东华大学廖耀祖教授课题组:绿色制备吡啶基共轭微孔聚合物用于光催化氢能制备
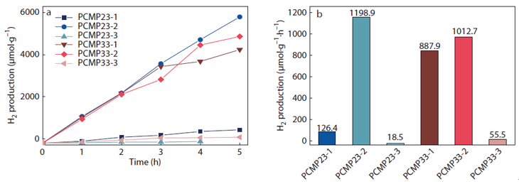
2021年6月25日 11:59科学数据证明,当前严重威胁人类生存与发展的气候变化主要是传统化石燃料燃烧排放二氧化碳所致。应对气候变化的关键在于“控碳”,其必由之路是先实现碳达峰,而后实现碳中和。发展基于多孔材料的碳捕集与转化以及氢能源技术被认为是实现碳达峰碳中和的最有效途径之一。其中,光催化析氢是最重要的氢能技术之一,其关键是开发高效、稳定、可持续的光催化剂。共轭微孔聚合物作为新型多孔材料,具有结构可灵活设计、孔道可自由调节、孔表面可丰富修饰以及光电性质可调控等特点,逐渐在氢能制备领域发挥重要作用。但是,目前大多数共轭微孔聚合物的合成都是通过昂贵的金属催化剂催化偶联来完成,反应条件较复杂,成本较高,发展绿色、温和的合成方法仍然存在挑战。
图1 Chichibabin反应合成PCMPs示意图
图2 (a,b)紫外-可见吸收光谱和(c,d)Tauc plot法计算得到的聚合物带隙结构
原文链接:
http://www.cjps.org./article/doi/10.1007/s10118-021-2574-3?pageType=en
相关进展
免责声明:部分资料来源于网络,转载的目的在于传递更多信息及分享,并不意味着赞同其观点或证实其真实性,也不构成其他建议。仅提供交流平台,不为其版权负责。如涉及侵权,请联系我们及时修改或删除。邮箱:info@polymer.cn
诚邀投稿
欢迎专家学者提供稿件(论文、项目介绍、新技术、学术交流、单位新闻、参会信息、招聘招生等)至info@polymer.cn,并请注明详细联系信息。高分子科技®会及时推送,并同时发布在中国聚合物网上。
欢迎加入微信群 为满足高分子产学研各界同仁的要求,陆续开通了包括高分子专家学者群在内的几十个专项交流群,也包括高分子产业技术、企业家、博士、研究生、媒体期刊会展协会等群,全覆盖高分子产业或领域。目前汇聚了国内外高校科研院所及企业研发中心的上万名顶尖的专家学者、技术人员及企业家。
申请入群,请先加审核微信号PolymerChina (或长按下方二维码),并请一定注明:高分子+姓名+单位+职称(或学位)+领域(或行业),否则不予受理,资格经过审核后入相关专业群。
点
这里“阅读原文”,查看更多
工程师必备
- 项目客服
- 培训客服
- 平台客服
TOP




















