管道阻力对扬程的影响及管损计算!
2021年5月27日 14:18点击上面“蓝字”关注我们!
大家都知道,管道是一种固体物,水是容易流动的物质,如果管道内的水是流动的,必定有一部分能量转化为热能而“消灭”,也就是丢失了一部分水压(或称扬程),这是客观事物的反映,是水流运动的必然规律。通常,我们将这种能量转变的现象,称之为能量损失(或称水力损失、损失扬程)。它以米为计算单位。
管道阻力对扬程的影响有多大?
有些用户经过测量,虽然蓄水池或水塔到水源水面的垂直距离还略小于水泵扬程,但还是提水量小或提不上水。其原因常是管道太长、水管弯道多,水流在管道中阻力损失过大。
一般情况下90度弯管比120度弯管阻力大,每一90度弯管扬程损失约0.5-1米,每20米管道的阻力可使扬程损失约1米。此外,有部分用户还随意更改水泵进、出管的管径,这些对扬程也有一定的影响。那,管道阻力对扬程的影响究竟有多大呢?下面,我们来看下方表格。
你是否清楚管道水流产生水力损失的原因?
一、是管壁粗糙的阻滞作用。
二、是水流各流层间的相对运动。
三、是管件内水流局部急剧变化形成的漩涡。管路(网)水力损失由沿程和局部两部分组成。在工程上,我们必须要计算知道它的数量多少,才能正确地选用水泵,确定所需要的水泵扬程。
管路沿程损失是发生在水流的全部流程上的摩擦阻力,它与管壁粗糙度、管长、管径、流速等有关,根据水力学原理,可以建立它的关系式。
沿程损失与管壁粗糙度有关的沿程摩擦系数成正比关系,不同的管材其粗糙度不同,铸铁管比较粗糙,沿程摩擦系数就大些;塑料管比较光滑,沿程摩擦系数就小些。与管子长度成正比关系;与管径成反比关系,就是说,当流量一定时,管径小、流速快,则沿程损失大;还与流速的平方值成正比关系。当然计算比较繁琐,简单的方法可以估算。
管路局部损失是水流在管道中流过底阀、阀门、弯头、异径管等配件过程中,由于局部装置使流型变化;流速方向和大小都改变,而且在流动中出现漩涡,使水流互相碰撞、冲击。这种局部阻力而引起的水力损失叫做局部损失。
局部损失的大小与流过管道配件处的水流速度平方值成正比,同时,也与配件的形状和数量有关。配件断面形状变化大,数量多,则局部损失就愈大。
当管路布置方案确定以后,一般都要经过计算方法求得管路损失扬程,然后确定水泵站的设计扬程,才能进行水泵选型。但是计算程序比较复杂,为了简便起见,计算资料可以编制成表格,以便查表求得。另外,也可以进行粗略估算:损失扬程相当于实际地形扬水高度(测量得知)30%~50%,管径小、管路短取大值;管径大、管路长取小值。
可利用现有软件, 计算出管路沿程损失和管路局部损失, 如义维开发的的选型软件系统, 以方便计算。
液体在直管中流动时的压力损失
液体在直管中流动时的压力损失是由液体流动时的摩擦引起的,称之为沿程压力损失,它主要取决于管路的长度、内径、液体的流速和粘度等。液体的流态不同,沿程压力损失也不同。液体在圆管中层流流动在液压传动中最为常见,因此,在设计液压系统时,常希望管道中的液流保持层流流动的状态。
一、层流
层流时的压力损失
在液压传动中,液体的流动状态多数是层流流动,在这种状态下液体流经直管的压力损失可以通过理论计算求得。
圆管中的层流
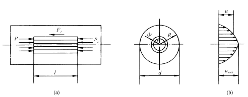
(1)液体在流通截面上的速度分布规律。
如上图所示,液体在直径d的圆管中作层流运动,圆管水平放置,在管内取一段与管轴线重合的小圆柱体,设其半径为r,长度为l。在这一小圆柱体上沿管轴方向的作用力有:左端压力p1,右端压力p2,圆柱面上的摩擦力为Ff。则其受力平衡方程式为:
由式(2-6)可知:
式中:μ为动力粘度。
因为速度增量du与半径增量dr符号相反,则在式中加一负号。
另外,Δp=p1- p2
把Δp、式(2-45)代入式(2-44),则得:
对式积分得:
当r=R时,u=0,代入(2-47)式得:
则
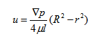
由式可知管内流速u沿半径方向按抛物线规律分布,最大流速在轴线上,其值为:
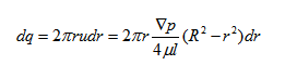
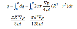
(2) 管路中的流量。
图(b)所示抛物体体积,是液体单位时间内流过通流截面的体积即流量。为计算其体积,可在半径为r处取一层厚度为dr的微小圆环面积,通过此环形面积的流量为:
对式积分,即可得流量q:
(3)平均流速。
设管内平均流速为υ
对比可得平均流速与最大流速的关系:
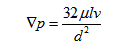
(4)沿程压力损失。
层流状态时,液体流经直管的沿程压力损失可从式求得:
由式可看出,层流状态时,液体流经直管的压力损失与动力粘度、管长、流速成正比,与管径平方成反比。
在实际计算压力损失时,为了简化计算,得μ=υdρ/Re,并把μ=υdρ/Re代入,且分子分母同乘以2g得:
式中:λ为沿程阻力系数。它的理论值为λ=64/Re,而实际由于各种因素的影响,对光滑金属管取λ=75/Re,对橡胶管取λ=80/Re。
紊流时的压力损失层流流动中各质点有沿轴向的规则运动。而无横向运动。
紊流的重要特性之一是液体各质点不再是有规则的轴向运动,而是在运动过程中互相渗混和脉动。这种极不规则的运动,引起质点间的碰撞,并形成旋涡,使紊流能量损失比层流大得多。
由于紊流流动现象的复杂性,完全用理论方法加以研究至今,尚未获得令人满意的成果,故仍用实验的方法加以研究,再辅以理论解释,因而紊流状态下液体流动的压力损失仍用式来计算,式中的λ值不仅与雷诺数Re有关,而且与管壁表面粗糙度有关。
二.局部
局部压力损失
局部压力损失是液体流经阀口、弯管、通流截面变化等所引起的压力损失。液流通过这些地方时,由于液流方向和速度均发生变化,形成旋涡,使液体的质点间相互撞击,从而产生较大的能量损耗。
突然扩大处的局部损失
局部压力损失的计算式可以表达成如下算式:
式中:为局部阻力系数,其值仅在液流流经突然扩大的截面时可以用理论推导方法求得,其他情况均须通过实验来确定;为液体的平均流速,一般情况下指局部阻力下游处的流速。
管路系统的总压力损失等于所有沿程压力损失和所有局部压力损失之和,即:
来源:煤化工知库
本平台转载出于传递方便产业探讨之目的,文章内容仅供参考。如涉及作品版权问题,请及时联系将已删除。转载请注明来源。
往期回顾
识别二维码,关注公众号
工程师必备
- 项目客服
- 培训客服
- 平台客服
TOP




















