【仿真研究】海洋风场仿真及探测方法研究
2023年9月19日 11:23介绍
针对探测对象和探测方法进行了理论分析、数据仿真和试验研究。
首先,从环境特点出发进行了探测体制的分析和激光雷达波段的选取,确定了相干探测体制;然后,研究了对飞机造成较大影响的几种危害风场的分类,建立了风场的物理模型,并进行了数学仿真;最后,对外差探测方式进行了细致的研究,从提高外差探测系统信噪比的角度探测对比试验,得到试验结果与理论分析相一致。
激光多普勒测速原理
空气中包含有大量的气溶胶粒子和大气分子团,它们对空间传播的激光起到吸收和散射的作用。当后向散射的信号光有足够的散射能量被探测系统接收到时,根据多普勒原理,后向散射信号相对于发射信号的频率变化正比于探测目标在光束方向上的运动速度。
因此,只要测量出后向散射信号的频移就可以计算回波光束径向上的风速。按照一定的方式扫描某个范围的空域,利用得到的所有风速数据,经过风场反演可以计算出整个风场的风矢量分布,
海洋风场仿真分析
利用计算流体力学(CFD)原理建立低空风切变模型,从风场的结构出发,把风切变场看作是不考虑温度变化、无粘、无旋、不可压的理想位流场,通过迭代计算得到理想风场演进形成的动态过程。计算域的几何模型如图1,合理的划分计算域内网格,离散后的计算模型如图2.
图1 计算域与船体模型
图2 离散后的计算模型
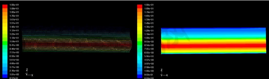
顺逆风切变是指在迎风方向的物体在航迹方向上顺风风力的突然加大和逆风风力的突然减小这种突兀的变化会导致飞机升力的突然减小甚至失去升力,在低空中这种风切变对对气流有严重依赖的飞机来说是致命的。得到的计算区域内风速分布云图如图3.
图3 顺逆风风速分布云图
侧风切变
侧风切变是指物体侧面方向风的水平突变,从时间轴向展开意味着物体在运动的过程中经历了侧面水平风风速的突变。
选用全波长模型作为对测风切变风场进行模拟的数学模型
对侧风切变的仿真结果如下图所示:
图1 测风的立体矢量图
截取一个水平切面来观察仿真结果,如图2所示。第一副图为切面上的速度矢量分布图,第二幅为切面上的速度分布云图,从两幅图中可以看出风速的变化与最初设置的全波长模型风速变化是一致的,在水平方向上随着距离y的增加风速的变化趋势是先增大到最大而后减小的。在整个计算区域内的各个水平切面上其变化趋势是符合全波长模型的,以y轴做时间轴,运动的物体感受到的不断发生变化的侧面风场。
图2 速度矢量图和速度云图
低空激流仿真
低空急流是发生在距离地面1000—4000米的低空大气中发生的一种气流突变现象。它是一个准管状的狭长的强风带,在强风带的中心风速最大,在强风带中心的上下和两侧具有一定强度的风切变。
模拟低空急流的管状狭长风带,可以选用指数模型与自由射流模型叠加,其风场模型为:
图3 叠加的低空急流风场模型
对低空急流风场的仿真结果如图4所示,选取其竖直剖面来进行观察
图4 面y=4000m上的速度分布
观察建立的低空急流风场模型,可以发现在整个计算区域内z轴方向上风速在按照指数变化的趋势上600到1000米处出现了一个风速的突变,最大速度出现在800米处。
风场与舰船的相互作用
根据上述建立的模拟风场和湍流模型,加入结构较为简单的舰船模型,舰船表面设置一定的建筑物,将舰船模型加入风场中,可以模型出模型与舰船相互作用产生的不同的涡旋场。
图5为侧视图,风场入口为图片左侧,在以正弦变化的风速中可以明显观察到风场涡旋的形成过程,我们取了某一时刻的图片观察,可以明显观察到在起降甲板上生成的明显的涡旋,在一定尺度内涡旋的上部对甲板的物体来说是逆风,下部是顺风;舰船的尾部同样产生大量涡旋,由于建筑的阻挡作用,当风与建筑有一定相对速度时会形成气压差,从图中可以直观的看到瞬指针变化的涡旋。
图5 舰船模型导致侧逆风局部风场变化(侧视图)
图6为俯视图,可以看到在舰船的影响下顺逆风场发生了较大变化,尤其是甲板局部风场以及舰船尾流包含大量涡旋,不同的舰船模型对风场的变化影响不同,通过利用简单的船体模型进行研究可以定性的分析风场的变化.
图6 舰船模型导致顺逆风局部风场变化(俯视图)
舰船的局部风场对飞机的起降存在巨大的影响,顺逆风风场的形成会影响飞机起降时的升力的变化,尺度较大的涡旋会引起飞机的振荡,增加飞行员的操作难度,通过对顺逆风风场的观察,舰船头部风场的顺逆变化,以及尾部形成的大量涡旋都需要进行雷达观测。
工程师必备
- 项目客服
- 培训客服
- 平台客服
TOP




















