晶体塑性模拟中的大变形网格重划分
浏览:2323 收藏:2
参考文献《Large-deformation crystal plasticity simulation of microstructure and microtexture evolution through adaptive remeshing》
在我们进行大变形晶体塑性时,做到后期,最常见的“翻车点”不是本构收敛性问题,而是网格畸变:单元被压扁/拉长后,数值误差会明显放大,轻则结果不准,重则直接不收敛、崩溃(segfault/迭代发散),尤其在局部化或剪切带发展阶段更明显。
我们常见的处理方案主要是:
- ALE(任意拉格朗日-欧拉)
- 网格可以“跟着材料走一部分”,同时又能做平滑/重分布,缓解畸变,适合大变形且边界变化不太极端的场景。
- CEL(耦合欧拉-拉格朗日)
- 材料在欧拉网格里“流动”,网格畸变问题大幅减轻,适合极端变形、冲击、挤压、材料流动这类问题,但材料界面追踪、历史变量携带更复杂。
- 重划分 Remeshing + 状态变量映射(最通用)
- 当网格畸变到阈值,换一张“干净网格”,把旧网格的历史状态(取向、硬化、位错密度等)映射到新网格继续算——这是很多晶体塑性/微观模拟里最常用的工程化路线。
- 在这个IJP文章里面:Sedighiani(IJ Plasticity 2021)的做法很直接:1,对新网格每个积分点,在旧网格里按欧氏距离找最近邻点,建立对应关系;2,然后把需要继承的变量从旧点“搬到”新点;同时对与形变/取向强耦合的量做一致性处理(比如通过处理 FFF、FpF_pFp、取向矩阵来保证重启后不引入不合理的应力突跳)。相关做法完美的集中到damask3.0版本里面,然而需要指出的是:DAMASK/谱方法更偏向规则网格与RVE范式,而工程里经常需要:任意几何与复杂边界(非周期、接触、局部细化等),以及不同工艺路径(多道次、换向、局部约束),Abaqus CPFEM(UMAT/VUMAT)在这些方面更“通用”,所以把“remesh + 状态变量映射”做成一套工作流,就能把大变形晶体塑性更稳地推进到更高压缩/更大应变阶段。
- 因此结合作者提供的思路,尝试把相关方法迁移到abaqus,并初步实现了理想的效果。
这里展示模拟的案例的效果,初始模型尺寸0.1*0.03mm的二维模型,并沿着RD方向压缩40%.vs.20%(remesh)+20%使用简单的唯象模型测试
初始模型如下图所示:
压缩20%后应力分布如下:
累计剪切滑移如下:
晶粒旋转角度:
在20%变形后进入网格重划分,重划分后的变量传递:
累计剪切滑移分布如下:
晶粒旋转角度如下图:
可以看到所有相关变量良好的映射到规则网格上面。
接下来对比单次压缩40%(左侧)和20%remesh(右侧)之后再压缩20%的结果对比:
应力分布结果:
累计剪切滑移分布:
晶粒旋转角度分布:
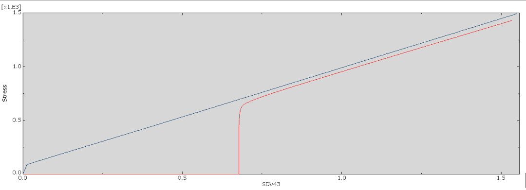
累计剪切滑移------应力曲线分布
重划分后应力略低于不划分单次压缩的结果,其余结果网格重划分和原始模型基本一致,验证了作者提出方案的准确性。做成型和大变形相关内同可以参考文章进行对应的尝试
技术邻APP
工程师必备
工程师必备
- 项目客服
- 培训客服
- 平台客服
TOP
2




















