转子分段移位斜极的永磁同步电机轴向电磁力分析
2021年5月10日 14:04作者:林 浩丨上海大学 机电工程与自动化学院
永磁同步电机具有转矩密度大、调速范围宽、效率高和体积小等优点,在新能源、高端装备与先进制造等新兴产业得到广泛应用。然而,高性能的应用需求对永磁同步电机的品质和可靠性设计提出了更苛刻的要求和挑战,永磁同步电机定子槽口导致气隙磁密分布不均匀,引起齿槽的负面效应。转子分段移位斜极可以有效地抑制齿谐波磁场,降低转矩脉动。但是,转子线性分段移位斜极产生的不平衡轴向电磁力会引起轴向窜动与扭振,轴承使用寿命降低,振动噪声增大。因此,如何设计永磁转子分段移位斜极的拓扑结构、有效抑制轴向电磁力,已成为高品质永磁电机研究的热点问题。
本文以永磁同步电机轴向电磁力的理论为导向,基于三维电磁场的有限元软件分析方法,对一台48槽8极永磁同步电机进行轴向电磁力仿真分析;揭示轴向电磁力产生的主要原因,以及轴向电磁力与永磁转子拓扑结构及其分段数和定子电流幅值的关系;验证V形反对称、交叉反对称永磁转子拓扑结构有效抑制轴向电磁力的机理,为高品质永磁同步电机的优化设计提供了途径。
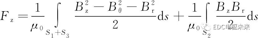
根据麦克斯韦张量法,永磁同步电机磁场产生的轴向电磁力Fz可以表示:
(1)
式中:μ0为真空磁导率;Bz,Bθ和Br分别为转子轴向、切向和径向上的磁密;S1和S3为电机两端面,S2为电机移位面。
由式(1)可知,轴向电磁力主要由端部漏磁引起的轴向电磁力和永磁转子分段移位磁极间气隙面漏磁产生的轴向电磁力两部分组成,当永磁转子分段移位斜极时,引起轴向磁场不对称,产生不平衡轴向电磁力。
为深化轴向电磁力的产生机理分析,对一台样机运行于额定工况时的绕组端部漏磁和永磁转子分段移位磁极间移位面漏磁引起的轴向电磁力进行仿真实验,图1和表1为样机的结构示意图和主要参数,假定水平方向为Z轴方向,坐标原点为电机中心点。
(a) 外形结构
(b) 永磁体拓扑结构
图1 样机结构示意图
表1 样机的主要参数
图2为永磁转子端部轴向电磁力仿真结果,当永磁转子不分段移位斜极时,电机两端绕组端部对应的轴向电磁力幅值相同,方向相反,合成轴向电磁力约为0.25 N,近似为零。当转子分4段移位斜极后,不平衡轴向电磁力约为6.00 N。
(a) 转子不斜极
(b) 转子线性分4段移位斜极
图2 绕组端部轴向电磁力仿真结果
为分析永磁转子分段移位磁极间漏磁幅值对轴向电磁力的影响,以一个轴向分4段的永磁电机样机为例,进行有限元仿真分析。假定第①段与第②段、第③段与第④段的磁极之间无移位,第②段与第③段的磁极之间移位一个3.75°的齿距角,仿真结果如图3所示。
(a) 磁密分布
(b) 轴向电磁力
图3 转子分段移位磁极间的轴向电磁力仿真结果
仿真结果表明,由于①与②、③与④段间磁极之间无移位,磁密相互对称,段间漏磁极少,几乎不产生轴向电磁力;当②与③磁极发生移位后,导致磁极之间产生漏磁,磁密分布不再对称,由此产生不平衡轴向电磁力,其仿真结果为95.78 N。
综上分析,永磁转子线性分段移位斜极产生的轴向电磁力主要由绕组端部漏磁和永磁转子移位磁极间的移位漏磁引起,后者为不平衡轴向电磁力的主要部分。
2.1 定子电流幅值对轴向电磁力的影响
永磁同步电机磁场分别由永磁磁场和电枢反应磁场产生,定子电流幅值变化直接影响合成磁场的大小。本文采用最大转矩/电流的控制方式,仿真分析轴向电磁力随定子电流幅值的变化情况,具体如图4所示。
(a) 轴向电磁力随定子电流幅值变化
(b) 轴向电磁力随转子位置角变化
图4 轴向电磁力随定子电流幅值变化的曲线
图4表明,当定子电流幅值小于600 A时,轴向电磁力与定子电流幅值近似呈正比关系;电流大于600 A后,由于磁路逐渐饱和,轴向电磁力增大速度逐渐减慢。另外,在某一时刻下,轴向电磁力沿转子位置角变化存在波动,波动范围随电流幅值变化不明显。
2.2 转子线性移位斜极分段数对轴向电磁力的影响
由电机学基本原理可知,转子线性移位斜极分段数n越大,齿谐波削弱效果越好,转矩脉动越小。
假定永磁同步电机的极对数和槽数分别为p和Q,转子线性移位分段斜极总移位角α可表示:
(2)
式中:i为齿谐波阶次;LCM表示最小公倍数。
假定总轴向长度不变,以削弱一阶齿谐波为目标,转子线性移位斜极分段数分别为1,2,…,6段,用6种方式进行轴向电磁力仿真分析,图5为分段移位斜极结构示意图,表2为由式(2)计算得到的6种分段方式移位角。
(a) 1段
(b) 2段
(c) 3段
(d) 4段
(e) 5段
(f) 6段
图5 不同移位分段数的转子结构示意图
表2 不同移位分段数的转子移位角
由表2可见,随着分段数的增加,相邻极间移位角逐渐减小,但总移位角增大。
图6为不同分段数的轴向电磁力仿真结果。由图6可见,转子不斜极时,几乎不产生轴向电磁力;随着转子线性移位斜极分段数的增加,轴向电磁力增大,分段数从2段增多到6段时,轴向电磁力从87.11 N增大到122.86 N,增大约40%。这是因为线性移位斜极分段数增加后,总的移位角增大,漏磁增多。
图6 不同分段数的轴向电磁力仿真结果
为分析分段数增加对电磁性能的影响,表3给出了不同分段数的电磁性能仿真结果。随着分段数的增加,转子之间的漏磁增多,磁密减少,转矩略有下降;分段数越多,谐波抑制效果越好,转矩脉动越低。因此,如何同时削弱转矩脉动与轴向电磁力是永磁同步电机设计亟待解决的关键问题。
表3 不同转子分段数的电磁性能仿真结果
注:谐波含量为反电动势基波。
为抑制线性移位斜极产生单向轴向电磁力,分别对相同分段数的线性移位、交叉移位和V形反对称移位3种结构的轴向电磁力进行仿真分析。图7为转子分4段、相邻磁极间的移位角为3.75°的3种拓扑结构示意图。图8和表4为3种拓扑结构的轴向电磁力和电磁性能仿真结果。
(a) 线性移位
(b) 交叉移位
(c) V形反对称移位
图7 相邻移位角为3.75°的3种转子拓扑结构示意图
图8 3种拓扑结构的轴向电磁力仿真结果
表4 3种拓扑结构的轴向电磁力和电磁性能仿真结果
注:谐波含量为反电动势基波。
由图8和表4可见,由于3种拓扑结构本质上等效于转子线性两段移位斜极,谐波削弱效果相同,对电磁性能影响很小。但是,轴向电磁力的幅值差异较大,由式(1)第二项可知,永磁转子移位磁极间的漏磁与Br和Bz有关。V形反对称斜极结构有两个磁极移位面,且反对称分布,Bz幅值相同方向相反,使得磁极移位面上的轴向电磁力相互抵消;交叉移位斜极结构有3个移位面,其结构非反对称分布,仅有部分轴向电磁力相互抵消,合成轴向电磁力比V形反对称斜极结构大;线性移位斜极结构只有一个错位面,只存在单向的轴向电磁力,由此轴向电磁力最大。总之,反对称分布结构可有效抑制轴向电磁力。
为分析不同反对称分布结构对轴向电磁力的抑制效果,以V形反对称和交叉反对称为例进行仿真分析。图9为两种转子分6段反对称分布的拓扑结构示意图,其中,V形反对称结构相邻磁钢移位角分别为2.5°,2.5°,0,-2.5°,-2.5°;交叉反对称结构相邻磁钢移位角分别为2.5°,-5°,0,5°,-2.5°。
(a) V形反对称移位斜极
(b) 交叉反对称移位斜极
图9 两种分6段移位斜极二维拓扑结构图
图10、图11和表5为两种反对称分布结构轴向电磁力和电磁性能仿真结果。
(a) V形反对称移位斜极
(b) 交叉反对称移位斜极
图10 两种转子反对称分布结构轴向电磁力仿真结果
图11 两种转子反对称分布结构的转矩仿真结果
表5 两种转子反对称结构的轴向
电磁力和电磁性能仿真结果
注:谐波含量为反电动势基波。
由此可见,在相同工况下,由于两者在径向上均等效于转子线性分3段斜极,因此各项电磁性能均较为接近。与线性移位结构相比,V形反对称和交叉反对称分布结构的轴向电磁力幅值有明显下降,并且前者抑制效果更佳,其原因是V形反对称移位角均为2.5°,沿轴向均匀排布,后者有两个相邻5°的移位角,形成较大不平衡的漏磁通,难以完全抵消,导致合成轴向电磁力略大。
通过对永磁转子分段移位斜极后的磁场分析可知,永磁同步电机轴向电磁力主要由绕组端部漏磁和永磁转子磁极间的移位漏磁引起;经ANSYS三维电磁有限元仿真实验表明:永磁转子移位磁极段间的移位漏磁是产生不平衡轴向电磁力的主要原因。
揭示了电机轴向力与永磁转子拓扑结构及其移位磁极分块数和定子电流幅值之间的内在关系:随着定子电流幅值的增加,轴向电磁力呈线性增大,当电流幅值较大时,磁路出现饱和,轴向电磁力增大速度减缓;转子线性移位斜极分段数越多、总移位角越大,轴向电磁力亦越大。分段数从2段增多到6段时,轴向电磁力从87.11 N增大到122.86 N,增大约40%。从电磁性能角度分析,分段数的增多,谐波分量减少,漏磁增大,转矩略有下降。
相同移位斜极分段数的不同拓扑结构,其轴向电磁力幅值差异较大,反对称结构的轴向电磁力沿轴向中心面反对称分布,使得移位磁极段间产生的轴向电磁力相互抵消,由此既可以削弱谐波影响,减少漏磁,又能大幅度抑制轴向电磁力,其中V形反对称结构效果最佳。
-----------------------------------------------------------------
【免责声明】版权归原作者所有,仅用于技术分享与交流,非商业用途!对文中观点判断均保持中立,若您认为文中来源标注与事实不符,若有涉及版权等请告知,将及时修订删除,谢谢大家的关注!
工程师必备
- 项目客服
- 培训客服
- 平台客服
TOP




















