基于Star-CCM+动力电池液冷系统热管理仿真完整攻略
2024年4月25日 22:55
一、动力电池结构
动力电池一般指锂离子电池,锂离子电池是指在充放电时锂离子通过正、负极之间来回移动,主要组成部分:正极和负极,隔膜,电解液, 集流体(正极集流体和负极集流体)。
锂离子电池的正极材料由复合材料制成,一般被定义为锂离子电池的名称。正极材料主要由四种类型:
1.具有层状结构的金属氧化物,如锂钴氧化物(LiCoO2/LCO) ;
2.具有三维尖晶石结构的金属,如锂锰氧化物(LiMn2O4) ;
3.具有六方型结构,如锂镍锰钴氧化物(LiNiMnCoO2/NCA);
4.具有橄榄石结构的金属,如磷酸铁锂(LiFePO4/LFP)
锂电池负极材料通常为碳和非碳等类型。其中碳负极材料具有化学稳定性、良好导电和离子导体,且成本较低。
隔膜是锂离子电池利用微孔状隔膜来防止负极和正极之间的物理接触,同时允许离子自由流动。隔膜材料的存在会对电池性能产生不利影响,如增加电池的内阻和密度。目前市场所销售的液体电解质电池是利用微孔聚烯烃材料,如聚乙烯或聚丙烯。孔径为0.03~0.1𝜇𝑚,孔隙率为30~50%。聚乙烯材料的低熔点允许它们用作热熔断体。当温度上升到聚合物软化点时,隔膜开始收缩,孔径减小,进而影响Li 离子移动,并降低其反应速率。当温度相继升高时,隔膜能够完全闭孔阻断反应,且低于电池的热失控阈值。对于目前使用的聚乙烯-聚丙烯双层隔膜,熔融终止点发生在130℃左右,熔化发生在165℃左右。
电解液充当锂离子电池的“血液”,根据电池的类型,可以是液体或糊状物质。无论是何种类型的电池,其电解质具有相同用途:在负极和正极之间传输带正电的锂离子。工作过程中,电解液也被视为电池中惰性成分,不应发生电池的净化学变化,在法拉第过程中都应发生在电极内部。理想的电解液应满足如下要求:
1)良好的离子导体和电子绝缘体,使得锂离子运输方便,且自放电可保持在最低限度;
2)较宽的电化学窗口,在负极和正极的工作电位范围内不会发生电解液降解;
3)热稳定性好,对于液态电解液,熔点和沸点都应在工作温度之上;
4) 低毒性,并成功地满足其他环境危害有限的措施;
5)基于可持续化学,元素丰富且合成过程中影响较小。
集流体是锂离子电池中的重要组成部分,常用泡沫铝集流体不仅能承载活性物质,而且还可以将电极活性物质产生的电流汇集并输出,有利于降低锂离子电池的内阻,提高电池的库伦效率、倍率性能和循环工作的稳定性。锂离子电池集流体的材料应满足如下要求:
1)电化学,在电池充电和放电期间对氧化和还原条件下具有稳定电化学特性;
2)导电性,高导电性有助于电池放电/充电过程中化学能/电能向热能的转化率低,从而提高电池的能源效率和容量,避免高温运行的风险;
3)机械强度,集流体可用作电极机械支撑,合适机械强度的集流体有助于电池工作循环过程中保持电极活性材料与集流体的有机结合 ;
4)可持续性,集流体的材料可持续使用对于电池行业的发展至关重要。
二、动力电池产热机理
当锂离子电池接入回路(接入负载或者外部电源)中时,就会出现一系列的物理化学变化。以锂离子放电过程为例,来揭示锂离子电池内部的 动力学过程。充电过程与放电过程的原理是一样的,区别只是电荷运动的方向相反。当锂离子电池接入负载时,电极电压就会越过平衡电压,开路情况下的平衡状态被打破,负极和正极分别发生电化学反应:电化学反应会使Li 从负极活性颗粒中脱出,并嵌入正极活性颗粒中,这个过 程称为电化学过程。锂离子电池内部的动力学过程可以用5个数学方程进行描述:
1)电化学过程,描述Li在活性颗粒表面的脱嵌过程;
2)固相扩散过程,描述Li在活性颗粒内部的扩散过程;
3)液相扩散过程,描述Li在电解液的扩散过程;
4)固相电势过程,描述集流体和极片的电势;
5)液相电势过程,描述电解液的电势值。
在上述的电化学模型中,温度是影响电池性能的一个参数,锂离子电池的电化学参数对其发热和温升的影响。
锂离子电池的产热过程可以由下式来表述,其中Q为总产热量.
产热分为:不可逆热、可逆热、 电子传输热、 离子传输热、 接触热阻产热
1)不可逆热
锂离子电池在使用过程中,需要消耗一定的能量用于驱动电化学反应,这部分能量最终会变成电池的产热,这部分热称为不可逆热。不可逆热由锂离子电池 的电流和过电势决定。
2)可逆热
锂离子电池的电化学反应伴随着锂离子在活性颗粒中脱嵌,这种脱嵌伴随着活性颗粒晶粒结构的改变,这种晶粒结构的改变自然会出现放热和吸热现象,这部分热量称为可逆热。
3)电子传输热
自由电子在导电体中定向运动形成电流并传递电能,同时也会产热一定的热 量,这部分热量称为电子传输热。
4)离子传输热
锂离子在电解液中扩散、迁移和对流时会传递电能,同时也会产生一定的热量,这部分热量称为离子传输热。
5)接触热阻产热
锂离子电池内部存在着很多的接触,电流流过这些接触时会产生一部分的热量,相对于其他产热来说,接触热阻产热比较小,一 般可以忽略不计。
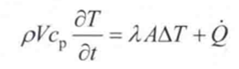
锂离子电池使用过程中产生的热量,为锂离子电池的温升提供了热源,下式锂离子电池的温升过程。
式中,T为电池的温度;Q为热源;λAΔT为电池内部的导热过程。
上述的电化学反应和热力学过程不是孤立存在的,而是相互作用的。电化学反应为热力学过程提供热源,热力学过程对这些热源进行计算,更新温度并作为参数输入电化学反应。
三、什么是动力电池热管理
锂离子动力电池对温度的敏感性,温度高低对于锂离子动力电池的整体性能,包括电池的容量、功率、充放电效率、安全性和寿命等都有着非常显著的影响。锂离子动力电池对温度的敏感性主要源于其材料物化性质的温度敏感性。温度会直接影响电极材料的活性和导电率、锂离子在电极上的嵌入和脱嵌、隔膜的锂离子透过性等,进而影响到电池内部的电化学反应,其外部表现为动力电池的温度敏感性。
锂电池结构
由于动力电池具有适宜的工作温度范围,在此范围内随着温度增加其内部活性物质的活性越大,电池的充放电电压和容量随之增大,电池的内阻相应减小,动力电池的充放电效率也相应增加。当温度超过一定范围,温度过高则会加快电池内部副反应的进行,这些副反应消耗锂离子、溶剂以及电解液等,导致电池性能衰减。当电池持续工作在45℃以上时,其循环寿命明显降低,这种情况在高倍率充放电时更为明显。因此,如果长时间地工作在高温环境下,动力电池的寿命就会明显缩短,其性能也会大大降低,甚至引发安全事故。温度过低则电池内部活性物质的活性明显降低,其内阻、极化电压增加,充放电功率和容量均会显著降低,甚至引起电池容量不可逆衰减,并埋下安全隐患。尤其是在充电过程中,在充电设备外加电场作用下,锂离子从正极材料中脱出进入电解液并向负极移动,依次进入石墨构成的负极材料中,并形成LiC化合物。如果温度较低,充电速度过快,会使得锂离子来不及进入负极形成LiC化合物,则靠近负极的锂离子就会俘获电子而成为金属锂,并聚集形成锂枝晶,锂枝晶长大则可能刺破隔膜形成短路。
由于动力电池系统所处环境及自身温度直接影响其正常运行、循环寿命、充电可接受性、输出功率、可用能量、安全性和可靠性,为了使电池系统达 到最佳的性能和寿命,需要通过引入热管理系统对电池进行低温加热、高温散热 以及保温管理,限制电池的温升以及温差,从而实现电池组温度均匀化,保证电 池工作在适宜的温度范围内,降低电池性能衰减速度并消除相关的潜在安全风险。通过热管理系统对温度进行调节和控制,使动力电池在运行过程中始终保持在合 适的温度范围,对提高动力电池系统的性能和效率,延长其使用寿命,降低电动 车辆的成本,保障电动车辆的安全使用等方面都有重要的现实意义。
动力电池热管理系统
四、动力电池如何进行液冷散热
众所周知,动力电池的液冷散热过程是一个高效且精密的热管理技术。首先,导热液被注入电池模块之间的空隙中。这些导热液具有优秀的热传导性能,能够迅速吸收电池产生的热量。随后,导热液中的热能经过热管高效地传输至散热器处。热管是一种利用热传导原理的高效传热元件,它能够将热量从一端快速传递到另一端,从而实现热量的远距离传输。
图片来自网络
散热器则负责将热量释放到外界空气中,通过散热片增大散热面积,利用风扇等辅助设备加速空气流动,从而提高散热效率。这样,动力电池产生的热量就能够被有效地散发出去,保持电池温度的稳定。
图片来自网络
与传统的风冷技术相比,液冷技术具有更高的散热效率和更低的噪音污染。由于导热液在集成电路封装的微小空隙中能有效地进行传热,液冷技术在热量管理方面具有更大的优势。此外,液冷技术还能够实现对电池温度的精确控制,提高电池的使用寿命和安全性。
图片来自网络
目前,各大汽车厂商都在积极使用和研究动力电池液冷技术,以应对电动汽车市场日益增长的散热需求。随着技术的不断进步,动力电池的液冷散热技术将会更加成熟、高效和可靠。
五、动力电池的冷却系统
动力电池常用的冷却方式主要有四种:自然冷却、强制风冷、液冷和制冷剂直接冷却 (简称直冷)。其中,自然冷却、强制风冷和液冷这三种冷却方式都是利用冷却工 质流过热功耗表面时发生的对流换热将热量带走,过程中冷却工质没有发生相变。直冷则是冷却工质在冷板中发生相变,并利用相变吸热带走大量的热量。
四种冷却方式的冷却效率的对比如表,液冷和直冷的冷却效率比自然冷却和强制风冷高出几个量级。此外,除了冷却效率之外,还需要综合考虑冷却均匀性、结构设计、成本和能耗等因素。
1)自然冷却系统
自然冷却是利用空气的自然对流换热,将Pack、模组或电池单体的热量传递到周围空气中,从而在一定程度上降低电池单体的温度。由于空气的导热系数较低,且自然对流的流动也较弱,因此自然冷却的散热效率一般比较低。此 外,当电池系统周围不存在其他热源时,温差也可以控制在较小的范围内。自然冷却方式虽然冷却效率较低,但这种方式的成本较低、所占的空间较小以及 电池单体间的温差较小(无外部热源时)。在电池系统运行工况缓和、成本控制较高以及留给热管理系统的空间十分有限的情况,自然冷却方式是一种可取的选择。
2)强制风冷系统
强制风冷是通过风扇将空气引入箱体内部,空气在风扇的作用下,以一定的流速掠过模组或者电芯的外表面,并将电芯产生的热量散入到环境空气中。强制 风冷方式常见于早期的纯电动乘用车、纯电动大巴以及储能系统。根据空气的流动形式,强制风冷系统的风道可以分为:串行方式和并行方式。串行方式的优点是结构简单,缺点是散热均匀性差,且系统流动阻力比较大;并行方式的散热均匀性更好一些,且流动阻力比较小,但并行方式的结构较为复杂,占据的空间也更大。电芯间隙冷却情况 下串行方式的原理图,在这种方式下,冷风逐一掠过电芯并将电芯的热量带走, 同时冷风每掠过一个电芯自身的温度就会升高,因此这种方式会使电芯间的温差 增大,此外系统的流动阻力也比较大;
电芯间隙冷却情况下 的并行方式的原理图,在这种冷却方式下,冷风并行掠过电芯并将电芯的热量带 走,因此电芯间的温差得到了控制,且系统的流动阻力比较小。
3)液冷系统
液冷方式主要把冷却液作为冷却介质为电池系统降温。常用的纯电动汽车热管理液冷系统主要包括冷凝器、压缩机、水泵、热交换器等部件。首先,冷却液流经冷凝器、压缩机后被强制降温,然后低温冷却液经过电池系统内部冷却流道与电芯发生热交换以后,再流经热交换器与低温制冷剂进行热交换,从而将电池产生的热量带出电池系统,降低电池温度。液冷比风冷的散热效率高,能够满足大功率充放电的散热需求,同时液冷散热更均匀,电芯温差小,温度一致性高,能够大幅提高电池系统稳定性和寿命。但是,液冷系统结构较风冷系统复杂,液冷系统运转时会消耗电池本身的能量,且相对风冷系统成本也略有增加。
六、认识电池包的液冷系统
液冷系统指的是电池系统内部的液冷系统,一套完整的液冷系统不仅包括电池系统内部的液冷系统,还包括电池系统外部的液冷系统。图是一套完整液冷系统的工作原理图:电芯产生的热量通过电池系统 内部液冷系统被带出电池系统,然后进入电池系统外部液冷回路中,紧接着这部 分热量通过换热器传递给整车空调系统,最后通过整车空调系统将这部分热量传递到环境空气中。
(一)液冷工质
根据液冷工质电导率不同,液冷工质可以分为直接接触式和间接接触式,直接接触式的液冷工质可以与电芯直接接触并将热量散入环境中,硅油和篦麻油属于直接接触式液冷工质,间接接触式的液冷工质不能直接与电芯接触,通常需要利用金属容器进行盛装,并利用金属容器与电芯进行接触从而将热量散入环境中,且金属容 器与电芯之间需要添加绝缘层,水和乙二醇溶液属于间接接触式液冷工质。
(二)液冷系统设计流程
整个液冷系统设计的流程可以分为设计目标、系统总体方案设计、传热路径设计、液冷回路设计、液冷板设计、冷却策略设计、机械结构设计、仿真分析和测试验证等。
1、设计目标
1)电芯温度控制
对电芯温度的控制,主要是从保证电芯循环寿命要求出发的,即将电芯的最高温度控制在特定温度之下,才能保证电池系统的循环寿命要求。一般情况下, 电池系统在特定环境温度下运行特定工况时,液冷系统需要将电芯自身的温度控制在45°C以下或者将电芯自身的温升控制在10°C以下,从而保证电池系统的循环寿命要求。
2)电芯之间温差控制
电池在充电、放电和静置等过程中的电化学反应和自放电反应速率都会受到电池温度的影响。当电池系统中的电池单体间出现温度不均衡时,电池的电化学反应和自放电反应的速率也会出现不均衡,这种不均衡会导致电池单体间的循环寿命、容量和内阻出现差异。因此,应根据寿命一致性要求和BMS控制的要求确定电池单体间允许的最大温差。一般情况下,电池系统在特定环境温度下运行特定工况时,液冷系统需要将电芯之间的温差控制在5 °C以内,从而保证电池系 统的一致性要求。
3)系统压降控制
冷却液流过液冷系统时,由于流体存在黏性,流体与管槽内壁以及流体与流体之间存在着摩擦阻力,这会消耗一部分能量。这一部分能量消耗主要表现为液冷系统冷却液进出口压力下降。为了补充这一部分压降,循环液回路中的泵需要提供相应的升力。液冷系统的压降值需要根据泵的扬程来确定:在大多数情况下系统的压降一般控制在20〜30 kPa范围内;但对于采用圆柱电芯的电池系统来说, 它的液冷系统的压降一般会在60-70 kPa范围内。
2、总体方案设计
液冷系统总体方案设计在整个电池系统设计过程中起到承上启下的作用。
一方面,液冷系统作为电池系统的一个子系统,它的总体方案设计需要与电池系统 的方案设计匹配,并与电池系统方案设计同步完成。另一方面,液冷系统总体方案作为各液冷子系统和液冷零部件的总括,它需要保证所有液冷子系统和液冷零部件能协同动作。一般情况下,液冷系统的总体方案需要包括如下内容:传热路径概念设计、液冷回路概念设计、液冷板概念设 计、冷却策略概念设计、机械结构概念设计等。
3、传热路径设计
一般情况下,液冷系统的传热过程可以归纳成三条传热路径:第一条是热量 从电芯内部传递到电芯外表面;第二条是热量从电芯外表面传递到液冷板冷却表面;第三条是热量从液冷板冷却表面传递到电池系统外部。
三条传热路径是串联的关系,因此需要对这三条传热路径进行逐一的优化设计,从而使整个系统的传热效率到达最优。其中第一条路径是在电芯设计阶段完成的,第二条路径和第三条路径则是液冷系统设计所需要重点关注的。第二条路径的优化设计即为模组的优化设计。第三条路径的优化设计则主要体现在液冷回路设计和液冷板设计上,
4、液冷回路设计
整个液冷系统往往由若干个并联的回路组成,冷却液从液冷系统入口流入, 随后分流并流过并联回路,最后汇流并从液冷系统出口流出。图所示是液冷系统采用的是并联模式,每一块液冷板接入主干路并通 过连接形成一个并联回路,实际设计中可 以将每个并联回路之间流量比的偏差控制在10%以内。
5、液冷板设计
对于每一个并联回路,为了保证并联回路内部冷却的均匀性,需要对液冷板与冷却液接触的面积(称为冷却面积)进行设计,冷却面积的设计方法。
h、Tw和S是未知的变量,其中S为待求的设计参数。对 于确定的流动情况,对流换热系数h是基本确定的,h可以通过公式来近似计算。Tw则可以根据发热功率Pm和导热路径的情况进行计算。在确定h和Tw之后,则可以通过公式计算出冷却面积。
6、冷却策略设计
在实际的运行过程中,出于节省能耗的考虑,外部液冷系统的空调和电子泵并不是常开的,它们的开启和关闭一般是根据电芯的实际温度来确定的:当电芯的温度高于一定温度时,为了将电芯的温度控制在设计目标之内,需要开启空调和电子泵;当电芯的温度低于一定温度时,此时电芯的温度一般会是下行趋势,出于节省能耗的考虑,会关闭空调和电子泵。
由于热惯性的存在,一般情况下空调和电子泵开启时电芯的温度低于液冷系统的设计目标,而空调和电子泵关闭时电芯的温度低于空调和电子泵开启时电芯的温度。当电芯温度高于什么温度时开启空调和电子泵以及低于什么温度时关闭空调和电子泵,即为液冷系统的冷却策略。冷却策略的设计一般是先通过仿真分析来确定,然后通过实验进行验证。
冷却策略的设计流程,首先将初步设计的冷却策略输入到CFD仿真模型中, 经过数值计算可以获得整个热场和流场随时间变化的曲线;接着从仿真结果中提取出电池的最大温升、电池间的最大温差和能耗等数据,并将这些数据与设计目标进行比较,如果满足设计目标,则进行测试验证,如果不满足,则需要根据仿真结果调整冷却策略,然后将新的冷却策略输入到CFD模型中去,直至测试验证满足设计要求。
7、机械结构设计
在液冷系统设计中,需要对冷却界面(即液冷板与模组或者电芯的接触面)的接触热阻进行控制。一般来说,控制的方法有多种,但所有的方法都有一个共同点,即在液冷板与模组或者液冷板与电芯之间施加一个合适的预紧力,从保证二者接触良好。因此,液冷板安装的关键就是如何提供这样的一个合适的预紧力。
对于具备承重能力的液冷板来说,提供这个预紧力比较简单,常用的做法 是将模组直接安装在液冷板上,通过模组的重量和螺栓预紧来提供这样的一个预紧力。
对于不具备承重能力的液冷板来说,一般不能通过模组重量和螺栓预紧这种方式来提供预紧力。对于这种类型的液冷板,常见的安装方式有两种:第一种是夹持安装,包括双模组夹持和双电芯夹持两种安装方式;第二种是弹性支撑结构。
双模组夹持安装的液冷板,这种安装方式是将两个模组相对平放,然后将液冷板夹持在两个模组的底面之间;双电芯夹持安装结构, 这种安装方式是将液冷板夹持在两个电芯(方形电芯和软包电芯)的大面之间。总体来说,夹持安装方式使液冷板的两个表面均得以利用从而提高了液冷板的利 用效率,并且没有增加额外的支撑结构件,在某些情况下是一种较为可取的安装 方式。
8、仿真分析
液冷系统设计过程中主要参数,都可以预先通过工具进行仿真分析和优化设计,然后再通过测试进行验证,从而节省成本和周期。在确定液冷系统的设计目标之后,通过CFD工具预先验证液冷系统的传热路径设计、液冷回路设计、液冷板设计、冷却液入口温度设定、冷却液流量设定以及液冷策略设计等参数是否合理。
以某乘用车液冷系统的设计为例,对液冷系统的设计流程进行简单的 介绍。 图为某电池系统的结构图,电池系统由3行12列并排的36个模组 组成,每个模组由12个方形电芯组成。电池系统在夏天使用时环境温度为40°C, 运行工况为1C满放,液冷系统所使用的冷却液为乙二醇溶液(50%,体积分数), 冷却液流量为15L/min,冷却液入口温度为22 °C 。
液冷系统的设计目标为:在运行指定工况时,电池系统内部电芯的最大温升小于等于10°C;电芯之间的最大温差小于等于5°C;液冷系统的压降小于等于30 kPa。在设计之初,根据 产热分析计算出1C满放工况下电池系统的产热功率。然后根据模组排布的特点,对液冷回路进行设计,初步将本系统的液冷回路设计为3S4P,如图所示
最后,对液冷板进行设计,初步将本系统的液冷板的宽度设计为80 mm,厚度设计为5mm。管路分流和汇流的地方采用三通阀连接,硬管与软管之间的连接采用胀接工艺,液冷板与软管之间的连接采用SAE标准快插接头,液冷系统与箱体的密封采用法兰连接。
图分别是通过CFD仿真工具计算出来的液冷系统的压力分布和速度分布,从仿真结果来看,系统的压降为26kPa, 4个并联回路之间的冷却液流量之差小于10%,满足流场设计的目标。
图为电池系统的热仿真分析,从仿真结果来看,在运行指定工况时,电芯的最大温升为0.4°C,电芯之间的最大温差为2.0 °C,满足热设计目标。
9、测试验证
对于液冷系统来说,测试验证是至关重要的。液冷系统的功能、可靠和安全 等性能最终都需要通过实验进行验证。一般情况下,功能性测试在A样进行,可靠性测试和安全性测试在B样进行。
功能性测试表列出了功能性测试的项目和参考值,需要说明的是,为了与液热系统和保温系统匹配,表中增加了加热性能测试和保温性能测试。
可靠性测试和安全性测试表出了可靠性测试和安全性测试的项目及对应的测试参考。
七、动力电池液冷系统热管理仿真
《STAR-CCM 新能源汽车动力电池热失控仿真13讲》第一个模组失控,引发第二个模组失控,评估现有模组之间的隔热是否能阻止失控模组往正常模组的传热。大家可点击查看STAR-CCM新能源汽车动力电池热失控仿真讲解(附视频教程)
《基于Star-CCM 动力电池液冷系统热管理仿真27讲》是笔者原创的视频教程,本课程包括动力电池热管理理论、设计流程和仿真分析内容,
课程详细介绍了动力电池结构、产热原理,对动力电池设计流程进行了详细的介绍,对仿真过程包括几何简化、修复、多类型网格生成、宏命令创建监测点和报告,后处理动画制作进行了详细介绍,并介绍了常温1C放电、高温1C放电计算分析、高温快充计算分析、低温加热计算分析、保温性能计算分析等多工况仿真。
工程师必备
- 项目客服
- 培训客服
- 平台客服
TOP




















