非线性-弧长法-源代码
浏览:2210 评论:1 收藏:2
非线性-弧长法-源代码
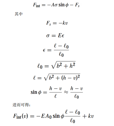
在之前的帖子《非线性行为初识》中,我们通过简单的弹簧杆件结构介绍了非线性问题,牛顿代法和弧长法。回顾一下该问题:如图所示,中间节点作用一个F的力,会产生一个位移v,

由静力平衡关系可得到

对于弧长法,我们已经介绍过其原理和迭代格式,下面为其具体的算法流程。


采取弧长法求解上面的问题,取如下约束方程:
![]()
该函数为一个圆,这更清晰的说明了弧长法的含义,下图为k=0时的载荷位移曲线,除了极值点处有一些不足(代码未加弧长控制),弧长法得到了完整地载荷位移曲线。

python版源代码如下,欢迎讨论
以下内容为付费内容,请购买后观看
41人购买
技术邻APP
工程师必备
工程师必备
- 项目客服
- 培训客服
- 平台客服
TOP
21
1
2




















