从法规、理论公式到FEA探究薄板的纵向屈曲
2021年3月15日 17:13浏览:2009 评论:3 收藏:4
在一些船舶,例如客船和客滚船的结构设计中,经常接触到比较“薄”的板。而目前规范对于板的屈曲校核普遍采用较为“统一”的方法,并未对“薄板”与“厚板”做区分。那对于“薄板”,我们现有的规范适用吗?笔者最近读到一本书《Trends in Analysis and Design of Marine Structures》,书中文章结合试验,研究了薄板的屈曲性能,很有意思。结合自己对屈曲、薄板屈曲的理解和大家一起对这个问题做一次讨论。
提出问题
1) 多厚是“厚”,多薄是“薄”?
2) 书本如何推导板格的纵向屈曲?
-
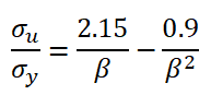
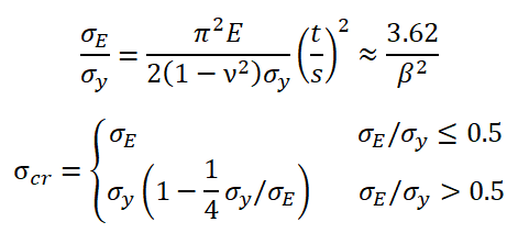
3) 规范是如何规定板的屈曲能力的?
(1)板在中面受压时,除了在受压方向上的中面“压缩”这个“解”之外,(数学上)在一定条件下还能“触发”面外方向上的“解”,即板“拱”或“凹凸”起来。
(2)这个条件由压载荷的值达到一定大小后“触发”。压杆表达为欧拉力公式,板表达为欧拉应力公式,弹性范围内是仅和几何和材料弹性模量、泊松比有关的值。
(3)与中面压缩这个解不同,面外方向上的“解”一旦触发,板格即失去稳定性。这个可以从两方面理解,首先在数学求解上得到的只是板面外变形的“形式”,对其具体“幅值”,求解过程并无直接“限制”(可以通过引入能量法来做一定约束);从刚度上理解,板一旦出现较大的面外变形,其面内的“轴向刚度”会失去作用,而换由板的“弯曲刚度”来抵抗面内载荷,而弯曲刚度是比轴向刚度要小得多。
(4)书本上这部分内容是从数学推导出发的,理论上适用性很广,并无“厚”和“薄”的区别。
讨论问题
从公式出发
从有限元出发
Imperfection Model 2
Model 1的结果
Model 2的结果
Model 3的结果
综合讨论(梁理论登场)
小结
技术邻APP
工程师必备
工程师必备
- 项目客服
- 培训客服
- 平台客服
TOP
8
3
4




















