塑胶材料篇:高分子的结构,影响着材料的诸多性能
2021年6月2日 14:37塑胶材料的种类繁多,性能各异,虽然常用的材料还不算太多,但是有些材料性能差异很大,有些则比较相似,如果我们光靠记忆各材料的性能来熟悉材料,显然是比较低效的,特别是一些你不常使用的材料,即使当时你能记住它具体性能用途,但是估计也会很快忘记。所以,这个时候,理论、原理性的知识就显得尤为重要,以下内容实际上在上学时我们都学过,只是当时很难去理解,现在回过头来看,其实还是有些收获的。
高分子链的结构,其实影响着高分子塑胶材料很多性能,如强度、刚度、冲击强度等物理性能,有些材料分子结构式非常相似,但性能却各异,比如这三种材料:PE、PS、PVC。
本文为啥把它们三放在一起举例介绍呢,主要是他们名字太相似了,咋一看,一字之差,实际上它们的性能差别很大,它们都为五大通用塑胶之一,产量大,价格便宜,广泛应用于日常产品上。
PE,学名称为“聚乙烯”,是指由乙烯单体经自由基加聚反应合成的聚合物。
PS,学名称为“聚苯乙烯”,是指由苯乙烯单体经自由基加聚反应合成的聚合物。
PVC,学名称为“聚氯乙烯”,是指由氯乙烯单体经自由基加聚反应合成的聚合物。
PE、PS和PVC的单体化学结构式如下,可以看出,结构式的主要区别是,PS中苯环取代了PE(聚乙烯)中的一个氢原子,而PVC中氯原子取代了PE(聚乙烯)中的一个氢原子。
所以也统称聚乙烯类塑胶,其中把苯环、CI等称为取代基(R),它们的聚合反应如下:
由于分子结构的不同,所表现出来的性能也会不同,从上面的结构式可以看出,PE的分子结构具有对称性,而PS和PVC分子结构不对称。
那么对称或不对称的分子链结构对聚合物的性能有什么影响呢?
一、首先,需要理解高分子链内旋转
而C-C单键属于σ键,其电子云分布具有轴对称性,即这两个C原子不管怎么绕轴旋转,都不影响其电子云的分布,所以,高分子在运动时,链中C-C单键可以绕轴旋转,称为高分子链内旋转。
高分子链C-C单键内旋转会使得高分子链中的原子或原子团形成不同的空间排布(位置、形态),所形成的空间排布,称之为构象。所以大多数长链结构中,其实会存在无穷个构象,这是造成高分子链具有柔性的原因。
高分子的柔性,指的是高分子链能够改变其构象的性质。形成构象的过程中,分子链中因单键内旋转带动附近若干个单元一起运动,这若干个单元组成一个链段,就好比一条铁链,每一节链相当一个链段。
如果高分子链越长链段越短,则链越柔顺。
二、影响高分子链柔性的因素:
1、主链结构
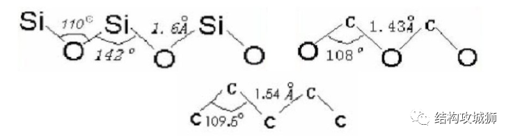
柔性比较:Si-O>C-N>C-O>C-C
4)当主链上含有共轭双键时,主链上的双键存在一个π键,不可旋转,为刚性链,柔顺性差。如聚乙炔、聚苯:
5)当主链含有芳环或杂环时,芳杂环不能内旋转,柔顺性较差,刚性强。如PP0、PC,可作为工程塑胶。
2)取代基的数目越多,互相作用越强,单键内旋转越困难,分子链柔顺性越差。如柔顺性:PE>氯化PVC>PVC
3)对称性取代基分子链柔性要好于单取代的分子链。
3、其他结构因素
支链长,柔性降低。交联度增加,柔性降低。
分子链越大,构象数越多,链的柔顺性越好,但当相对分子质量增加到一定数值时,对柔性的影响可忽略。
4、外界因素
提供克服内旋转位阻的能量, 温度升高, 内旋转容易, 柔性增大.
外力作用的速率太快时, 分子链来不及通过内旋转而改变构象, 表现出刚性
未完待续!
推荐阅读
END
特别声明:本文内容为本公众号整理、编辑、原创,部分图片内容来自于网络,只用于学习交流,如涉及版权问题,请联系删除,以上内容如有错误,欢迎留言指正,谢谢!
更多结构相关知识,请点击下面卡片关注本公众号查看
如果你有一个苹果,我有一个苹果,彼此交换,我们每个人仍只有一个苹果;
如果你有一种思想,我有一种思想,彼此交换,我们每个人就有了两种思想。
工程师必备
- 项目客服
- 培训客服
- 平台客服
TOP




















