双折射取向层对方位角锚定能的测量影响
Alexander Muravsky*,**, Anatoli Murauski*
*Institute of Chemistry of New Materials, National Academy of Science of Belarus, Minsk, Belarus
**Dept. of Physical Optics & Applied Informatics, Physics Faculty, Belarussian State University, Belarus
摘要
双折射取向层有利于液晶盒的光学性能,这对测量方位角锚定能量的光学方法也有意义。我们得到了计算受取向层迟滞影响的液晶扭曲角的修正值的分析方程. 获得了AtA-2和AtA-0042偶氮染料光取向材料的方位角锚定能量测量数据: >10-4J/m2,在广泛的曝光剂量0.04 -5.12 J/cm2范围内.
关键词
方位锚定能;液晶取向;延迟;光配向
介绍
对方位角锚定能量的探索是液晶盒制造工艺优化和新材料研究的一个有用方式。标准的光学方法[1]被广泛用于测定各种取向材料的方位角锚定能量。按照该方法,线偏振光波长λ--全波的旋转仅由扭曲向列型液晶(LC)盒的扭曲角φ0决定;并测量波长λ处光通过LC盒传播时的偏振面旋转角γ。
在取向层的双折射可以忽略不计的情况下,偏振面旋转的角度γ等于液晶盒内的实际扭曲角φ,那么我们可以简单地假设公式1:
(1)
最后应用扭矩平衡条件,根据公式2计算出方位角锚定能量常数Aφ, 这里 2Δφ=φ0-φ, K22 – 弹性常数, d – 液晶盒厚:
(2)
双折射取向层:理论
可是对于光配向材料的情况下, 特别是在偏振光照射下发生分子定向的偶氮染料 [2,3], 取向层的光致双折射是很重要的,它对于光在LC盒中传播时的偏振平面旋转角度也有贡献。
所以取向层的双折射需要被考虑在内。
考虑光在具有双折射取向层的扭曲向列型液晶盒中传播的光学路径(Fig.1). 实际的扭曲角φ与偏振平面旋转角度γ不同,γ也受取向层的延迟δ1=πΔn1d1/λ所影响
Figure 1. 光在带有双折射取向层的扭曲LC盒中的传播示意图
我们得到了偏振平面旋转角度对取向层双折射的依赖性的解析解, 公式 3, 其中 δ=πΔnd/λ Δn– 液晶层的双折射.
(3)
根据公式3,取向层的折射各向异性的存在导致通过扭曲液晶盒的透射光的偏振平面的旋转角度增加。(Fig.2). 如果按照公式1给出的标准程序,预计方位角锚定能量的测量会有误差. 事实上,取向层的延迟有助于光学扭转效应,缓解了对高方位角锚定能量值的要求,并且需要在方位角锚定能量测量的光学方法中加以考虑。.
Figure 2. 偏振平面旋转角度对取向层迟滞的预期依赖性
双折射取向层:实验
同时测量光配向材料的方位锚定能量对曝光剂量或取向层厚度的依赖性 需控制取向层的迟滞值. 最近,在研究新的光诱导空穴偶极子的光配向机制时,我们获得了偶氮染料光取向材料AtA-2和AtA-0042的双折射取向层,具有非常强的方位角锚定能[4], 这是很难用普通的光学测量方法测量的。
.
通过在玻璃基板上棒涂 1% 偶氮染料的二甲基甲酰胺 (DMA) 溶液获得 40-60 nm 的光取向材料薄膜, 然后在 140°C 下热板烘烤 5 分钟. 将光敏偶氮染料薄膜依次暴露于蓝光 LED 450 nm 线偏振光下,偏振光强度为 40 mW/cm2. 曝光剂量分别为 1、2、4、8、16、20、26、32、64 和128 秒曝光。将具有正交对准方向和相同曝光剂量的光取向膜的两个玻璃基板组装成90°扭曲液晶盒并用环氧树脂胶合。使用 7 μm 球状间隔物来控制盒厚。液晶盒由液晶材料 E7填充, Merck.
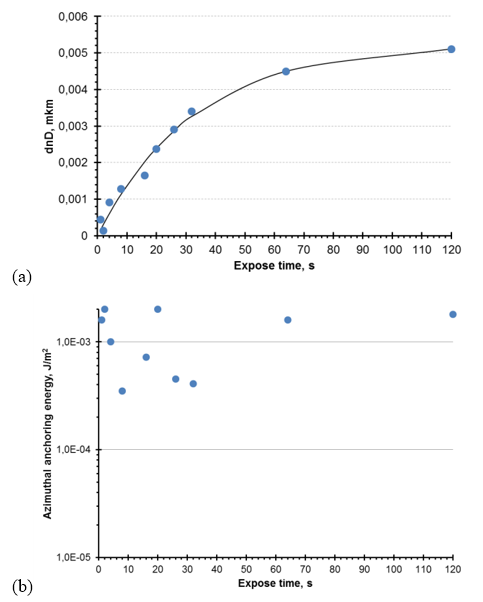
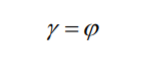
测量了 AtA-2 偶氮染料薄膜的光致延迟值,并将其应用于根据方程 2 和 3(图 3)计算方位角锚定能系数.
Figure 3. 延迟(a) & 方位锚定能(b)
AtA-2 偶氮染料薄膜对蓝光 LED 线偏振光(强度 40 mW/cm2 )曝光时间的依赖性.
测量了 AtA-0042 偶氮染料薄膜的相应光致延迟值,并将其应用于根据等式 2 和 3(图 4)计算方位角锚定能系数。
Figure 4. 延迟 (a) 和方位角锚定能量(b)
AtA-0042 偶氮染料薄膜对蓝光 LED 线偏振光(强度40mW/cm2)曝光时间的依赖性
结论
通过考虑双折射取向层的延迟值,获得的方程(3)修正了方位角锚定能量测量的光学方法。根据方程 3考虑光致延迟允许对偶氮染料光取向材料 AtA-2 和 AtA-0042 的方位角锚定能量进行实验测量,其具有非常强的光取向特性,在 0.04 – 5.12 J/cm2 的宽曝光量范围内提供 10-4J/m2 以上的方位角锚定能量.
现有研究的影响
首次引入了考虑取向层延迟的改进的方位角锚定能测量方法。该方法继承了之前的所有因子,适用于双折射取向材料的表征,例如偶氮染料光取向层.
References
1.Konovalov V.A., Muravski A.A., Yakovenko S.Ye., Pelzl J., SID Symp. Dig. Tech. Pap. 31 (1), p. 620 (2000).
2.Chigrinov V.G., Kwok H.-S., Takada H., Takatsu H., Liquid Crystals Today. 14(4), p.1 (2005).
3.Muravsky A.A., Murauski A.A., Kukhta I.N., Appl. Opt.
59 (17), p. 5102 (2020).
4.Muravsky A.A., Murauski A.A., Kukhta I.N., Yakovleva A.S., J. Soc. Inf. Displ. 29 (5), to be published (2021).
工程师必备
- 项目客服
- 培训客服
- 平台客服
TOP




















