dB应该是无线通信中最基本、最习以为常的一个概念了。我们常说“传播损耗是xx dB”、“发射功率是xx dBm”、“天线增益是xx dBi”……有时,这些长得很像的dBx们可能被弄混,甚至造成计算失误。它们究竟有什么区别呢?
3dB在功率图或误码率图中经常出现。其实,没什么神秘的,下降3dB就是指功率下降一半,3 dB点指的就是半功率点。
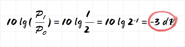
+3dB表示增大为两倍,-3dB表示下降为1/2。这是怎么来的呢?
dB表示功率P1相对于参考功率P0的大小关系。如果P1是P0的2倍,那么:
如果P1是P0的一半,那么:
关于对数的基本概念及运算性质,大家可以自行回顾下高一数学。。。
现在出道题来检验下你的理解程度:
这里请大家记住一个口诀。记住了这个口诀,你基本就可以横着走路了。
+3dB,表示功率增加为2倍;+10dB,表示功率增加为10倍。
-3dB,表示功率减小为1/2;-10dB,表示功率减小为1/10。
可见dB是个相对值,它的使命就是把一个很大或者很小的数,用一个简短的形式表达出来。
这可以极大的方便我们计算和描述。尤其是绘制表格的时候,大家可以自行脑补下,没换算成dB前,这么多的0,坐标轴得拉到外太空了吧。。。
理解了dB,你只能横着走,理解了dB家族的其它成员,你就可以躺赢了。
我们还是从最常用的dBm、dBw来说。
dBm、dBw就是把dB公式中的参考功率P0分别换成1 mW、1 W:
1 mW、1 W都是确定的值,因此dBm、dBw都可以表示功率的绝对值。
直接上个功率换算表供大家参考。

这里,我们要记住:
简化口诀是“30是基准,等于1 W整”。
记住了这条,再结合前面的“加3乘2,加10乘10;减3除2,减10除10”,你就可以进行很多口算了。
赶紧出道题来检验下。
答案:
这里我们需要注意,等式右侧除了30 dBm,其余的拆分项都要用dB表示。也就是说,用一个dBx减另一个dBx时,得到的结果用dB表示。
[例] 如果A的功率为46 dBm,B的功率为40 dBm,可以说A比B大6 dB。
[例] 如果A天线为12 dBd,B天线为14 dBd,可以说A比B小2 dB。
例如,46 dB表示P1为P0的4万倍,46 dBm则表示P1的值为40 W。符号中仅仅差了一个m,代表的含义可完全不同。
dB家族中常见的还有dBi、dBd、dBc。它们的计算方法与dB的计算方法完全一样,表示的还是功率的相对值。
不同的是,它们的参考基准不同,即分母上的参考功率P0所代表的含义不同。
一般认为,表示同一个增益,用dBi表示出来比用dBd表示出来要大2.15。这个差值是两种天线的不同方向性导致的,这里咱们就不展开说了。
此外,dB家族不仅可以表示功率的增益和损耗,还可以表示电压、电流、音频等,大家要具体场景具体应用。
需要注意的是,对于功率的增益,我们用10lg(Po/Pi),对于电压和电流的增益,要用20lg(Vo/Vi)、20lg(Io/Ii)。
多的这个2倍是怎么来的呢?
这个2来源于电功率转换公式的平方上。对数里面的n次方,计算后对应的就是n倍啦。
关于功率和电压、电流的转换关系,大家可以自行温习下初中物理。。。
最后,小编整理了一些主要的dB家庭成员,供大家参考。


最最后,我们再来出两道题检验下大家的成果。
1. 30 dBm的功率是()
A. 1 W
B. 10 W
C. 1 mW
D. 10 mW
这个是送分题啊~记住口诀:30是基准,等于1 W整。
2. 假定小区输出总功率为46 dBm,在2天线时,单天线功率是( )
A. 46 dBm
B. 43 dBm
C. 23 dBm
D. 40 dBm
答案:「B」
记住口诀“减3除2”,两个天线是46 dBm,单天线就是功率减少一半,就是减3 dB哦:46 dBm -3 dB=43 dBm。
或者,你也可以先计算出46 dBm对应40W,那么单天线功率是20W,即10lg(20W/1mW)=43 dBm。
首先,dB 是一个纯计数单位:对于功率,dB = 10*lg(A/B)。对于电压或电流,dB = 20*lg(A/B).dB的意义其实再简单不过了,就是把一个很大(后面跟一长串0的)或者很小(前面有一长串0的)的数比较简短地表示出来。如:
X=1000000000000000 (共15个0)
dBm 定义的是miliwatt。0 dBm=10lg1mw;
dBw 定义watt。0 dBw = 10lg1 W = 10lg1000 mw = 30 dBm。
dB在缺省情况下总是定义功率单位,以10lg 为计。当然某些情况下可以用信号强度(Amplitude)来描述功和功率,这时候就用20lg 为计。不管是控制领域还是信号处理领域都是这样。比如有时候大家可以看到dBmV 的表达。
在dB,dBm计算中,要注意基本概念。比如前面说的0dBw = 10lg1W = 10lg1000mw = 30dBm;又比如,用一个dBm 减另外一个dBm时,得到的结果是dB。如:30dBm - 0dBm = 30dB。
一般来讲,在工程中,dB和dB之间只有加减,没有乘除。而用得最多的是减法:dBm减dBm 实际上是两个功率相除,信号功率和噪声功率相除就是信噪比(SNR)。dBm 加dBm 实际上是两个功率相乘,这个已经不多见(我只知道在功率谱卷积计算中有这样的应用)。dBm 乘dBm 是什么,1mW的1mW 次方?除了同学们老给我写这样几乎可以和歌德巴赫猜想并驾齐驱的表达式外,我活了这么多年也没见过哪个工程领域玩这个。
dB,表示一个相对值。当计算A的功率相比于B大或小多少个dB时,可按公式10 lg A/B计算。例如:A功率比B功率大一倍,那么10 lg A/B = 10 lg 2 = 3dB。也就是说,A的功率比B的功率大3dB;如果A的功率为46dBm,B的功率为40dBm,则可以说,A比B大6dB;如果A天线为12dBd,B天线为14dBd,可以说A比B小2dB。
dBm是一个表示功率绝对值的单位,计算公式为:10lg功率值/1mW。例如:如果发射功率为1mW,按dBm单位进行折算后的值应为:10 lg 1mW/1mW = 0dBm;对于40W的功率,则10 lg(40W/1mW)=46dBm。
dBm是一个考征功率绝对值的值,计算公式为:10lg(功率值/1mw)。
[例1] 如果发射功率P为1mw,折算为dBm后为0dBm。
[例2] 对于40W的功率,按dBm单位进行折算后的值应为:
10lg(40W/1mw)=10lg(40000)=10lg(4*10^4)=40+10*lg4=46dBm。
dBi和dBd是考征增益的值(功率增益),两者都是一个相对值,但参考基准不一样。dBi的参考基准为全方向性天线,dBd的参考基准为偶极子,所以两者略有不同。一般认为,表示同一个增益,用dBi表示出来比用dBd表示出来要大2. 15。
[例3] 对于一面增益为16dBd的天线,其增益折算成单位为dBi时,则为18.15dBi (一般忽略小数位,为18dBi)。
[例4] 0dBd=2.15dBi。
[例5] GSM900天线增益可以为13dBd(15dBi),GSM1800天线增益可以为15dBd(17dBi)。
dB是一个表征相对值的值,当考虑甲的功率相比于乙功率大或小多少个dB时,按下面计算公式:10lg(甲功率/乙功率)
[例6] 甲功率比乙功率大一倍,那么10lg(甲功率/乙功率)=10lg2=3dB。
也就是说,甲的功率比乙的功率大3 dB。
[例7] 7/8 英寸GSM900馈线的100米传输损耗约为3.9dB。
[例8] 如果甲的功率为46dBm,乙的功率为40dBm,则可以说,甲比乙大6 dB。
[例9] 如果甲天线为12dBd,乙天线为14dBd,可以说甲比乙小2 dB。
有时也会看到dBc,它也是一个表示功率相对值的单位,与dB的计算方法完全一样。一般来说,dBc 是相对于载波(Carrier)功率而言,在许多情况下,用来度量与载波功率的相对值,如用来度量干扰(同频干扰、互调干扰、交调干扰、带外干扰等)以及耦合、杂散等的相对量值。在采用dBc的地方,原则上也可以使用dB替代。
搞无线和通信经常要碰到的dBm, dBi, dBd, dB, dBc
经验算法:
有个简便公式:0dBm=0.001W 左边加10=右边乘10
所以0+10dBm=0.001*10W 即10dBm=0.01W
故得20dBm=0.1W 30dBm=1W 40dBm=10W
还有左边加3=右边乘2,如40+3dBm=10*2W,即43dBm=20W,这些是经验公式,蛮好用的。
所以-50dBm=0dBm-10-10-10-10-10=1mW/10/10/10/10/10=0.00001mW。
------------------------------------------------------------------------------------------
一般坊间贩售的802.11x无线网路AP上头,常会有规格说明,里头总会有一项说明到这个AP(或是无线网路卡),它的传输功率(transmission POWER)有20dBm,或者有些产品,是以mW(milliWatts)为单位,例如很有名的神脑长距离网卡,就说他们的网卡具有高达100mW的发射功率。
dBm是dB-milliWatt,即是这个读数是在与一个milliWatt作比较而得出的数字。在仪器中如果显示着0dBm的意思即表示这个讯号与1mW的讯号没有分别,也就是说这个讯号的强度就是1mW了。至于Watt(瓦特)是功率的单位我想大家都知道,就不赘述了。
所以我们必须先从dB讲起,dB到底是什么呢?dB的全写是decibel,英文(其实是拉丁语文)中deci即十分一的的意思。这个单位原本是bel 。但因为要达到一个bel的数值比较所需之能量差通常都较为大而在电路学上并不常用,故此才比较常用十分之一bel,亦即decibel这个单位了。
其实它是指当你遇上有两个能量(讯号)的时候,dB就是我们用来表示这两个能量之间的差别的一种表示单位。它本身并不是一个独立的(如伏特Volt、安培Ampere等)绝对单位,dB这个单位一出现即意味着是有两个同样性质的能量(或讯号)正在被比较之中而获得的单位。
至此或许大家会有疑问:「既然dB只是表示两个讯号间的能量差别的话,为何不干脆用”倍数”来做表示呢?是否为了要故作深奥而造出这个单位来呢?」
当然不是啦!不过这个问题倒也问得相当好。不是吗?干脆用”倍数”不是来得简单易懂而不致于有这么多的人搞错了观念吗?某程度上林教官也相当同意这个说法。譬如当你制作一部高频线性放大器(LINEAR Amp.)时,它的输入所需功率是10Watts而输出则可达40Watts的话,为何不干脆说有四倍的增益而要说成是6dB的增益呢?在这个例子之中,其实的确是用”四倍”这个说法来得干脆俐落,但试看一看另一个同类例子……
今天我们试想像一套发射设备由初级振荡的能量以至最后级的输出功率之间的增益…,假设在初级振荡时的功率是0.5mW(注意是假设,真的当然会远低于此数)而在最后的LINEAR Amp.输出是2kW。现在试算一算它们之间的倍数差别……,2kW就是2000Watts亦即2,000,000mW用2,000,000mW除以0.5mW便得出倍数,即4,000,000倍了。试想一想,我已假设了振荡级是0.5mW那么大都还得出了四百万倍这个如此惊人的数字,一旦用上真实的数字的话那倍数势必比四百万来得更大更多位数了。至此大家或许已经明白在各类电子及无线电电路中(尤其是接收方面)这类倍数之差别比比皆是(即如一部厂制的发射机的抗干扰能力是优于一百万倍就标示成better than 60dB)。如果每次都要在各个层面(例如说明书,规格表)内都标示出数百万以至千万甚至亿倍的数字将会是何等的不方便啊!
bel = lg ( P2 / P1 )
上面公式里头,P1就是第一个被比较的能量(讯号),P2就是第二个作比较的能量(讯号),P1与P2的单位要大家相同。
dB = 10 * bel = 10 * lg ( P2 / P1 )
例:第一个讯号功率是4Watts,第二个讯号功率是24Watts,那增益就是:
10 * lg ( 24 / 4 ) = 10 * lg6 = 7.78 dB
OK,我们回到dBm来看,因此换算dBm与mW的公式就应该是长成这样:
dBm = 10 * lg(mW)或mW = 10^( dBm / 10 )
所以底下这些例子大家可以验算一下:
0 dBm = 1 mW
10 dBm = 10 mW
14 dBm = 25 mW
15 dBm = 32 mW
16 dBm = 40 mW
17 dBm = 50 mW
20 dBm = 100 mW
30 dBm = 1000 mW = 1W
如果大家都很聪明,一定可以从log的基本性质中,发现到底下的rule:
dB增加3dB = mW乘2倍;dB减少3dB = mW变成1/2 ;增加10dB =乘10倍
这样一来,你便可以用你的脑袋直接进行快速运算来求得概略值:
+3dBm= *2
+6dBm= *4 (2*2)
+7dBm= *5 (+10dB-3dB = 10/2)
+4dBm= *2.5 (+10dB-6dB = 10/4)
+1dBm= *1.25 (+4dB-3dB=2.5/2)
+2dBm=*1.6(+6dBm-4dBm=4/2.5=1.6)
举个例子,假设你已经知道0dBm = 1mW,那么3dBm当然就等于2mW啰。那么,47dBm呢?40dBm →10^4mW,再多7dBm →5 * 10^4mW = 50W。
有时也会看到dBc,它也是一个表示功率相对值的单位,与dB的计算方法完全一样。一般来说,dBc 是相对于载波(Carrier)功率而言,在许多情况下,用来度量与载波功率的相对值,如用来度量干扰(同频干扰、互调干扰、交调干扰、带外干扰等)以及耦合、杂散等的相对量值。在采用dBc的地方,原则上也可以使用dB替代。
根据功率与电平之间的基本公式V^2=P*R,可知dBuV=90+dBm+10*log(R),R为电阻值。在PHS系统中正确应该是dBm=dBuv-107,因为其天馈阻抗为50欧。
emf:electromotive force(电动势)
对于一个信号源来讲,dBuVemf是指开路时的端口电压,dBuV是接匹配负载时的端口电压。
问:请问dBi、dBd、dB、dBm、dBc之间的区别。
dBi和dBd是功率增益的单位,两者都是相对值,但参考基准不一样。dBi的参考基准为全方向性天线;dBd的参考基准为偶极子。一般认为dBi和dBd表示同一个增益,用dBi表示的值比用dBd表示的要大2.15 dBi。例如:对于一增益为16 dBd的天线,其增益折算成单位为dBi时,则为18.15dBi,一般忽略小数位,为18dBi。
dB也是功率增益的单位,表示一个相对值。当计算A的功率相比于B大或小多少个dB时,可按公式10 lg A/B计算。例如:A功率比B功率大一倍,那么10 lg A/B = 10 lg 2 = 3dB。也就是说,A的功率比B的功率大3dB;如果A的功率为46dBm,B的功率为40dBm,则可以说,A比B大6dB;如果A天线为12dBd,B天线为14dBd,可以说A比B小2dB。
dBm是一个表示功率绝对值的单位,计算公式为:10lg功率值/1mW。例如:如果发射功率为1mW,按dBm单位进行折算后的值应为:10 lg 1mW/1mW = 0dBm;对于40W的功率,则10 lg(40W/1mW)=46dBm。
dBc也是一个表示功率相对值的单位,与dB的计算方法完全一样。一般来说,dBc相对于载波(Carrier)功率而言。在许多情况下,用来度量载波功率的相对值,如度量干扰(同频干扰、互调干扰、交调干扰、带外干扰等)以及耦合、杂散等的相对量值。在采用dBc的地方,原则上也可以使用dB替代。
在无线通讯的实际应用中,为有效提高通讯效果,减少天线输入功率,天线会做成各种带有辐射方向性的结构以集中辐射功率,由此就引申出“天线增益”的概念。简单说,天线增益就是指一个天线把输入的射频功率集中辐射的程度,显然,天线的增益与其方向图的关系很大,主瓣越窄、副瓣越小的天线其增益就越高,而不同结构的天线,其方向图的差别是很大的。
在通讯技术领域,与其它考量功率、电平等参数的量值同样,天线增益也采用相对比较并取对数的简化法来表示,具体计算方法为:在某一方向向某一位置产生相同辐射场强的时,对无损耗理想基准天线的输入功率与待考量天线的输入功率的比值取对数后乘以10 (G=10lg(基准Pin/考量Pin)),即称为该天线在该点方向的增益。常用衡量天线增益的单位是dBi和dBd。对于dBi,其基准为理想的点源天线,即一个真正意义上的“点”来作天线增益的对比基准。理想点源天线的辐射是全向的,其方向图是个理想的球,同一球面上所有点的电磁波辐射强度均相同;对于dBd,其基准则为理想的偶极子天线。因偶极子天线是带有方向性的,故二者有个固定的恒差2.15即0dBd="2".15dBi。
需要说明的是,通常所说的“全向天线”不是严格的说法,全向天线应指在三维立体空间的全向,但工程界也往往把某个平面内方向图为圆周的天线称为全向天线,如鞭状天线,它在径向的主瓣是圆,但仍有轴向的副瓣。
常见天线的增益:鞭状天线6-9dBi,GSM基站用八木天线15-17dBi,抛物面定向天线则很容易做到24dBi。
无线电发射机输出的射频信号,通过馈线(电缆)输送到天线,由天线以电磁波形式辐射出去。电磁波到达接收地点后,由天线接收下来(仅仅接收很小很小一部分功率),并通过馈线送到无线电接收机。因此在无线网络的工程中,计算发射装置的发射功率与天线的辐射能力非常重要。
Tx是发射(Transmits )的简称。无线电波的发射功率是指在给定频段范围内的能量,通常有两种衡量或测量标准:
1、功率(W ): 相对1 瓦(Watts )的线性水准。例如,WiFi 无线网卡的发射功率通常为0.036W ,或者说36mW 。
2、增益(dBm ):相对1 毫瓦(milliwatt )的比例水准。例如WiFi 无线网卡的发射 增益 为15.56dBm 。
2、mW = 10[ 增益dBm / 10 dBm]
在无线系统中,天线被用来把电流波转换成电磁波,在转换过程中还可以对发射和接收的信号进行“放大”,这种能量放大的度量成为 “增益(Gain)”。天线增益的度量单位为“dBi ”。由于无线系统中的电磁波能量是由发射设备的发射能量和天线的放大叠加作用产生,因此度量发射能量最好同一度量-增益(dB ),例如,发射设备的功率为100mW ,或20dBm;天线的增益为10dBi ,则:
发射总能量=发射功率(dBm )+天线增益(dBi )
=20dBm +10dBi
=30dBm
或者: =1000mW
=1W
在“小功率”系统中(例如无线局域网络设备)每个dB 都非常重要,特别要记住“3 dB 法则”。每增加或降低3 dB ,意味着增加一倍或降低一半的功率:
例如,100mW 的无线发射功率为20dBm ,而50mW 的无线发射功率为17dBm ,而200mW 的发射功率为23dBm 。
功率/电平(dBm):放大器的输出能力,一般单位为W、mW、dBm。dBm是取1mW作基准值,以分贝表示的绝对功率电平。
从上不难看出,功率每增加一倍,电平值增加3dBm
来源:中兴文档
在公众号内回复您想搜索的任意内容,如问题关键字、技术名词、bug代码等,就能轻松获得与之相关的专业技术内容反馈。快去试试吧!
由于微信公众号近期改变了推送规则,如果您想经常看到我们的文章,可以在每次阅读后,在页面下方点一个「赞」或「在看」,这样每次推送的文章才会第一时间出现在您的订阅列表里。
或将我们的公众号设为星标。进入公众号主页后点击右上角「三个小点」,点击「设为星标」,我们公众号名称旁边就会出现一个黄色的五角星(Android 和 iOS 用户操作相同)。
http://www.eeworld.com.cn/mp/wap
EEWorld(www.eeworld.com.cn)