可以带来显著的轻量化效果。复合材料与单一组成材料相比,不仅具有优良的力学特性,还具有更好的可设计性,是最具发展潜力的新型汽车材料[3]。而复合材料逐渐成为汽车领域的研究热点,在未来市场上具有很大的应用前景[4-5]。
对复合材料的研究很早就已开始,在1980年,HASHIN等[6]根据应力不变量法则,提出基于拉伸或压缩加载条件下,纤维以及基体Hashin失效准则。随后,其他研究者又提出了其他复合材料失效准则,如Chang-Chang准则和Puck准则[7-8]。2016年,TAN Wei等[9]首次采用断裂方法对CFRP层合板进行测量,确定了层合板的断裂韧性,提出了新型本构模型,该模型能准确地描述非线性力学响应和断裂过程,最后通过试验进行了验证。2019年,TUO Hongliang等[10]提出了层间损伤和层内损伤相结合的三维损伤模型,对比了试验结果与数值模拟结果,验证了该模型的可行性。同年,ZHOU Junjie等[11]利用宏观力学分析模型对复合材料层合板的低速冲击进行模拟,通过试验证明宏观力学模型的准确性。
宏观力学分析方法能够很好地模拟复合材料的力学性能,为了充分发挥复合材料的潜在价值,需要对复合材料力学性能进行深入研究。在工程实际应用中,需要准确评估复合材料结构件的力学性能,评估方法往往通过断裂和裂纹扩展分析对复合材料结构件的强度性能进行预测,通过大量试验来观察复合材料的损伤形式,从而建立更加准确的强度损伤准则来预测复合材料的损伤行为。
本文研究对象为单向碳纤维增强复合材料,其强度和弹性模量相对于单一材料增强了数倍。此外,单向碳纤维增强复合材料相比于编织复合材料,其在单一方向上具有更好的力学特性,同时其制备技术更加成熟且成本较低。首先,介绍宏观断裂力学的损伤演化损伤准则,再从宏观角度出发,根据纤维和基体的损伤状态变量,计算出CFRP宏观结构件的宏观损伤状态变量,并实时更新宏观损伤刚度矩阵。然后,从耐撞性能指标和变形模式角度出发,通过CFRP薄壁圆管轴向压溃试验结果来验证宏观断裂力学研究方法的准确性。最后,将经过验证的复合材料渐进失效模型应用在汽车前纵梁吸能部件中,从耐撞性能指标和轻量化角度出发,通过数值仿真分析方法,与传统汽车前纵梁结构件的性能进行对比。
宏观断裂力学本构模型
单向CFRP是横观各向同性材料,即纤维方向的力学特性远强于基体和厚度方向,且基体和厚度方向具有相同的力学特性。在宏观断裂力学研究中,复合材料的损伤本构关系如式(1)所示[12]。式中:σ为宏观应力,Pa;C为宏观刚度矩阵;ε为宏观应变,其中宏观刚度矩阵C的表达内容如式(2)和式(3)所示。
式中:E、υ和G分别为复合材料宏观弹性模量、泊松比和剪切模量;ψ为定义的自变量;下标数字为材料铺层方向。
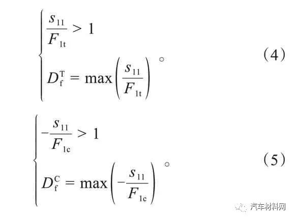
基于复合材料纤维的宏观损伤过程如式(4)和式(5)所示。
式中:s为宏观应力,Pa,下标数字为应力方向;F 1t为11方向的拉伸强度,N/(mm)2;F 1c为11方向的压缩强度,Pa;D T(C)f 为碳纤维损伤状态变量。当复合材料11方向的应力s11大于0时,并且拉应力大于其复合材料宏观的拉伸强度F 1t时,复合材料纤维发生宏观拉伸损伤。用表示宏观纤维拉伸损伤状态变量;同理,当复合材料11方向的应力s11小于0时,并且压应力大于其复合材料宏观的压缩强度F1c时,复合材料纤维发生宏观压缩损伤,用D Cf表示宏观纤维压缩损伤状态变量。
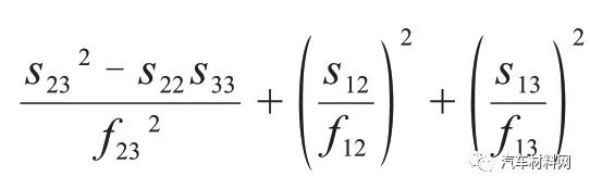
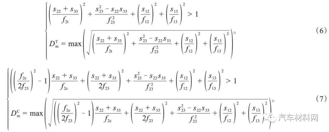
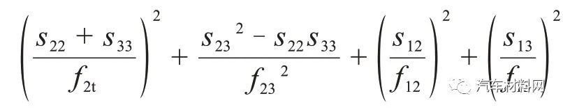
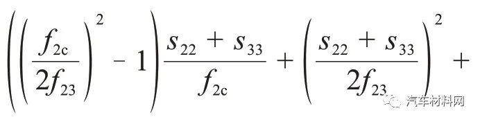
基于复合材料基体的宏观损伤过程如式(6)和式(7)所示。
式中:f12、f23和f13分别为复合材料12、23、13方向的剪切强度,kN/mm;f2t、f2c分别为复合材料22方向的拉伸强度和压缩强度,N/(mm)2;D T(C)m 为基体损伤状态变量。当复合材料22方向和33方向的应力之和(s22+s33)大于0时,并且当混合公式大于1时,复合材料基体发生宏观拉伸损伤,用D Tm表示宏观基体拉伸损伤状态变量;同理,当复合材料22方向和33方向的应力之和(s22+s33)小于0时,并且
当混合公式
大于1时,此时复合材料基体发生宏观压缩损伤,用D Cm表示宏观基体拉伸损伤状态变量。
基于复合材料纤维的宏观损伤演化过程如式(8)所示。
式中:为纤维损伤因子,
和
分别为纤维的拉伸断裂韧性值和压缩断裂韧性值,kJ/m2;charlength为单元特征长度。当宏观纤维损伤状态变量D T(C)f 大于1时,纤维性能开始折减,通过定义宏观纤维损伤因子F T(C)f 来描述碳纤维性能的折减程度。
基于复合材料基体的宏观损伤演化过程如式(9)所示。
式中:为基体损伤因子;
和
分别为基体的拉伸断裂韧性值和压缩断裂韧性值,kJ/m2。当宏观基体损伤状态变量F T(C)m 大于1时,基体性能开始折减,通过定义宏观基体损伤因子F T(C)m 来描述基体性能的折减程度。
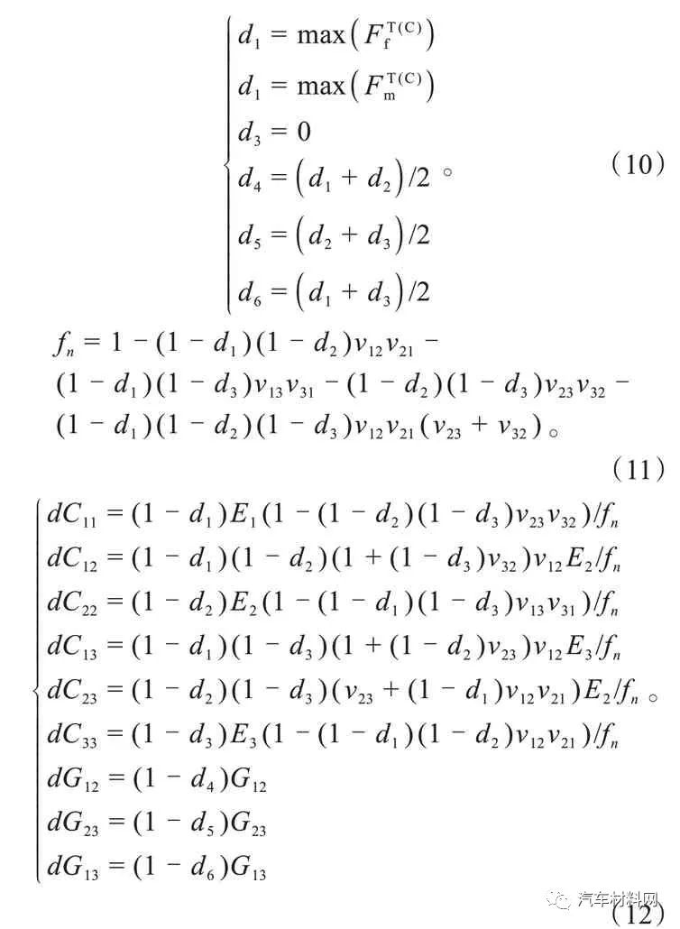
基于复合材料宏观刚度矩阵的更新过程如式(10)~(12)所示。
式中:d 1、d 2、d3、d 4、d 5和d 6分别为宏观断裂力学损伤状态变量,通过引入宏观断裂力学损伤状态变量来更新复合材料宏观损伤刚度矩阵;f n为后续计算所用的中间变量值;dC 11、d C12、dC22、d C13、d C23、dC33、dG12、dG23和dG13为宏观损伤刚度矩阵中的系数。
试验验证
2.1 复合材料拉伸试件制备及试验结果
本研究所用试件采用T300材料,按照复合材料拉伸试件标准ASTM D3039制备得到,分别制备了铺层角度为0°和90°材料方向复合材料拉伸试件各4个,试件尺寸和试件外形分别如图1、图2所示。
图1 拉伸试件尺寸
图2 拉伸试件
通过万能试验机对复合材料试件进行拉伸试验,将试验加载速度设置为2 mm/min,同时采用DIC应变测量仪测量试件的应变,并通过传感器和数据采集系统记录载荷和位移数据,试验中试样均加载到试件失效为止。参考国内外资料,CFRP结构件的宏观参数数值见表1[9,13-14]。
表1中,E、ν和G分别为CFRP结构件的弹性模量、泊松比和剪切模量,下标数字为复合材料的3个方向;f1t、f1c、f2t和f 2c分别为CFRP薄壁圆管11方向的拉伸强度和压缩强度以及22方向的拉伸强度和压缩强度。
表1 宏观断裂力学性能参数
2.2 CFRP薄壁圆管的制备与试验
本研究所选用的碳纤维薄壁圆管材料为T300。首先将单向碳纤维预浸料缠绕在设计好尺寸的芯棒上,然后抽出芯棒,将气囊放入在缠绕好的预浸料圆管中,再将其放入模具之中进行固定,最后用热压机进行加压得到试验试件。所制备的CFRP薄壁圆管的纤维铺层角度和顺序为[0°/90°]4(最内层为0°),其中0°与90°分别为薄壁管件的轴向与横向方向。CFRP薄壁圆管的制造工艺流程如图3所示,其中,CFRP薄壁圆管尺寸数据见表2。
图3 CFRP薄壁圆管的制造工艺流程
表2 CFRP薄壁圆管尺寸参数
为保证试样具有稳定的失效破坏模式以及减小试验过程中的初始载荷峰值,CFRP薄壁圆管的一端被打磨成45°倒角作为触发机制。在试验前,将试件放置于下压板中心,设定上压板下移速度为2 mm/min,压溃行程为80 mm,占总长度的2/3。整个试验布置现场如图4所示。
图4 轴向压溃试验布置
通过耐撞性指标来研究CFRP薄壁圆管的耐撞性能,以此评价结构性能的强弱,常用的耐撞性指标如式(13)~(16)所示[15-16]。
2.2.1 最大峰值力
最大峰值力(Global Peak Crush Force,GPCF)为整个碰撞过程中出现的最大峰值力。在CFRP薄壁圆管轴向压溃试验中,最大峰值力一般出现在上压板压实阶段,其数值大小用于描述碰撞过程中对乘员造成的伤害程度,通常与碰撞的初速度和加速度有关[17-18]。
2.2.2 吸能总量
吸能总量(Energy Absorption,EA)为结构件在整个碰撞过程中吸收的全部能量,由力-位移曲线积分得到,其数值越大表示结构在压溃过程中吸收能量越多,计算过程如式(13)所示。
2.2.3 比吸能
比吸能(Specific Energy Absorption,SEA)为碰撞结构在单位质量下吸收能量的大小,是评价耐撞性能的关键指标,计算过程如式(14)所示。
2.2.4 平均力
平均力F ave(Average Force)为单位距离碰撞过程中吸收的能量,反映了吸能结构的平均吸能水平,计算过程如式(15)所示。
2.2.5 压溃效率
压溃效率(Crush Force Efficiency,CFE)为平均力与最大峰值力的比值,其数值越大表示压溃过程中载荷力的波动越小,压溃过程越稳定,计算过程如式(16)所示。
在试验中,由于圆管触发机制的存在,CFRP薄壁圆管发生了稳定的渐进失效模式,图5为对应的CFRP薄壁圆管轴向压溃的载荷-位移曲线,图6为CFRP薄壁圆管轴向压溃变形结果。依据载荷-位移曲线中初始峰值力出现的位移(d=2.3 mm)将CFRP薄壁圆管的压溃过程分为两个阶段:(1)预压溃变形阶段(0~2.3 mm)。在预压溃变形阶段,圆管倒角处首先与上压板接触,基体开始发生断裂,并伴随少量的碳纤维断裂,此时试件无明显的分层破坏变形,但CFRP圆管发生弹性变形,其载荷-位移曲线呈现出线性关系,随着压溃位移增加至d=2.3 mm左右,载荷迅速增长至最大峰值力,大小约为35 kN。(2)渐进压溃失效变形阶段(2.3~80 mm)。在渐进压溃失效变形阶段初期,圆管顶端开始撕裂,出现了分层现象。紧接着圆管向四周开裂,此时在中心处出现裂纹,圆管开始发生分层破坏。随着压溃位移继续增加,层内与层间裂纹继续扩展,CFRP圆管被裂纹撕开成内层和外层。当CFRP薄壁圆管出现分层后,外层层束向外撕裂并随着压溃位移的增加以特定曲率半径进行翻卷,而内层层束则是向内弯曲发生断裂,发生所谓的“开花”变形模式。渐进压溃失效过程是CFRP薄壁圆管主要的吸能过程,能量通过纤维的断裂、基体的开裂以及铺层之间的分层进行耗散,且CFRP圆管破坏程度越大,总吸能也就越多。
图5 CFRP薄壁圆管载荷-位移曲线
图6 CFRP薄壁圆管变形结果
根据CFRP薄壁圆管的载荷-位移曲线数据,通过式(13)~(16)计算得到CFRP圆管的耐撞性能指标,见表3。
表3 CFRP圆管的耐撞性指标
有限元建模及结果分析
3.1 CFRP薄壁圆管有限元建模
CFRP薄壁圆管的轴向压溃试验是一个准静态过程,用有限元分析方法(隐式分析法和显示分析法)模拟圆管轴向压溃过程。隐式分析法在接触条件复杂的模型时,计算结果不易收敛,而显示分析不但能够保证计算结果的收敛性,还能很好地模拟准静态工况,所以采用Abaqus/Explicit显示分析进行仿真模拟。
CFRP薄壁圆管轴向压溃几何模型包括上、下压板和CFRP薄壁圆管(8层),其中圆管几何特征为3D-Solid,选用C3D8R单元(8节点线性实体单元)对CFRP薄壁圆管进行网格划分,为了保证有限元模拟的精确性,网格基本尺寸定义为1.5 mm×1.5 mm。而上、下压板几何特征为2D-Shell,采用S4R单元(4节点曲壳单元)对上、下压板进行网格划分,考虑到上、下压板网格大小不影响计算的准确度,网格基本尺寸定义为15 mm×15 mm。
为了模拟CFRP圆管中各个铺层之间的连接关系,通过定义通用接触Cohesive Behavior和Damage参数来模拟CFRP圆管中铺层之间的粘胶层。同时,为了模拟上、下压板与CFRP圆管三者之间的接触和CFRP圆管的自接触,分别定义罚函数和硬接触(Hard Contact)来模拟切向以及法向接触,设置摩擦因数为0.2,其中接触对设为所有几何模型。最后为了保证上压板始终沿着轴向运动,对上压板参考点约束了5个方向的自由度,对参考点的加载速度设为2 m/s,整个模型的加载结果如图7所示。
图7 模型加载设置
图8 、图9分别为基于宏观断裂力学仿真的载荷-位移曲线和变形模式结果,表4为基于仿真结果下的耐撞性能指标参数。
图8 宏观断裂力学仿真载荷-位移曲线
表4 基于宏观断裂力学仿真下的耐撞性评价结果
图9 宏观断裂力学仿真变形结果
3.2 CFRP薄壁圆管轴向压溃对比结果分析
为了验证宏观断裂力学模型的准确性,将仿真结果与试验结果进行比较分析。CFRP薄壁圆管仿真分析与试验结果的载荷-位移曲线对比,如图10所示。基于载荷-位移曲线下的耐撞性能指标对比结果见表5。CFRP薄壁圆管仿真分析与试验的变形结果对比,如图11所示。
图10 载荷-位移对比曲线
图11 变形结果对比
表5 耐撞性能指标结果对比
基于宏观断裂力学的仿真结果如图10和表5所示。由图10可知,在载荷加载的初始阶段,试验与仿真曲线有偏差,这是因为首先CFRP薄壁圆管在实际打磨过程中,没有打磨出比较理想的触发机制;其次在试件制备注入树脂的过程中,由于树脂分布不均匀以及后续加热保压阶段工序的不完善导致结构存在缺陷。在后续加载中,仿真结果的载荷-位移曲线与试验曲线的整体变化趋势保持一致,在达到最大峰值力后,载荷曲线开始下降,随后略微上升,最后围绕平均力进行波动直至压溃结束。
在宏观断裂力学仿真结果中,其最大峰值力为36.7 kN,与试验结果相比误差在4.9%左右。仿真结果的最大峰值力较试验结果偏大,主要有两方面的原因。一方面,仿真所用到材料参数主要来自参考论文,与试验试样的真实力学性能参数有偏差。另一方面,试样的倒角在加工过程中,由于加工工艺的问题,使仿真的倒角与实际区别较大,导致仿真结果峰值力偏小。
而在达到最大峰值力后,载荷力稳定在28.29 kN左右,与试验相比,误差仅有1.47%。在整个压溃过程中,宏观断裂力学仿真结果的吸能总量为2 263 J,且单位质量下的比吸能大小为48.77 J/g,与试验结果相比,误差分别为1.48%和1.56%,而仿真结果中的最大平均力略大于试验值,所以压溃效率为77.1%,相比试验数值减小了13%。
总体来说,宏观断裂力学仿真结果的载荷-位移曲线在整体趋势上与试验曲线一致,而且在CFRP薄壁圆管准静态轴向压溃吸能能力的预测中,数值模拟大小仅与试验值相差1.48%,证明了宏观断裂力学仿真结果的精确性。
仿真和试验的最终变形结果如图11所示,对比试验变形过程(图6)和仿真变形过程(图9),可以得到以下结论:在预压溃阶段,CFRP薄壁圆管由于设置了触发机制,其很早就开始出现分层破坏现象,内层层束单元向内卷曲,而外层层束单元开始外翻,并且一些单元因失效删除而发生撕裂。在渐进压溃失效变形阶段,随着压溃位移增加直至结束,CFRP圆管层间的裂纹继续扩展,分层现象也越来越明显,同时伴随着被撕裂的层束单元发生脱落,呈现出“开花”的失效现象。在试验过程中,CFRP薄壁圆管的分层破坏现象具有随机性,而在仿真过程中,由于设置了单元删除的选项,所以宏观断裂力学的仿真结果与试验最终结果略有不同,但是在整个变形过程中,CFRP薄壁圆管的变形趋势大致相同。
3.3 碳纤维材料汽车前纵梁有限元模型建立
采用的汽车前纵梁模型来自于某款乘用车的前端结构,所用材料为冷轧碳素结构钢B280VK,其部分结构如图12所示。该模型中的汽车前纵梁由内板、外板和加强板组成,其截面形状为帽型,内板以及外板厚度大小为1.4 mm,加强板厚度为1.2 mm。考虑到前纵梁前部结构为汽车正面碰撞时的主要吸能结构,所以选取汽车前纵梁前部340 mm结构作为研究对象,同时对前纵梁的结构特征进行简化,最后得到的简化汽车前纵梁模型以及轮廓尺寸,如图13所示[19]。
图12 汽车前纵梁结构
图13 钢质前纵梁尺寸结构图
在前纵梁内板和外板中,碳纤维铺层层数均为8层,网格大小也选用1.5 mm×1.5 mm的尺寸进行划分。此外,为了保证稳定的失效模式,设置倒角触发机制,其他建模步骤与前文保持一致。钢质前纵梁模型的材料属性见表6。
表6 钢质前纵梁参数
在汽车前纵梁压溃建模过程中,约束前纵梁后端6个方向的自由度。为了真实模拟汽车碰撞时的工况,对刚性板附加了600 kg的质量,并赋予刚性板以15 m/s的初始速度来撞击汽车前纵梁,最大压溃位移设置为170 mm,即汽车前纵梁一半的距离。考虑到钢和碳纤维复合材料的应变率效应对其力学性能影响不大,这里只考虑冷轧碳素结构钢B280VK在不同应变率下的应力-应变曲线[19-20]。对于钢质材料的前纵梁,通过Interaction中的Coupling连接方式来模拟内板与外板之间的螺栓连接。对于CFRP复合材料前纵梁,采用实体单元来建模,使用Interaction中的Tie连接方式来模拟内板与外板之间的螺栓连接,其他的约束设置以及加载方式与前文所述相同,前纵梁动态轴向压溃模型如图14所示。
图14 前纵梁动态轴向压溃模型
3.4 不同前纵梁仿真结果对比分析
碳纤维和钢质前纵梁在轴向压溃过程中的载荷-位移曲线,如图15所示。对比发现,CFRP前纵梁在整个轴向压溃过程中吸收的总能量最多,为15 519 J,且最大峰值力最小,仅为167 kN。在整个压溃过程中,碳纤维前纵梁承载能力相比钢质前纵梁表现得更加稳定。由于CFRP前纵梁质量仅为0.391 kg,比吸能为39.7 J/g,相比钢质前纵梁来说,其在单位质量下的能量吸收能力要远强于钢质前纵梁。此外,CFRP前纵梁的压溃效率远大于钢质前纵梁,大小为54.7%。对于钢质前纵梁来说,其总吸收能量最小,为14 069 J,在其压溃初始阶段,最大峰值力达到了366 kN。在后续压溃过程中,钢质前纵梁承载能力具有一定的波动性,考虑到钢质前纵梁的质量达到了1.4 kg,因此,其能量吸收能力相比CFRP前纵梁要逊色很多。
图15 不同材料前纵梁仿真曲线
CFRP前纵梁和钢质前纵梁的变形结果如图16所示,其中钢质前纵梁在轴向压溃过程中都表现出稳定的折叠式变形模式,如图16b所示。CFRP前纵梁表现出稳定的渐进损伤失效模式,内外板的外层碳纤维铺层向外翻转,而内层碳纤维铺层向内卷曲。由于前纵梁与刚性板接触面积过大,导致其分层效果不太明显,如图16a所示。3种前纵梁的耐撞性能指标见表7,可以发现,钢质前纵梁的总吸能略低于CFRP前纵梁,但是质量达到了1.4 kg,导致其比吸能最小,仅为10.05 J/kg。同时,钢质前纵梁的最大峰值力高达366 kN,且在压溃过程中其承载能力不稳定,导致钢质前纵梁压溃效率最低,仅为22.6%。而CFRP前纵梁的耐撞性指标均优于钢质前纵梁,其总吸能略大于钢质前纵梁,总吸能大小为15 519 J,相比钢质前纵梁提升约为10%,但其质量只有钢质前纵梁的28%,使CFRP前纵梁的比吸能数值高达39.7 J/kg,相比钢质前纵梁的比吸能提升了295%,同时最大峰值力降至167 kN,并且压溃效率高达54.7%。
图16 不同前纵梁变形结果
表7 不同前纵梁耐撞性能指标结果
两种前纵梁的耐撞性能指标以及轻量化效果对比,如图17所示。由图可知,碳纤维前纵梁无论是耐撞性能评价指标还是轻量化效果都要优于钢质前纵梁,尤其是在比吸能、轻量化效果和压溃效率指标中,碳纤维前纵梁的优势更加明显,因此,碳纤维前纵梁相比传统汽车前纵梁在耐撞性能和轻量化效果方面具有更大的应用潜能。
图17 两种前纵梁的耐撞性能指标及轻量化效果对比
结论
本文通过引入新型宏观断裂力学本构模型与CFRP薄壁圆管轴向压溃的试验结果进行对比分析,并将模型应用于汽车前纵梁中进行性能比较,得出以下结论:
(1)宏观断裂力学分析方法能很好地模拟CFRP圆管准静态轴向压溃过程,仿真结果的载荷-位移曲线与试验曲线的整体变化趋势保持一致,在达到最大峰值力后,载荷曲线开始下降,随后略微上升,最后围绕平均力进行波动直至压溃结束。在整个压溃过程中,比吸能模拟结果与试验结果的误差仅为1.56%。
(2)根据CFRP圆管准静态轴向压溃的变形结果,宏观断裂力学分析方法很好地模拟了CFRP薄壁圆管层束分层、纤维断裂和基体破坏等一些失效的情况。在预压溃阶段,CFRP圆管出现分层破坏现象,内层层束单元向内卷曲,而外层层束单元开始外翻,并且一些单元因失效删除而发生撕裂。在渐进压溃失效变形阶段,随着压溃位移增加直至结束,CFRP圆管层间的裂纹继续扩展,分层现象也越来越明显,同时伴随着被撕裂的层束单元发生脱落,呈现出“开花”的失效现象。
(3)在前纵梁的轴向压溃过程中,碳纤维前纵梁的比吸能要远远大于钢质前纵梁的比吸能,为钢质前纵梁的3.95倍,在很大程度上提升了前纵梁的吸能能力。其次,碳纤维前纵梁的最大峰值力仅为钢质前纵梁的45.6%,有效地降低了碰撞过程中乘员的受伤程度。从耐撞性能以及轻量化效果来说,碳纤维前纵梁相比传统汽车前纵梁具有更大的应用潜能。
参考文献
[1]张振明.变厚度复合材料汽车防撞梁优化设计研究[D].长沙:湖南大学,2014.
ZHANG Zhenming.Research on Optimization Design of Composite Automotive Bumper Beam with Variable Thickness[D].Changsha:Hunan University,2014.(in Chinese)
[2]孙延.汽车轻量化中碳纤维的应用分析[J].粘接,2019,40(12):104-106.
SUN Yan.Application Analysis of Carbon Fiber in Automotive Lightweight[J].Adhesion,2019,40(12):104-106.(in Chinese)
[3]赵明明.CFRP铝合金复合型管吸能特性研究[D].武汉:武汉理工大学,2019.
ZHAO Mingming.Research on Energy Absorption Characteristics of CFRP Aluminum Alloy Hybrid Tubes[D].Wuhan:Wuhan University of Technology,2019.(in Chinese)
[4]徐峰祥.梯度薄壁结构设计方法及其在车身设计中的应用[D].长沙:湖南大学,2015.
XU Fengxiang.Study on Design Methodology of Graded Thin-Walled Structures and its Application in Automotive Body[D].Changsha:Hunan University,2015.(in Chinese)
[5]张惠鑫.复合材料薄壁结构吸能特性精确建模分析与试验研究[D].长沙:湖南大学,2017.
ZHANG Huixin.Accurate Modeling and Experimental Study on Energy Absorption Characteristics of Thin-Walled Composite Structure[D].Changsha:Hunan University,2017.(in Chinese)
[6]HASHIN Z.Fatigue Failure Criteria for Unidirectional Fiber Composites[J].Journal of Applied Mechanics,1980,47(2):329-334.
[7]CHANG F K,CHANG K Y.A Progressive Damage Model for Laminated Composites Containing Stress Concentrations[J].Journal of Composite Materials,1987,21(9):834-855.
[8]PUCK A,SCHÜRMANN H.Failure Analysis of FRP Laminates by Means of Physically Based Phenomenological Models[J].Composites Science and Technology,1998,58(7):1045-1067.
[9]TAN Wei,FALZON B G,PRICE M,et al.The Role of Material Characterisation in the Crush Modelling of Thermoplastic Composite Structures[J].Composite Structures,2016,153(1):914-927.
[10]TUO Hongliang,LU Zhixian,MA Xiaoping,et al.Damage and Failure Mechanism of Thin Composite Laminates Under Low-Velocity Impact and Compression-After-Impact Loading Conditions[J].Composites Part B:Engineering,2019,163:642-654.
[11]ZHOU Junjie,WEN Pihua,WANG Shengnan.Numerical Investigation on the Repeated Lowvelocity Impact Behavior of Composite Laminates[J].Composites Part B:Engineering,2020,185:107771.
[12]TAN Wei,FALZON B G,CHIU L N S,et al.Predicting Low Velocity Impact Damage and Compression-After-Impact(CAI)Behaviour of Composite Laminates[J].Composites,Part A:Applied Science and Manufacturing,2015,71:212-226.
[13]TAN Wei,FALZON B G.Modelling the Crush Behavior of Thermoplastic Composites[J].Composites Science&Technology,2016,134:57-71.
[14]TAN Wei,FALZON B G.Modelling the Nonlinear Behavior and Fracture Process of AS4/PEKK Thermoplastic Composite Under Shear Loading[J].Composites Science and Technology,2016,126:60-77.
[15]LANGSETH M,HOPPERSTAD O S.Static and Dynamic Axial Crushing of Square Thin-Walled Aluminium Extrusions[J].International Journal of Impact Engineering,1996,18(7-8):949-968.
[16]WIERZBICKI T,ABRAMOWICZ W.On the Crushing Mechanics of Thin-Walled Structures[J].Journal of Applied Mechanics,1983,50(4a):727-734.
[17]CUI L,KIERNAN S,GILCHRIST M D.Designing the Energy Absorption Capacity of Functionally Graded Foam Materials[J].Materials Science&Engineering A,2009,507(1-2):215-225.
[18]ZHANG Yong,LU Minghao,SUN Guangyong,et al.On Functionally Graded Composite Structures for Crashworthiness[J].Composite Structures,2015,132:393-405.
[19]朱国华.金属/碳纤维混合材料薄壁结构耐撞性研究[D].长沙:湖南大学,2018.
ZHU Guohua.Research on Crashworthiness Characteristics of Metal/CFRP Hybrid Thin-Walled Structures[D].Changsha:Hunan University,2017.(in Chinese)
[20]朱艳荣.纤维增强复合材料应变率效应的数值仿真研究[D].长春:吉林大学,2019.
ZHU Yanrong.Numerical Simulation of Strain Rate Effect with Fiber Reinforced Composite[D].Changchun:Jilin University,2019.(in Chinese)
来源:《汽车工程学报》
 
 工程师必备
-  项目客服
-  培训客服
-  平台客服
TOP
 
 



















