力士乐讲座:比例/伺服技术液压阀之应用(转自液压传动与控制)
2021年3月19日 00:15
按照液压系统的控制方式分,液压控制系统可以分为阀控系统(节流控制方式)和泵控系统(容积控制方式)。其中阀控系统凭借响应快、精度高、控制方式灵活多变等特点,在诸多高性能的工业液压系统中得以广泛的使用。博世力士乐公司在液压比例阀、伺服阀领域一直处于行业领先的地位,总共拥有3大类、6子类共计50多种不同的比例/伺服阀。在实际使用过程中,面对如此多的选择可能觉得无从下手。本文章将通过一个个实际案例,逐步解释如何正确的选择/使用博世力士乐公司的比例/伺服阀。
液压系统拥有三大参数: 位置、压力和流量。为了选择合适的比例/伺服阀,需要首先明确控制对象及方式。通俗点讲,只有目标明确了,才能开始制定行动方案。
看起来还挺容易的,对吧?不过,现实工作中液压系统的设计必须工艺条件、机械结构紧密配合,在某些情况下,由于对工艺理解不深、机械结构设计有误,可能在位置控制或速度控制、压力限制或压力控制等相关概念上混淆,容易从一开始就制定了错误的控制策略。
不好理解?打个比方,客户采用的p/Q控制方式类似于让驾驶着的汽车停车,但不使用刹车,仅控制油门,通过慢慢减小油门来减小速度,最后通过摩擦力完成车辆的停止。系统自然只能通过降低速度来保证定位精度。
比例/伺服技术液压阀之应用浅析——选择合适流量规格的阀 之一
比例/伺服阀为代表的液压阀是液压系统的神经元,对于执行器的精确控制(如位置、力、速度等)不可或缺。深入了解这类产品的结构和性能特点,有助于控制系统的设计和优化,可使液压驱动系统更节能、更精确、更经济。
在上面,通过两个案例的具体分析,同您分享了在选择合适的比例/伺服阀之前,需要首先明确选择哪种控制方式:
位置控制
流量控制
压力控制
位置控制(位置闭环控制)是其中应用最广泛、最能体现典型/标准选型规范的。因此本篇中,将分享控制策略确定为位置控制以后,选择合适的比例/伺服阀的第一步:确定液压阀通径大小及对应的规格。
博世力士乐公司提供了市场上最为丰富的比例伺服阀产品线,最大流量范围覆盖4L/min ~ 50,000 L/min。
同开关阀不同,由于比例/伺服阀芯节流边的设计,对于在同一输入信号时,同一规格、同一型号的液压阀在相同压差时有不同的流量选项。从另一方面讲,在同一输入信号下,不同规格的、不同型号的液压阀在相同压差下也会有相同的流量。
这对流量选型带来困难。一般而言,流量选型有几个原则供参考:
已知通过流量,
计算压差,确定阀芯规格
液压阀两侧压差不是人为决定的,而是由通过阀的流量大小和阀的通流能力共同决定。
由
得出
∆P1= (PP *A1- ∆F)/ (A1+A2/ φ2) = (210*20-3600)/ (20+10/φ2) =27 bar,如果选择2:1面积比阀芯的话,∆P2=27 bar。则加在液压阀上的总压差为54 bar。再结合液压阀压差流量特性,可见NG16规格太小。
NG16通径中的180流量的压差流量特性
NG25通径中的220流量和325流量阀芯适合这个工况。选用220流量阀芯时,阀芯开口为92%,选择325流量阀芯时,阀芯开口78%。
NG25通径中的220流量和325流量的压差流量特性
提高阀芯位移的分辨率
阀芯规格选小不选大
如果两种不同公称流量的阀芯都能满足,通常选择流量小一些的阀芯。如上面两种阀芯220 L/min和350 L/min, 第一种阀芯开口92%可以满足设计要求,剩余8%阀芯位移无用。第二种阀芯阀芯开度78%,剩余22%阀芯位移无用。220 L/min阀芯对输入信号的分辨率更高。
提高工作效率
同一通径的阀芯流量规格选大不选小
流量大的阀芯在同样流量下压力损失小,能量损失低,液压系统的工作效率更高。
提高阀芯响应时间
液压阀通径选小不选大
同一类型液压阀,小通径液压阀响应比大通径要快,在很多应用中,使用两个小通径液压阀代替大通径。比如在冶金 AGC 应用中,使用两个 NG16 伺服阀来代替 NG25 液压阀。下图中也是使用两个 NG6 液压阀做先导阀来代替 NG10 先导阀,以提高动态特性。
综上,液压阀规格和流量的选择需要根据实际情况计算确定。
不好理解?举个例子,装修砸墙时,大面积砸墙肯定用大锤。一砸一大片,能提高效率。但是到最后扣缝呢?自然是需要小锤,再上大锤容易把墙面破坏。这最后定位过程中,就如同是砸墙的扣缝,流量过大就容易出现过冲,导致油缸来回振荡 。
液压系统的固有频率设计对系统稳定性和动态性能非常重要,液压阀是闭环位置控制系统核心元件,液压阀的选型对系统的性价比尤为关键。
位置闭环控制中执行器的运动速度、加 / 减速度、位置控制精度等通常是关键的性能指标。为了实现这些性能指标,液压系统的动态特性尤其是频率响应特性非常关键,它能影响系统的稳定性,决定系统的最大加速度。频率是所有系统的固有属性。
动态响应特性决定系统的稳定性和最大加速度
固有频率及液压阀
系统的响应频率一般理解为固有频率,是所有系统的固有属性。频率可以通过理论计算得出,也可以通过测试得出。
双出杆液压缸液压系统固有频率计算公式
系统固有频率测试示意
闭环系统动态性能由性能最低的元件决定。由于液压阀频率通常相对较高,执行器(液压马达或液压缸) 的尺寸和驱动部分的质量是决定系统频率的关键环节。在执行器和驱动负载确定后,尽可能缩短液压阀和执行器之间的管路(例如将比例阀装在执行器之上)也可以进一步提高系统的频率响应。
根据系统的动态响应,选用比例阀的一般原则如下:
除此之外,针对不同的应用要求,某些特定情况下也可以选用频率响应较低的比例阀。比如,若只关心油缸最终定位时位置控制的精度,而不关心油缸在运动过程中任意时间点的位置精度,则可使用博世力士乐控制器中的PDB功能( Position Dependent Braking ),即运动时为开环控制,达到目标位置附近进入刹车阶段时切换成闭环控制,可使用频率响应较低的比例阀实现较高的精度要求。
PDB控制功能示意
应用案例
吹瓶机要求:模具及架重1吨,行程750 mm,位置使用机械定位,0.9 s完成一次移模。
液压缸的规格是63 mm / 45 mm – 800 mm,阀直接安装在液压缸上,使用4WRKE16比例阀及 PDB 控制技术,最后可少于0.9 s 完成,位置控制精度可以达到0.1 mm, 满足了设计要求,降低系统成本。
阀芯是比例伺服阀的重要元件,阀体借助阀芯的移动,可以对压力,流量和方向进行控制。不同的阀芯类型,可以满足不同的应用场合对控制对象和控制速度的不同需求。
阀芯的遮盖量和流量特性
阀芯和阀体在阀芯移动方向上的完全重叠的最大长度和阀芯行程的比值,定义为阀芯遮盖量,根据遮盖量的正负,阀芯与阀通道窗口的配合方式可分为三种:零遮盖、正遮盖和负遮盖。
阀芯的选取
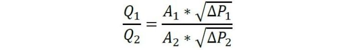
实际应用中,如果油缸面积比都不是1:1,使用通流面积相同的阀芯,就很产生压力过大的情况。例如,当油缸面积比为2:1时,根据流量Q与压差 ∆P和通流面积A的关系:
当Q_2=2Q_1,若通流截面相同A_1=A_2,可得:
也就是说,对于面积比为2:1的油缸,如果通流面积相同,压差增到到原来的4倍。若要防止压力过高,使压差平均,就需要改变通流面积。
因此,除了上面介绍的阀芯之外,根据节流口通流面积的不同,阀芯又可以分为E1、E2、W8、W9、V1等型号。例如E1型阀芯,它具有P -> A = 1 / 1和B -> T = 1 / 2的通流面积比,就可以很好的解决上面的问题。
在前面,简单介绍了如何根据控制对象和控制要求,适当的选择比例方向阀通径、类型和阀芯机能。然而除此之外,在闭环控制过程中,控制器通过调节比例阀的流量大小来最终的位置控制。因此,了解比例阀的流量特性,选择合适的流量特性,有助于满足不同场合下的控制要求。
阀芯的流量特性曲线
阀的流量特性,是指在阀两端压差保持一致的条件下,由阀芯位置变化量所引起的被控液体流量变化的关系。比例阀的流量特性与阀门的尺寸和节流槽的形状有关。常见的流量曲线分为直线型、双折线型和曲线型流量曲线。
下面将以4WRD液压阀为例,讲述三种流量曲线的特点和应用。
特殊阀芯流量曲线
之前在关于阀芯机能的文章中我们提到过,常见的阀芯类型有E型、W型、V型等,但是为了实现一些特殊的功能,力士乐还有一些特殊的阀芯,如Q3/4型阀。Q3/4型阀用来实现对闭环射胶系统的运动控制。下图为Q3/4型阀芯的控制系统图,常见的比例阀有4WRLE和4WRPE两种。
闭环射胶系统控制图
Q3/4型阀芯的流量特性图
从Q3/4型阀芯的流量特性图可以看出,Q3/4型阀的流量为非对称型,完全根据闭环射胶控制的几个工序所设计,正是这种特殊的流量曲线,得以实现只用一个阀就解决注射、保压、松退(背压控制)整个注射部件运动。
完整射胶过程顺序图 注射 - 保压 – 松退(背压控制)
了解了比例阀的各类流量特性之后,客户可以根据自己的控制要求和实际工况,选择可以满足需求的比例阀。
差动回路
W9型阀芯配用单出杆液压缸差动控制回路
管路型号选择
由于管路的选型错误,很多差动回路都无法满足最大速度要求。这是由于很多工程师在选择管路时,是根据泵的流量进行选择的,这就导致选出来的管路型号远远小于实际需要。因此在选择差动回路的管道尺寸时,需要充分考虑流量和压差的变化。
常见的差动阀芯
差动回路分为外通道差动和阀内自带差动。以下为常见的几种差动阀芯。
应用实例
差动控制是液压系统中一种常见的控制回路,本文简单介绍了在差动回路中相关的管路选型和常见阀芯。
案例分析:
通过这个案例,我们将比例方向阀的选取进行了梳理和总结,通过实际应用,使读者对于比例阀的选择和使用,有了更进一步的理解和认识。
工程师必备
- 项目客服
- 培训客服
- 平台客服
TOP




















