车道线检测方法的一些近期论文
2021年4月12日 14:22本文选取了最近发表的车道线检测论文,都是基于深度学习方法,但考虑的角度有所不同:检测、分割和后处理等。
1. “Ultra Fast Structure-aware Deep Lane Detection,arXiv 2004.11757,4,2020
车道线检测任务看成是基于全局图像特征的行选择(row selection)分类问题。其中提出一个structural loss 明确建模结构信息,速度很快,300+ FPS。
代码上线:github.com/cfzd/Ultra-F.
如图显示如何选择行的问题:在每个row anchor水平选择。
设X是全局图像特征,f是分类器选择一行的车道线位置,即车道线预测定义为:
设T是位置的one-hot编码,则分类器的优化形式是:LCE是cross entropy loss
下图显示分割和行选择的区别:这种方法依赖的是整个图像的感受野,远远大于分割网络的有限感受野。
除了分类损失项,还有对location的建模。文中如此定义lane structural loss:它包括相似性和形状(直线)的两个loss函数项
其中
关于lane location
不过argmax操作是不能微分的,故此计算改成计算概率
这样lane location变成可微分的操作
最终的损失函数为:
整个模型架构如图所示:包括feature extractor,classification-based prediction和auxiliary segmentation task(只在训练时,聚合局部特征和全局上下文信息)等,group classification在row anchor执行。
实验结果如下:直观例子
2 “PolyLaneNet: Lane Estimation via Deep Polynomial Regression“,arXiv 2004.10924,4,2020
PolyLaneNet,采用deep polynomial regression,速度达到115FPS。
代码上线:•github.com/lucastabelin
如图是其架构概览:
实验结果比较如下:
该方法的直观结果:
3 “End-to-End Lane Marker Detection via Row-wise Classification“,arXiv 2005.08630,5,2020
传统方法采取pixel prediction加post processing,而该方法是一种端到端的方式做direct lane marker vertex prediction,无需后处理。作者设计一种新的NN层,逐渐压缩水平组件,叫horizontal reduction modules (HRMs)。它实现端到端检测,其中位置基于argmax得到。这个模型叫E2E-LMD,直接预测lane marker vertex。如图是其框架显示:
E2E-LMD的架构图如下:
其加入连续horizontal reduction modules扩展普通的encoder-decoder architectures。第一步:构建编码器-解码器;第二步:逐渐压缩HRM的水平维度,无需改变垂直维度。最后一步:两个分支row-wise vertex location branch和vertex wise confidence branch,分类和置信度回归。
为提高检测性能,采用了Squeeze and Excitation (SE) block,实现注意机制。如图是加入SE前后的检测变化:
实验结果比较如下:
这是基于ERFNet主干网的定性检测结果:
4. “CurveLane-NAS: Unifying Lane-Sensitive Architecture Search and Adaptive Point Blending“, arXiv 2007.12147,7,2020
华为论文,curve lanes检测很难,缺乏建模的长时上下文信息和带细节的弯曲轨迹。提出一个lane-sensitive architecture search framework,CurveLane-NAS,自动获取长时和短时曲线信息。包括三个部分:a) feature fusion search module,对multi-level hierarchy features找到较好的local and global context 融合 ; b) 弹性的backbone search module,开发带语义和潜力的 feature extractor; c) adaptive point blending module,搜一个multi-level post processing renfiement strategy,以此组合multi-scale head prediction。
华为的开源车道线数据集CurveLanes:大约150K images,90% 是弯曲车道线 (大概 135K images),相比来说CULane Dataset (大约2.6K images) 和TuSimple Dataset ( 大约3.9K images),如图是一些比较例子。
之前的PointLaneNet 和Line-CNN这两个方法,还是按照 proposal-based diagram 产生多个point anchor 或者 line proposals。CurveLane-NAS提出一个包括multi-level prediction heads 和 a multi-level feature fusion的搜索空间,包含了long-ranged coherent lane 信息和short-range curve 信息。
如图检测算法比较:(a) dense prediction based (SCNN), (b) proposal based (Line-CNN), (c) CurveLane-NAS。
NAS是网络结构参数的自动调优。先定义搜索空间,然后通过搜索策略找出网络结构,并进行评估,再以此反馈进行下一个迭代的搜索。搜索策略有基于强化学习的方法、基于进化算法的方法和基于梯度的方法等。基于进化算法,CurveLane-NAS设计了一个搜索空间和一个基于样本的多目标搜索算法,来检测曲线车道。
下图是NAS做车道线检测的流水线架构:前面提到的三个模块
如图示意Point Blending Search模块(取代NMS):对每个预测头,预测每格的offsets和相应的scores。每个lane prediction 可以被offset和point anchors位置来恢复。
Adaptive score masking 允许在 multi-level prediction存在多个ROI。point blending 技术可以用准确的局部点取代一些高置信度anchor的预测点。而远端更细的curve shape则用local points修复。
实验结果比较如下:
直观比较图:
5. “Heatmap-based Vanishing Point boosts Lane Detection“,arXiv 2007.15602,7,2020
利用几何结构信息,vanishing point,提出一个多任务融合框架,基于ERFNet,图像分割模型,heatmap regression预测车道线的消失点VP。其示意图如下所示:
实验结果比较如下:
6. “LDNet: End-to-End Lane Detection Approach using a Dynamic Vision Sensor”,arXiv 2009.08020,9, 2020
车道线检测的挑战:光照变化、太阳强光、运动模糊等等。这里采用事件摄像头(event camera)的动态视觉传感器,提出Lane Detection using dynamic vision sensor (LDNet)。
如图看普通摄像头和事件摄像头的区别:
下图是LDNet的架构:
其中采用的空洞SPP:
还有Attention模块结构:
下表给出实验结果比较:
7. “RONELD: Robust Neural Network Output Enhancement for Active Lane Detection“,arXiv 2010.09548, 11, 2020
主动车道(active lane)划定单个道路的空间。检测的挑战来自外界的光照和车道自身单调表观。本文提出的方法实际上是一种增强方法,即real-time robust neural network output enhancement for active lane detection (RONELD)。其利用深度学习模型得到的概率图,包括以下模块:自适应车道点检测、弯曲车道检测、车道重建和跟踪等,如图所示。注:这里采用了两个模型SCNN和ENet-SAD做实验。
这里是一些增强结果的比较:两个数据集测试
8. “Keep your Eyes on the Lane: Real-time Attention-guided Lane Detection“,arXiv 2010.12035,11,2020
LaneATT,和Line-CNN一样的,基于锚点的车道线检测方法,类似YOLO3和SSD。除了局部信息,也强调全局信息,比如遮挡、缺失或者弱显示等情况下的处理。该方法实时性强 (速度250FPS),在三个基准数据集测试过:TuSimple, CULane 和 LLAMAS。
其架构如图:除了锚点的特征池化(类似Fast R-CNN),还有attention机制的采用。
如下是结果比较:
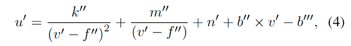
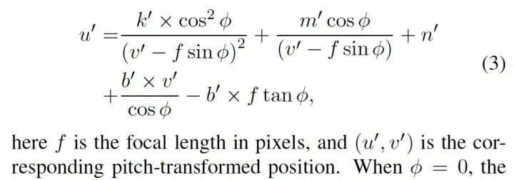
9. “End-to-end Lane Shape Prediction with Transformers“,arXiv 2011.04233, 11,2020
无所不在的Transformers,很善于学习全局上下文,针对车道线这种细长结构,直接估计车道线形状模型,即lane shape model。
代码上线:liuruijin17/LSTR
用cubic curve定义平坦路面的车道线
那么曲线投影到图像平面变成:(假设光轴和路面平行)
如果摄像头斜着不与路面平行,则:
修正的曲线方程变成:
Hungarian fitting loss 在预测参数和真值车道线做bipartite matching,找到positives和negatives,很有效。
如图所示是主干架构:包括一个reduced transformer network, 几个feed-forward networks (FFNs) 做parameter predictions, 和Hungarian Loss。
给定输入图像I, 主干提取low-resolution feature,并扁平成 序列S;S和positional embedding Ep 输入编码器,输出表示序列Se;然后解码器产生输出序列Sd,其中输入查询序列 Sq 和一个学习的positional embedding ELL,然后计算其与Se、Ep的交互,得到特征;最后多个FFNs 直接预测输出参数。
如图是编码器和解码器结构:
实验结果比较如下表:
下图是TuSimple数据集的比较:
下面是在FVL数据集的transfer结果:没有额外训练
10. “End-to-End Deep Learning of Lane Detection and Path Prediction for Real-Time Autonomous Driving”,arXiv 2102.04738,2,2021
提出three-task convolutional neural network (3TCNN),包括一个bounding box的regression分支、一个Hu moments的regression分支和一个classification分支。其中Hu moments回归能做车道线定位和道路引导。另外,本文特别点是一个lateral offset-path prediction (PP)模块,能够预测驾驶道路,包括车道中心线动态估计和道路曲率估计。
如图是其实现在TORCS的结构:
3TCNN的模型架构如下:
实验结果比较3TCNN和2TCNN(没有Hu moments分支)如下:
而3TCNN-PP集成的结果在TORCS的模拟环境测试性能如下:
11 “Robust Lane Detection via Expanded Self Attention“,arXiv 2102.07037,2,2021
本文是采用self attention机制,可用于编码器-解码器结构的NN模型,主要就是提取全局信息,在三个基准数据测试TuSimple、CULane和BDD100K。其利用车道线的简单结构,预测车道线在图像沿着水平和垂直方向的可信度,分为HESA (Horizontal Expanded Self Attention) 和 (Vertical Expanded Self Attention)。该方法类似SAD,但提出了基于confidence的遮挡解决方法。
ESA结构如下:编码器和HESA/VESA
ESA编码器-解码器的NN模型结构如下:
一些实验结果比较如下:三个测试数据集
工程师必备
- 项目客服
- 培训客服
- 平台客服
TOP




















