复旦大学唐萍课题组近期研究进展:缔合高分子的线性粘弹性--分子理论与模拟
2021年6月1日 10:06缔合高分子是一类含有可逆非共价相互作用的特殊高分子体系,其中的粘性基体或粘性链段(通常称为“sticker”)可以彼此间以氢键、π-π堆积、金属配位等形式发生可逆的缔合反应。这些缔合高分子具有广泛的用途,不仅可以用于实现诸如自愈合、形状记忆等功能材料,也因其独特的流变学性质广泛用于相关领域,如作为流变调节剂使用。因此深刻理解缔合高分子的流变现象具有普遍意义。
目前在不考虑稀溶液条件下的流体力学效应以及高分子缠结效应时,可以通过拓展经典Rouse模型理解缔合高分子的线性粘弹性。基于高分子体系中应力的分子表达形式,他们指出,从分子层面理解缔合高分子体系流变学行为的关键在于如何描述一条缔合高分子单链处于其它高分子链背景下的布朗运动。为此他们提出了粘性Rouse模型(Sticky Rouse Model, SRM),其物理图景如图1(b)所示,即考察具有不同运动能力的链段在一个均质背景中的运动。运动能力的差异用一个表观摩擦系数参数δ表示,直接由缔合强度决定。
图1 描述缔合高分子链布朗运动的两种物理图景
与图1(a)所示的直观物理图景相比,SRM在计算上更为方便,同时又真正将分子层面的结构和运动行为与宏观力学性能联系起来,是一个普遍适用的分子理论模型。他们在SRM的框架下开展了大量的理论计算,其中最关键的是对运动方程进行简正化处理,即求出他们所定义的粘性Rouse-Zimm矩阵的本征值与本征向量。通过计算发现,基于SRM不仅可以得到与实验结果一致的粘弹性函数,并且进一步通过本征值得到了松弛时间谱的完整信息,以及通过本征向量分析出了分子运动模式的变化。这些理论计算的结果为后续的进一步研究提供了关键线索。
为了进一步验证SRM所预测的理论结果,他们开展了分子动力学模拟研究。通过模拟不仅能方便地表征缔合体系中的微观动力学,同时可进一步分析在理论计算中忽略的其他因素。首先考察了模拟体系在不同缔合参数条件下的动力学行为,通过考察缔合弛豫时间τsti随缔合强度与反应物浓度的变化关系,确定了在模拟体系中发生的是活化能固定的二元跃迁反应,因此提高粘性链段浓度会加快缔合反应的速率。此外,这一缔合反应并不会受到体系凝胶化过程的影响,因此是一个完全由反应动力学决定的过程。
为了定量比较模拟与SRM理论预测的结果,他们通过计算本体中缔合高分子链的质心扩散系数,以及用于示踪的均聚物链在缔合基体中的质心扩散系数,得到了相对表观摩擦系数δ的准确数值。通过比较δ和先前得到的缔合弛豫时间τsti,他们发现二者在完全凝胶化的状态下的确可以互相转换,几乎满足一致的参数依赖关系,因此SRM利用表观摩擦效应代替缔合键寿命的基本思路是成立的。
(a)
(b)
图2 线性松弛模量G(t) 的模拟(散点)与SRM理论预测(实线)比较。(a)表示不同粘性链段数目,(b)表示不同缔合强度。
基于这一阶段的结果,他们在不引入任何拟合参数的情况下,通过SRM直接计算出体系的线性粘弹性函数。从图2的比较中可以看到,二者存在定量一致性!
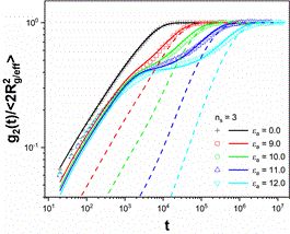
除了宏观层面上的力学松弛行为,他们进一步比较了分子层面上的弛豫过程,即缔合高分子链的构象松弛,并提出了表观质心的概念,以及每个链段相对于表观质心的扩散函数g2(t)。同样,不借助任何拟合参数,直接通过理论计算得到了与模拟定量一致的结果,如3所示。在进一步分析结构缺陷对力学松弛与链段松弛函数的影响时,他们发现引入构象平均并不能显著提高SRM对G(t)的理论预测精度,但对于g2(t)却有十分显著的效应。因此基于SRM可以十分准确地描述出单链的构象松弛过程。
(a)
(b)
图3 链段松弛函数g2(t)的模拟(散点)与SRM理论预测(实线)比较。(a)表示不同粘性链段数目,(b)表示不同缔合强度。
总之,他们基于高分子流变分子模型的理论基础以及对物理图景的转换,提出了具有广泛适用性,同时又易于计算的粘性Rouse模型SRM。通过定量比较理论与模拟结果,进一步证实了:在SRM单链理论框架下,可以实现对缔合高分子在各个分子层面动力学行为的自洽描述,对于进一步深化理解缔合高分子体系的流变现象具有重要意义。
SRM的基本理论框架于2020年发表在Macromolecules上,分子动力学模拟的部分工作近期发表在Journal of Rheology。复旦大学高分子科学系2017级硕士研究生蒋诺斐(现为唐萍课题组科研助理)为两篇文章的独立一作,通讯作者为唐萍教授与杨玉良教授。
原文链接:
https://doi.org/10.1021/acs.macromol.0c00312
https://doi.org/10.1122/8.0000218
来源:复旦高材生
相关进展
复旦大学唐萍教授课题组在刚-柔嵌段高分子体系的相变动力学路径研究中取得重要进展
复旦大学杨玉良教授:科学教育不容乐观,与太早确定孩子的未来有关!
免责声明:部分资料来源于网络,转载的目的在于传递更多信息及分享,并不意味着赞同其观点或证实其真实性,也不构成其他建议。仅提供交流平台,不为其版权负责。如涉及侵权,请联系我们及时修改或删除。邮箱:info@polymer.cn
诚邀投稿
欢迎专家学者提供稿件(论文、项目介绍、新技术、学术交流、单位新闻、参会信息、招聘招生等)至info@polymer.cn,并请注明详细联系信息。高分子科技®会及时推送,并同时发布在中国聚合物网上。
欢迎加入微信群 为满足高分子产学研各界同仁的要求,陆续开通了包括高分子专家学者群在内的几十个专项交流群,也包括高分子产业技术、企业家、博士、研究生、媒体期刊会展协会等群,全覆盖高分子产业或领域。目前汇聚了国内外高校科研院所及企业研发中心的上万名顶尖的专家学者、技术人员及企业家。
申请入群,请先加审核微信号PolymerChina(或长按下方二维码),并请一定注明:高分子+姓名+单位+职称(或学位)+领域(或行业),否则不予受理,资格经过审核后入相关专业群。
点
这里“阅读原文”,查看更多
工程师必备
- 项目客服
- 培训客服
- 平台客服
TOP




















