山东大学郝晓涛教授、殷航教授团队JMCA:在厚膜室内有机光伏电池的研究中取得新进展
2021年5月21日 09:57随着物联网的飞速发展,人们对室内电子设备的需求与日俱增,这也刺激了室内光伏电池作为离网能源的研究。有机光伏电池由于其吸收光谱能够很好地与室内光源的辐射光谱相匹配,因此在室内环境下具有很好的应用前景。然而,在低光强的室内光源下,有机光伏器件的短路电流密度较低,从而制约了器件的光电转换效率。增加活性层厚度可以提高光子的捕获,从而有效地提高器件的电流密度。然而,缺陷态作为引起室内光伏器件中电荷复合的主要因素,极大地限制了厚膜室内光伏器件中的光电流产生和光电转换效率的提高。因此,如何抑制缺陷态的产生是一个亟需解决的问题。
近日,山东大学郝晓涛教授/殷航教授及团队成员与河南师范大学合作发现利用5%的绝缘聚合物聚苯乙烯(PS)稀释全聚合物体系PBDB-T:N2200的方法制备了填充因子超过67%的1微米厚室内有机光伏电池。研究发现,稀释策略减小了厚膜内的缺陷态密度,改善了电荷转移、传输过程,从而极大地提高了一微米厚室内光伏器件的光电流,为实现高效率大厚度室内光伏器件提供了有效可行的途径。
在发光二极管(LED)光源(1200,1000,500 lux)下,随着活性层厚度增加到1微米,电荷复合逐渐加剧了超厚器件中的光电流损失,PBDB-T:N2200二元光伏器件的短路电流和效率因此开始降低。PS稀释策略有效地提高了超厚器件中的短路电流,光伏效率也因此随着厚度的增加而增加(图1)。其中,1微米厚的稀释器件在1200 lux的LED光源照射下得到了67.01%的填充因子和的17.06%的光伏效率。
图1 5% PS稀释前后的有机光伏器件在不同光源和不同厚度下的器件性能,以及在一微米活性层厚度下的外量子效率。
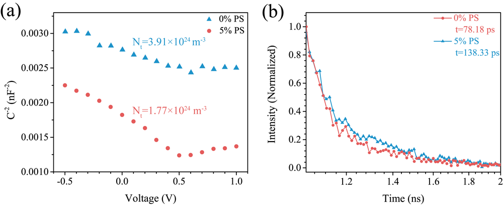
团队结合阻抗谱的测试以及拟合计算,发现5% PS稀释的光伏体系表现出较二元器件更低的缺陷态密度。通过时间分辨荧光光谱技术,发现稀释策略将激子寿命从未稀释情况下的78.18 ps提高到了138.33 ps,相应的1微米厚器件也展现出更高的解离率(79.71%)。该结果表明缺陷态密度的降低会促进体异质结内光生载流子的产生。
图2 5% PS稀释前后有机光伏器件的缺陷态密度及激子寿命测试,其中Nt和t分别表示缺陷态密度和激子寿命。
同时,结合瞬态吸收光谱技术,发现PS的稀释加快了畴内分子间极化子对的拆分,从而提高了空穴转移速率(如图3)。另外,电荷传输方面的研究表明,5% PS的稀释不仅提高了超厚器件中的电荷迁移率,同时抑制了缺陷态主导的电荷复合,使得载流子能够在超厚的活性层中传输更长的距离而不容易发生复合。因此,在5% PS稀释的光伏体系中,电荷转移、传输的加快以及缺陷态复合的降低提高了1微米活性层内光电流密度。该研究证明了稀释策略能够有效地抑制体异质结内的缺陷态,同时为大厚度高效室内光伏电池的制备提供了新颖的角度。
图3 5% PS稀释前后光伏体系的二维瞬态吸收光谱测试,以及在500 nm和640 nm处探测到的动力学曲线。
该研究以One-micron-thick organic indoor light harvesters with low photocurrent loss and fill factors over 67%为题,发表在Journal of Materials Chemistry A上。
论文链接:
https://doi.org/10.1039/D1TA02345D
相关进展
山东大学郝晓涛教授课题组在有机太阳能电池稳定性物理机制研究中取得新进展
华南理工大学黄飞教授和应磊研究员:使用绿色添加剂实现高效厚膜全聚合物太阳电池
中科院化学所侯剑辉研究员团队:能量转换效率超过14%的厚膜有机太阳能电池
高分子科技原创文章。欢迎个人转发和分享,刊物或媒体如需转载,请联系邮箱:info@polymer.cn
诚邀投稿
欢迎专家学者提供稿件(论文、项目介绍、新技术、学术交流、单位新闻、参会信息、招聘招生等)至info@polymer.cn,并请注明详细联系信息。高分子科技®会及时推送,并同时发布在中国聚合物网上。
欢迎加入微信群 为满足高分子产学研各界同仁的要求,陆续开通了包括高分子专家学者群在内的几十个专项交流群,也包括高分子产业技术、企业家、博士、研究生、媒体期刊会展协会等群,全覆盖高分子产业或领域。目前汇聚了国内外高校科研院所及企业研发中心的上万名顶尖的专家学者、技术人员及企业家。
申请入群,请先加审核微信号PolymerChina(或长按下方二维码),并请一定注明:高分子+姓名+单位+职称(或学位)+领域(或行业),否则不予受理,资格经过审核后入相关专业群。
点
这里“阅读原文”,查看更多
工程师必备
- 项目客服
- 培训客服
- 平台客服
TOP




















