北海道大学龚剑萍教授团队:利用微电极技术探究新型“杂化聚电解质”水凝胶中的阳离子-π作用
2021年5月18日 10:37北海道大学龚剑萍教授研究团队利用阳离子-π作用形成的交联型聚(阳离子-π)水凝胶作为模型体系,使用微电极技术(MET)定量研究小分子金属离子和聚阳离子与苯基之间的阳离子-π作用,对金属阳离子在聚(阳离子-π)水凝胶中与相邻聚阳离子的竞争作用机理进行了探讨。他们合成了一系列不同组成成分的聚(阳离子-π)水凝胶P(ATAC-adj-PEA),以及无芳香基团的P(ATAC-adj-MEA)凝胶和P(ATAC)电解质凝胶作为对照样品。尽管成分中含有高达50%的疏水单元,聚(阳离子-π)水凝胶P(ATAC-adj-PEA)在高浓度盐溶液中可以形成物理水凝胶。其原因在于盐屏蔽聚合物链上的远程静电排斥力,而链内和链间之间形成的阳离子-π相互作用可以充当网络结构的交联点。该团队利用MET技术系统测定水凝胶在不同离子强度的NaCl(10-4 - 1.0 M)溶液中的Donnan电势,从而定量计算出水凝胶中抗衡离子(Cl-)的活度系数,以及金属阳离子(Na+)与聚合物网络中苯基残基的结合比。研究发现,金属阳离子与聚合物上苯环官能团的结合能力随着盐浓度的增加而增强。在盐浓度为0.05 M时,Na+/苯基的结合比例达到最大值 ~ 1.5。当进一步增加NaCl浓度时,金属离子与苯基的结合能力开始下降。
阳离子-π作用是一种存在于阳离子和芳香体系之间的一种新型分子间作用。它们广泛存在于生物体系中,在分子识别和黏附、蛋白质和核酸的结构与功能等方面起着十分重要的作用。然而,由于缺少合适的模型体系和实验技术,对溶液环境中的阳离子-π作用的实验研究工作,依旧非常有限。最近,北海道大学龚剑萍教授团队设计了一系列具有阳离子/芳香基相邻结构的新型“杂化聚电解质”共聚物。该共聚物在具有高的离子强度溶液中(如海水)能通过阳离子-π作用可以形成物理交联型聚(阳离子-π)水凝胶。同时,水凝胶网络结构中金属阳离子(如Na+)也会与聚合物上的芳香基形成阳离子-π相互作用,因此体系存在不同阳离子对苯环的竞争作用。研究聚(阳离子-π)水凝胶中金属阳离子和聚阳离子与芳香基之间的竞争作用关系不仅可以帮助我们理解阳离子-π作用在凝胶性能方面的影响,也助于深化人们对一些重要生物过程的理解。
本文亮点
1. 对由多种聚(阳离子-π)组成的水凝胶中,探讨了金属阳离子(Na+)和聚阳离子与苯基之间的阳离子-π作用之间的竞争性作用。
2. 利用微电极技术测定了水凝胶在不同离子强度NaCl溶液中的Donnan电势,定量计算出金属阳离子Na+与聚合物网络中苯基残基的结合比。
Ⅰ. 聚(阳离子-π)水凝胶的离子分布示意及测试原理
图1.方法原理。(a)聚阳离子水凝胶在盐溶液中的离子分布示意图。(b)微电极技术示意图。(c)水凝胶Donnan电势分布。
当聚电解质水凝胶在盐溶液中达到平衡时,可移动的离子在凝胶与溶液界面会形成不均匀的分布,产生的相对电势称为Donnan电势:
式中,a,C和γ分别代表活度,浓度和可移动离子的活度系数,下标g和s相应代表水凝胶和溶液。下标i代表理想体系,z是可移动离子的价位,R是气体常数,T是绝对温度,F是法拉第常数。等式(1)都可以运用到共离子和反离子上。由于电中性,水凝胶中的抗衡离子与聚阳离子和自由共离子处于平衡状态,如下式(2)所示。
在理想体系中,假定离子和聚合物之间没有相互作用,则
由(1)和(2)可得反离子的浓度如式(3)所示:
在聚(阳离子-π)水凝胶中,金属离子会与苯基结合,所以反离子的浓度应该等于聚阳离子浓度,自由金属离子以及与苯基结合的金属离子浓度(Cb+)之和,如式(4)所示:
当忽略负离子和水凝胶的相互作用时,Cg+等于ag-。为此,结合式(1)-(4)可得与苯基结合金属离子的浓度(Cb+),可以计算得到与苯基结合阳离子和苯基的摩尔比。
Ⅱ. 聚(阳离子-π)水凝胶中Na+-π相互作用的表征
图2. (a)本工作中使用的聚合物的化学结构。(b)合成水凝胶Donnan电势的深度剖面分布。(c)水凝胶中Cl-离子的活度系数。(d)在盐溶液中聚合物链周围的离子分布示意图。(e)不同芳香族单体组分的P(ATAC−adj−PEA)水凝胶的Donnan电势深度分布。(f)不同芳香族单体组分的P(ATAC−adj−PEA)水凝胶中Cl-离子的活度系数。
课题团队选择阳离子单体(ATAC)和芳香单体(PEA)进行无规共聚获得聚(阳离子-π)水凝胶P(ATAC-adj-PEA)作为模型体系来研究阳离子-π相互作用。与此同时,合成的聚阳离子水凝胶P(ATAC),以及带有非芳香基团的单体MEA与ATAC无规共聚形成的P(ATAC-adj−MEA)水凝胶被选择作为对照样品进行性能比较。研究发现,与没有芳香残基的水凝胶相比,P(ATAC-adj-PEA)凝胶表现出非常高的Donnan电势。在带有非芳香基团的P(ATAC-adj-MEA)水凝胶中,Cl-的活度系数略小于1,表明聚阳离子和抗衡离子之间存在着较强的吸引力。然而,在P(ATAC-adj-PEA)水凝胶中,Cl-的活度系数可以达到2,这意味着Na+通过阳离子-π相互作用吸附在聚合物链的苯基上,从而稳定了大量的Cl-。为了验证水溶液中聚合物苯基和Na+之间的阳离子-π相互作用,作者利用MET系统测量了含有不同芳香单体组分的P(ATAC-adj-PEA)凝胶的Donnan电势。结果表明,Donnan电势和Cl-的活度系数随着苯基分数的增加增加。这些结果为水溶液中聚合物苯基与Na+离子之间的阳离子-π相互作用提供了直接的实验证据。
图3. (a)水凝胶体积比Q与盐浓度Cs 。(b)水凝胶在不同盐浓度NaCl溶液中的聚合物电荷浓度。
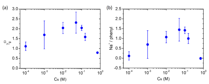
图4.(a) Cl-离子在不同浓度NaCl溶液中的活度系数。(b)水凝胶中Na+与苯基的结合比。
研究发现,当把P(ATAC)聚电解质水凝胶浸泡在不同盐浓度溶液中时,在较低的盐浓度下凝胶收缩较小,而在高浓度下收缩较大,呈现聚电解质水凝胶的典型特征。与此不同的是,P(ATAC-adj-PEA)水凝胶收缩程度与盐浓度呈线性关系,这可能与链间阳离子-π相互作用形成新的交联点有关。此外,通过测量P(ATAC-adj-PEA)在不同浓度的NaCl溶液(Cs)的电势,发现Cl-离子的活度系数随着盐溶液浓度的增加而达到峰值,而当Cs超过0.05 M时,Cl-离子的活度系数开始下降。因为钠离子通过阳离子-π相互作用可以与聚合物链上的苯基结合,从而与苯基邻近的聚阳离子竞争。在低盐浓度下,高分子聚电解效应比较明显,分子链呈现伸展状态而不利于聚阳离子与苯基的作用,而钠离子与苯基的结合能力随着盐溶液浓度的升高而增加,直至最大值。在高盐浓度下,静电屏蔽效应使得高分子收缩而高分子变得柔顺,为此聚阳离子的结合能力随着Cs的增加而增强,其对苯基的亲和力超过了金属阳离子。为此,钠离子与苯基的结合能力随着盐溶液浓度进一步增加而逐渐降低。
该研究成果以Competitive cation−π interactions between small cations and polycations with phenyl groups in poly(cation−π) hydrogels为题于近日在线发表在Giant上。论文第一作者为北海道大学化学反应设计与发现研究所范海龙助理教授,通讯作者为北海道大学先端生命科学研究院,化学反应设计与发现研究所龚剑萍教授。
原文链接:
https://www.sciencedirect.com/science/article/pii/S2666542520300059?via%3Dihub
相关进展
免责声明:部分资料来源于网络,转载的目的在于传递更多信息及分享,并不意味着赞同其观点或证实其真实性,也不构成其他建议。仅提供交流平台,不为其版权负责。如涉及侵权,请联系我们及时修改或删除。邮箱:info@polymer.cn
诚邀投稿
欢迎专家学者提供稿件(论文、项目介绍、新技术、学术交流、单位新闻、参会信息、招聘招生等)至info@polymer.cn,并请注明详细联系信息。高分子科技®会及时推送,并同时发布在中国聚合物网上。
欢迎加入微信群 为满足高分子产学研各界同仁的要求,陆续开通了包括高分子专家学者群在内的几十个专项交流群,也包括高分子产业技术、企业家、博士、研究生、媒体期刊会展协会等群,全覆盖高分子产业或领域。目前汇聚了国内外高校科研院所及企业研发中心的上万名顶尖的专家学者、技术人员及企业家。
申请入群,请先加审核微信号PolymerChina (或长按下方二维码),并请一定注明:高分子+姓名+单位+职称(或学位)+领域(或行业),否则不予受理,资格经过审核后入相关专业群。
点
这里“阅读原文”,查看更多
工程师必备
- 项目客服
- 培训客服
- 平台客服
TOP




















