金属粉末材料性能表征:激光粒度仪不同设备偏差分析
2021年7月8日 11:49
金属粉末粒度检测通常使用激光粒度仪,其原理是采用米氏散射原理,通过颗粒的衍射或散射光的空间分布来分析颗粒大小。由于粒度仪品牌众多,其检测结果也有差异。本文将选取目前主流激光粒度仪丹东百特9300st和马尔文3000进行对比,所选取的粉末种类有模具钢18Ni300、CX,高温合金GH4169、GH3536、GH3625和Al基粉末AlSi10Mg,主要测试两种激光粒度仪对打印段粉末15-53um检测结果的差异。
表1 设备基本参数表
马尔文3000激光粒度仪和丹东百特9000ST激光粒度仪基本参数设置如表1所示。两台设备的颗粒折射率设置差别不大,镍基和铁基颗粒吸收率不同,但由于这两种基体粉末的颜色为深灰色,所以颗粒吸收率设置在0.1-1之间均在允许范围之内,不会对结果产生太大的影响。
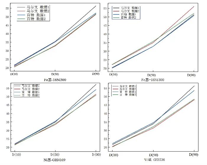
图1 马尔文和百特粒度仪对不同基体粉末检测结果
通过实验结果可知,两种设备对Fe基、Ni基和Al基三种粉末中的D(10)和D(50)检测结果偏差相差不大,但是D(90)偏差值因基体而定。Fe基粉末,两种设备检测结果的偏差约3;Ni基粉末,两种设备检测结果的偏差约2;Al基粉末,两种设备检测结果的偏差约2。
此外,还发现两种设备对于粗颗粒(D10≥75μm)检测,整体结果偏差较大,其原因可能是两种设备的进样结构不同。马尔文的进样头在分散液中层的位置,丹东百特是从底部进样。在测试粒径较粗的粉末时,分散头不能均匀分散样品,造成分层现象,颗粒较大的粉末沉在下面,颗粒较小的粉末分散在中层或上层空间。因此,马尔文检测时选取中层样品分析检测,检测结果偏小。而丹东百特选取底部样品检测,部分粗颗粒会进入检测系统,造成检测结果偏大的现象。
不同设备,不同检测环境都会对检测结果产生影响,因此增材制造的应用推广,需要更多基础研究和标准建立,威拉里新材料愿与各位有志之士共同携手。
南极熊15个3D打印微信小程序
1) 3D打印专业院校库 ;
2)全球3D打印产品库;
6)航空航天军工能源3D打印;
7)汽车船舶交通3D打印;
8)3D打印技术前沿;
9)3D打印软件算法;
10)3D打印行业数据报告;
11)3D打印公司投融资;
12)3D打印产业政策;
13)建筑3D打印;
14)3D打印展会、会议活动预告;
15)全球3D打印新品汇总
工程师必备
- 项目客服
- 培训客服
- 平台客服
TOP




















