聚丙烯塑料粘接界面的表面自由能评价
2024年12月10日 17:06塑料之间(含与其他材料)黏接是塑件二次加工中必不可少的环节。聚合物之间(含与非金属或金属之间)黏接等都存在聚合物基料与不同材料之间界面黏接问题。黏接是不同材料界面间接触后相互作用的结果,靠分子间吸引力而黏接东西。被黏物与黏料的界面张力、表面自由能、界面间反应等都影响黏接。黏接不同于涂层和印刷,是综合性强,影响因素复杂的一类技术,目前行业界有吸附理论、化学键形成理论、弱界层理论、扩散理论、静电理论、机械作用力理论等从各个层面诠释黏接原理。
为达到良好的黏接,吸附理论有两个条件满足。一是黏接剂要能很好的润湿被黏物表面;液体黏接剂向被黏表面扩散,逐渐润湿被黏物表面并渗入表面微孔中,由点接触变成面接触。二是黏接剂与被黏物之间有较强的相互作用力;产生吸附作用形成次价键或主价键。从图1中看出,表面张力大,润湿能力差,表面张力小,润湿能力好。聚合物是表面张力小容易浸润黏合界面附着力好,表面张力大会让胶水呈蜡滴状圆球不扩散。
图1 表面张力与润湿性能关系示意图
在粘接过程中,润湿是一个至关重要的环节,它直接影响到粘接强度和粘接效果。润湿程度通常用接触角来表示,而杨氏方程则是描述接触角与界面张力之间关系的重要公式。
一、润湿与接触角
润湿是液体在固体表面铺展的现象,是液体分子与固体分子间相互作用的结果。在粘接过程中,良好的润湿意味着液体胶黏剂能够充分铺展在被粘接物的表面,形成紧密的接触。接触角是描述润湿程度的一个直观指标,它表示液滴在固体表面上形成的夹角。当接触角较小时,说明液体对固体的润湿性好;当接触角较大时,则润湿性差。
二、表面自由能基本理论
著名的杨氏方程描述了固-液-气三相接触的平衡。具体公式如下:
图1 固液气三相点
杨式方程是所有表面自由能的理论基础,它描述了空气、液体和固体相遇的三相接触点处的力的平衡。杨式方程如下:
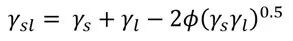
γsv是固体表面自由能,γsl是固体和液体之间的界面张力,γlv是液体的表面张力,θy是接触角。当确定固体表面自由能时,需要知道或测量方程的右侧。表面张力和接触角很容易测量,但液体和固体之间的界面张力测试很难。
如果γs>γl,这个假设后来证明是真的。Good和Girifalco将方程转换为如下形式:
假定φ=1,这也是WORK理论的基础。
· Fowkes将相互作用分为不同的部分
将SFE分成单个组分的想法包括假设γsl由各种界面相互作用决定,这些相互作用取决于被测基材和测量液体的性质。Fowkes假设固体的表面自由能(和液体的表面张力)是与特定相互作用相关的独立组分的总和:
其中γsvd,γsvp,γsvh,γsvi和 γsvab 分别是色散、极性、氢、诱导、酸碱组分。γsvo是指所有剩余的相互作用。Fowkes主要研究含有仅出现相互作用的物质(固体或液体)的系统。根据Fowkes的说法,色散相互作用与伦敦力相互作用有关,由于电子偶极子波动引起。
· OWRK法用于计算表面自由能
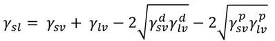
Owen和Wendt延续了Fowkes的观点,指出方程右侧的所有分量,除了γsvd都可以被认为是极性的(γsvp)。将多组分方法与Good和Girifalco对界面张力的定义相结合,基于WORK理论的界面张力可以写成:
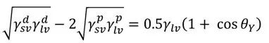
如果与杨氏方程相结合使用,称为OWRK的方程可以写成:
因为在方程中有两个未知数,γsvd和γsvp,所以需要两个具有已知色散和极性成分的液体。
· 液体的选择
一种液体需要选择主要为极性部分的液体,另一种液体选择主要为色散部分的液体。这是因为相互作用发生在相似的组分之间。如果我们只有色散部分,可能的极性相互作用将被忽视。
水、甘油和甲酰胺可以用作极性液体,二碘甲烷和α溴萘可用作色散部分。水和二碘甲烷是最常用组合。水由于极性大和无毒的特性,广泛使用。色散部分选择比较复杂,大多数可用作色散部分的液体表面张力非常低,这导致对于大多数表面来说接触角为零。因此,需要更多特殊的液体。OWRK是SFE计算的最常用方法之一。
三、表面自由能计算模型
表1 表面自由能方法总结
模型使用液体种类何时使用其他OWRK |
2种(极性和色散) 典型是水和二碘甲烷 |
聚合物、铝、涂层、清漆 |
最常用的方法,用几何平均值处理分子间的相互作用,低估了极性相互作用 |
Wu |
2种(极性和色散) 典型是水和二碘甲烷 |
聚合物、有机溶液、有机颜料 |
用调和平均数处理分子间的相互作用 |
Acid-base |
3种(2极性、2色散)水、甘油、二碘甲烷 |
生物系统、生物聚合物、蛋白质、纸张、颜料、制药 |
尤其是在生物系统中许多机型生物聚合物被认为是单极的电子受体或电子供体的极性部分,滴的液体选择是非常重要的,使用不当的液体三联体会导致相反的极性数值 |
Schultz |
2种(1极性、1色散) |
高表面自由能固体,如金属 |
测定固体表面和液体间的接触角,需要两种液体间的界面张力 |
EQS |
1 |
粗略评估非极性固体表面自由能 |
并没有将总体的表面自由能进行区分,计算是基于实验中定义的常数进行的,结果重现性较差 |
Zisman |
2(实际上液体种类越多结果越接近真实值) |
低能、非极性表面 |
并不仅仅针对表面自由能也可评估润湿状态下的界面张力,仅适用于完全色散表面 |
四、确定最优的聚丙烯等离子处理时间
聚丙烯样品通过经过空气等离子处理,时间为1到120秒。等离子系统运行条件为50W,100kHz,腔内压力为1.0torr。处理完成后,使用光学接触角仪测试探测液体(去离子水,乙二醇和二碘甲烷)的接触角。每个测试在等离子处理完后约2分钟测试。液滴设置为2微升。通过OWRK计算方法通过接触角确定聚丙烯的表面自由能。
图2 接触角随等离子处理时间的变化
测试-接触角
在图2中显示了每种探测液体的平均接触角随等离子处理时间的变化。在开始的几秒接触角有个猛烈的降低到了64°,但水的接触角在15秒后增加到了最大值。二碘甲烷的接触角也在处理时间4秒后慢慢增加,而乙二醇的接触角则在整个处理时间段基本保持不变。
图3显示了在等离子处理前和处理120秒后探测液体在聚丙烯表面的液滴图。
图3 探测液体的液滴图(水,二碘甲烷和乙二醇),在未处理和等离子处理120s后的聚丙烯表面
测试-表面自由能
通过图3中的接触角,用OWRK方法确定聚丙烯的表面自由能(γtot)。总表面自由能,即极性和色散表面自由能与等离子处理时间的关系在图3中。开始时γtot=24.2 mJ/m2但在处理3秒后增加到46.8 mJ/m2。表面自由能在15秒时降到最低值,而随后升高到大约40 mJ/m2。
表面自由能中色散分量特别是极性部分也非常依赖于处理时间。开始时γp~0因为聚丙烯基本是色散的。经过很短时间的离子暴露,γp增加到 12 mJ/m2而 γd 也增加到 35 mJ/m2。而15秒后,极性分量降低显著,与总的表面自由能γtot降低一致,亲水性降低。在处理时间大于15秒后,γp 逐渐升高而 γd 略微降低。
· 结构与界面研究服务平台 ·
国高材分析测试中心接触角测量仪
国高材分析测试中心结果与界面研究服务平台,以研究材料表界面和结构分析为重点,探究了材料形貌、微观结构、化学成分与材料性质的之间的内在关系。
所配备的接触角测量仪拥有强大精密的硬件支撑与普适的界面拟合方法 ,目前能做到 ±0.1°接触角精度、±0.01mN/m的液体表面张力、±1mN/m的固体表面能的精度。并通过图片、视频、轮廓拟合、数据分析拟合得到客户想要的细节,方便深入探索界面科学与工程。
测试范围:接触角:0~180°;分辨率:0.01
适用标准:GB/T 30693-2014;ISO 15989:2004;
GB/T 24368-2009; ASTM C813-20;
样品要求:表面平整的薄片,每个样品的有效测试面积需大于100mm2
工程师必备
- 项目客服
- 培训客服
- 平台客服
TOP




















