Lumerical案例 | 一种超高效率集成等离子体铌酸锂电光马赫-曾德尔调制器
2026年1月20日 11:15摘要
具有高调制效率和宽带宽的电光(EO)马赫-曾德尔调制器(MZM)对大容量光通信系统至关重要。迄今为止,薄膜铌酸锂(TFLN)MZM因其卓越的电光带宽和紧凑性而成为极具前景的解决方案。然而,受限于电场与光场的限制效率不足而导致的低调制效率,集成TFLN MZM的长度仍然长达数毫米至数厘米。这一缺陷既阻碍了其在并行或复用领域的大规模集成,也妨碍了其与紧凑电子元件进行经济且高效地集成。
本研究通过将亚波长等离子体槽波导与TFLN平台融合,突破光学衍射极限形成强场限制,从而增强电光重叠和光—物质相互作用,成功攻克了该难题。在仅15微米的超短长度下,实现了0.070 V cm的创纪录调制效率。该等离子体TFLN MZM展现出超过110 GHz的3dB电光带宽,可传输110 Gbaud二进制相移键控信号,其比特误码率低至2.5×10⁻⁵。本文展示的等离子体TFLN MZM提供了一种极具前景的解决方案,可应用于未来光互连、光计算及光传感功能所需的超高速、大规模光子集成系统。
1.引言
电光调制器是光电信息系统中的关键组件之一,用于将电信号编码到光载波上。在众多结构中,马赫-曾德尔调制器(MZM)凭借其在推挽结构中实现线性振幅调制与无频移数据编码的卓越能力,已成为光通信、模拟光子学及光子计算领域广泛应用的核心器件。
过去数十年间,随着制造技术与应用场景的快速发展,MZM已在多种材料平台上实现。体铌酸锂(LN)MZM作为商用长途光纤通信系统中电光调制器的主流选择,其优势源于Pockels效应赋予的固有线性电光特性、高光学透过率及长期可靠性。然而体材料的固有特性限制了器件尺寸微型化,进而阻碍电光带宽提升。通过先进微/纳米制造技术已实现集成调制器,例如基于硅的MZM可提供高集成密度且兼容成熟CMOS工艺,而基于III-V族材料的MZM虽因高载流子迁移率支持宽电光带宽,却存在温度敏感性高的问题。
然而,这些紧凑型集成调制器面临共同的根本性挑战:其固有线性电光调制响应不足——源于Free-carrier色散或Franz-Keldysh效应、quantum-confined Stark效应、Pockels effect效应的综合影响——实现超过100GHz的模拟调制带宽始终是长期未解难题,直至近期才通过slow-light效应、time-frequency均衡以及光波导与电极的协同优化等手段获得零星报道。
近年来,薄膜铌酸锂(TFLN)作为突破现有性能瓶颈的潜力平台崭露头角,它能够同时兼顾块体铌酸锂(LN)卓越的电光特性与可扩展的光子集成技术。TFLN MZM器件性能持续突破:实测3dB电光带宽突破170GHz,线性度显著提升,无杂散动态范围达120.04 dB Hz⁴/⁵,近期更实现8英寸晶圆级制造,为高速光通信与微型化毫米波雷达系统的大规模应用铺平道路。
然而,由于调制效率Vπ∙L约为2Vcm,传统的TFLN MZM通常具有毫米至厘米级的物理长度。这种尺寸限制严重阻碍了其在大规模高密度光子集成中的应用,也妨碍了与微尺度电子元件及其他组件在新兴共封装光学系统中进行经济地共集成——该领域严苛的尺寸要求迫切需要超紧凑型高速TFLN调制器。
为提升调制效率,研究者已开展多项重要工作:通过包层材料工程增强电场,或利用光学谐振结构强化光-物质相互作用。但性能提升与体积缩减仅实现数倍增长,最高调制效率达0.21伏0.21Vcm,器件长度为360µm。长程表面等离激元技术有望在LN基板和金属带线的材料界面处实现电场与光场的强限制。初步研究显示其调制效率达0.23Vcm,电光调制带宽受限于固有阻抗失配为3GHz。迄今,在TFLN MZMs中同时实现超紧凑占用面积、高调制效率与大电光带宽仍难以实现。相比之下,采用金属-绝缘体-金属结构的等离子体槽波导(PSW)不仅能实现优异的电场——光场限制与重叠,其带宽更可延伸至太赫兹频段。然而,如何构建兼具高效率与宽带宽的PSW TFLN MZM仍属未开发领域。
在本研究中,我们通过利用具有强电场与光场限制特性(低于光学衍射极限)的PSW,实验性地演示了等离子体TFLN强度调制器。我们实现了创纪录的0.070Vcm调制效率——较传统介质波导TFLN调制器降低两个数量级,并在仅15微米的超短长度下实现了超过110GHz的电光带宽。基于该新型等离激元槽式TFLN调制器,我们成功实现110Gbaud BPSK信号传输,其比特误码率(BER)达2.5×10⁻⁵,能耗仅为0.82pJ·bit⁻¹。该等离激元MZM首次将LN固有的大、快速Pockels EO系数与纳米尺度PSW中前所未有的增强光-物质相互作用相结合。此类新型器件及其卓越性能,非常适合用于未来高速、高密度光子集成系统,可应用于光计算、光通信或光传感功能。
2.结果
2.1器件设计与制备
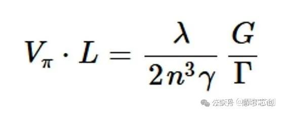
所提出的等离子体TFLN调制器由两个PSW-LN移相器构成,其采用马赫-曾德尔干涉布局嵌套排列(图1a)。我们采用推挽驱动方案,向两个移相器臂施加等幅反相射频信号,从而有效抑制电光调制中的chirp效应,实现比单移相器高两倍的调制效率。该PSW利用Au-LN界面间的表面等离激元,实现电场与光场的强限制与重叠,从而显著提升调制效率,其增强效果可通过公式量化描述。

其中λ为光学波长,n为LN折射率,𝛾为电光系数,G为电极间隙宽度,Γ表示等离子体-LN槽中电场(射频)与光场的电光重叠因子(Γ的详细计算见实验部分)。我们优化了结构参数,包括150纳米厚的金层( )、180纳米宽的PSW上间隙( )以及70度的侧壁倾斜角(见图1a插图)。射频场(图1b)和光场(图1c)均在亚波长plasmonic-LN槽中受到强限制。这些限制和重叠导致EO重叠因子Γ为0.91,与传统的TFLN MZM相比提高了2倍。同样重要的是,PSW的金属结构同时充当集总电极。得益于强烈的场限制效应,电极间隙宽度G可缩小至180纳米,约为传统TFLN MZMs的20分之一。参考公式(1),这种增强的场相互作用(Γ)以及与纳米级电极间隙(G)相对应的大电场强度显著提高了调制效率,并使MZM在器件紧凑性方面超越了以往的工作。
图 1 a) 等离子体 TFLN MZM 的示意图。插图:无金属沉积的槽波导的彩色 SEM 截面图像。b) 相移器两臂上的电场 E RF 。c) 相移器两臂上的光场 E opt 。d) PSW MZM 的简化制造过程。EBE:电子束蒸发,EBL:电子束光刻,ICP:感应耦合等离子体。彩色 SEM 图像显示等离子体 e) TFLN MZM,f) 相移器,以及 g
为验证该方案,我们自主制备了等离子体TFLN MZM(图1d)。在180纳米宽的等离子体槽上方进行传统单步剥离工艺时,会导致金属同时沉积在窄光刻胶的两侧壁上,在剥离过程中无法完全去除。相比之下,我们采用两步剥离工艺,分别定义每个电极,在每次金属化步骤中保持电极尺寸的剥离区域,从而能够可靠地制造具有高结构保真度的纳米间隙等离子体电极(详见方法部分的详细制造工艺)。图1e展示了所制备MZM的扫描电子显微镜(SEM)图像。器件采用多模干涉(MMI)实现光束合分,并通过不对称马赫-曾德尔干涉仪构建推挽结构,两臂路径差达100微米,从而获得10.4纳米的自由光谱范围(FSR)。
在实验中,我们将激光器波长对准正交偏置点,以确保线性和高效率的EO调制。与此同时,我们采用地-信号-地(GSG)集总电极布局以实现宽带电响应。移相器的长度仅为15微米(图1f),较传统TFLN MZM缩小两个数量级。通过光子/等离子体模式转换器将LN波导的光学模式转换为相移器的PSW模式(图1g)。此外,PSW中紧凑的Au电极天然具有低RC常数特性,可支持太赫兹带宽的电光调制。因此,经PSW增强的TFLN MZM有望实现超高效率、超紧凑尺寸及超宽带宽。
我们优化了PSW TFLN MZM的设计,包括PSW的横截面尺寸(图2a)、光子/等离子体模式转换器(图2b)以及MMI(图2c)。图2a展示了PSW的横截面尺寸,其上层间隙宽度为180纳米,金层厚度为150纳米。调制效率与插入损耗之间存在权衡关系。我们通过有限元法模拟了调制效率与插入损耗的变化,并采用这两项指标的乘积来评估Vπ效应及其相关损耗的综合影响。如图2d所示,为了实现高效的模式转换,槽高度被选择为150nm,这也被用于光栅耦合器(GC)、LN脊波导、MMI和PSW的相同刻蚀深度,以简化制造工艺。至于槽宽,该品质因数随着槽宽的减小而降低,因为当槽宽减小时,调制效率值(Vπ∙L)的下降速度快于损耗的增加速度。这表明减小槽宽是提高损耗和调制效率性能的一种可行方法。然而,更窄的槽宽会增加槽的电容,从而限制调制器的带宽。然而,更窄的槽宽会增加槽孔引起的电容效应,从而限制调制器带宽。
此外,在制造中实现小槽宽器件相当具有挑战性,因为它需要高精度的光刻、蚀刻和定位。考虑到这些因素,我们制备了一个能够兼顾调制效率、带宽与制造可行性的槽宽结构。最终制备的PSW具有180nm的Wgap,模拟调制效率为0.075Vcm,模拟损耗为0.56dBµm−1。我们使用时域有限差分法(FDTD)优化了模式转换器和MMI结构(图2b,c)。模式转换器在z方向上的电场分量Ez如图2e所示,展示了从波导模式到等离子体模式的有效耦合。当LN锥形长为490nm、Au锥形长为980nm时,单个模式转换器在1550nm波长下实现6.4dB插入损耗。因此,有效电极Pad长度约为17µm。图2f展示了MMI结构的相应电场传输分布。该结构尺寸为6.9×28µm,在1550nm波长下模拟插入损耗为0.2dB,实现了高效的50:50分路/合束。图2g展示了波长1520nm至1580nm范围内模式转换器与MMI的模拟损耗曲线。
基于上述设计方案,我们成功制备了MZM并测量其传输特性。图2h展示了MZM的实验传输特性(扣除光栅耦合器损耗),其消光比超过15dB,总插入损耗为24.5dB。在理想模拟条件下,移相器贡献约8.4dB插入损耗,两个模式转换器贡献12.8dB,两个MMI贡献0.4dB,总损耗为21.6dB。这意味着制备过程导致了额外2.9dB的损耗。此外,在1520nm至1580nm的宽波长范围内,测量响应保持均匀,彰显了该器件的宽带光学工作能力。未来改进措施(如引入高耦合效率边缘耦合器和模式转换器)将进一步降低PSW TFLNMZM的整体插入损耗。
图 2 a) PSW横截面尺寸示意图,b) 模式转换器示意图,c) MMI示意图。d) 调制效率与损耗的乘积与横截面尺寸的关系。e) 模式转换器的模拟Ez分量。f) MMI的模拟E分量。g) 模式转换器与MMI的模拟插入损耗。h) 测得的所提MZM传输光谱(已扣除GCs插入损耗4.9 dB/端面)。
2.2器件电光特性
图3a展示了用于测量调制效率和电光带宽的实验装置,分别采用峰值与边带功率比法和矢量网络分析仪(VNA)的 曲线测量法(详见实验部分)。首先,通过110GHz矢量网络分析仪(Keysight PNA N5227B配合N5293AX03扩频器)进行 曲线测量,直接测量电光带宽。其频率响应在10MHz至110GHz范围内衰减小于3dB,展现出卓越的高速性能(图3b)。该宽带特性主要归功于超紧凑PSW结构的低电容与低电感特性,以及LN Pockels效应的瞬态响应(详见实验部分)。
随后为了分析调制信号的光谱特性,我们采用光谱分析仪(OSA)进行测量,其结果与S21曲线吻合(图3b)。但频率受限于矢量网络分析仪的带宽。我们将激光器波长设置在正交点,并选择矢量网络分析仪生成的15至35GHz范围内的多个射频频率来获得调制效率。参考载波与第一阶边带的光谱(图3c),通过贝塞尔函数计算得出15至35GHz频率范围内的调制效率为0.070∼0.083Vcm(详见实验部分),该值与模拟结果高度吻合。实验室测量在20GHz处出现的突然下降源于VNA输出功率的急剧下降(详见实验部分)。通过结合电光S21参数与绝对射频调制效率,计算得出10MHz时低频调制效率为0.061Vcm。这些实验结果表明,PSW TFLN MZM在实现高效率、大带宽、高密度集成光子系统方面具有广阔前景。
图 3 a) 调制效率与频率响应测量实验装置。TLS:可调谐激光源,EDFA:掺铒光纤放大器,PC:偏振控制器,OSA:光谱分析仪,PD:光探测器,VNA:矢量网络分析仪。b) 通过VNA和OSA测量射频频率下的频率响应特性。c) 直接从OSA获取的射频信号对应的光谱图。
为展示其在高速光通信方面的潜力,我们利用实验装置(图4a)验证了MZM的高速数据传输性能。数据传输实验采用由70GHz任意波形发生器(AWG,Keysight M8199A)生成的BPSK信号,数据速率高达110Gbaud,输入波长调谐至MZM的零点(参见实验部分)。图4b–g分别展示了由光调制分析仪(OMA,Keysight N4391B)接收的60–110Gbaud BPSK信号的眼图和误码率(BER),以及由59GHz实时示波器(Keysight UXR0594A)捕获的眼图和BER。如图4h所示,所有测试数据速率下的BER均远低于2×10−4的5.8%KP4前向纠错(FEC)阈值。
值得注意的是,在110Gbaud时测得的BER为2.5×10 ,表明其在高速数据传输方面表现出色。此外,通过将测量的 曲线与带宽测试期间加载的微波功率进行拟合,计算得出MZM的能量消耗为0.82pJ bit (参见实验部分中的详细计算)。值得注意的是,大面积接触电极Pad将电容增加到29fF,导致PSW MZM的带宽和能量效率受限。仿真结果表明,将电极Pad尺寸减小到17×1.5µm的面积,可将电容进一步降低到11fF,并将带宽扩展到≈300GHz,同时将能量消耗减少到0.31pJ bit 。这些结果验证了TFLN与PSW结构的结合对于高容量、低能耗的光通信系统具有巨大的潜力。
图 4 a) MZM数据传输实验装置。OMA:光调制分析仪,ATT:衰减器,AWG:任意波形发生器,EA:电放大器。b) 60、c) 70、d) 80、e) 90、f) 100、g) 110 Gbaud BPSK信号的测量眼图与误码率。h) BPSK信号误码率随数据速率变化的曲线。所有BPSK信号测量结果均远低于5.8% KP4前向纠错阈值。
3.讨论与结论
在本研究中,我们首次将PSW结构引入TFLN平台,显著提升了TFLN MZM的调制效率至0.070Vcm,实现了15微米长的调制区域和超过110GHz的3dB带宽。如表1所示,相较于现有最先进的TFLN MZM,本设计大幅缩小了调制区域尺寸,为更高密度的大规模光子集成奠定了坚实基础。
同时,不同于工作带宽受谐振波长限制的谐振辅助或慢光结构,本PSW MZM支持更宽的光学带宽,展现出卓越的效率与高速性能。尽管受测试设备限制,我们已验证调制器带宽可突破110GHz,通过优化电学结构可进一步提升性能以探索太赫兹带宽工作。尽管当前相位调制器表现出相对较高的插入损耗和47V的Vπ值,后续研究可聚焦于制备工艺优化:提升液氮的刻蚀质量、最小化金属接触侧壁粗糙度、缩小间隙宽度,并采用银等低损耗等离子体金属材料。
由于在电信波段具有更低的固有吸收特性,银相较于金可将传播损耗从0.56dB/μm降至0.14dB/μm。此外,光刻分辨率与对准精度目前限制着电极间隙尺寸,进而制约了可实现的电场强度。若将槽宽缩减至50或100纳米,相移器的Vπ损耗积可分别降低至当前器件值的50%或75%。结合两种方法,损耗-效率乘积可降至≈50dB·V,对应插入损耗5dB且Vπ值<10V,已接近实际应用的电压要求。未来工作将探索其他可行方案,包括几何结构与材料工程优化。

综上所述,我们基于TFLN平台实现了PSW MZM调制器,该器件在高密度光子集成领域展现出显著优势,可同时实现高调制效率、宽带宽与紧凑尺寸。该调制器有望突破传统TFLN介质波导调制器毫米/厘米级尺寸限制——此类器件至今仍占据光子集成电路芯片的大部分空间。
本研究将TFLN调制器尺寸大幅缩减至可与紧凑型电子器件匹配的水平,从而从根本上实现了光子学与电子学的经济化大规模协同集成。除尺寸微型化优势外,该调制器在保持足够宽带宽的同时实现了迄今最高的调制效率,完全能够满足高速通信系统及微波/太赫兹光子学领域高性能器件的需求。该等离子体-TFLN技术兼容更先进的IQ调制方案,可用于相干光通信系统中的先进调制格式信号传输;同时适用于多维复用器件,能充分发挥紧凑布局优势,构建高容量、高密度集成光信号生成与处理系统。
Ansys Lumerical软件试用申请,欢迎联系深圳市摩尔芯创。
参考文献
1.J. Zhao, Y. Wang, X. Gao, et al. “ An Ultra-Efficient Integrated Plasmonic Lithium Niobate Electro-Optic Mach-Zehnder Modulator.” Laser Photonics Rev (2025): e01067. https://doi.org/10.1002/lpor.20
工程师必备
- 项目客服
- 培训客服
- 平台客服
TOP




















