技术研究|基于局部相对定位的空地子母机器人自主收放引导系统与技术研究
2021年7月20日 10:12基于局部相对定位的空地子母机器人自主收放引导系统与技术研究
狄春雷 1,2于利 1,2潘思 1,2,3谷丰 1,2何玉庆 1,2
(1. 中国科学院沈阳自动化研究所机器人学国家重点实验室;2. 中国科学院机器人与智能制造创新研究院;3. 中国科学院大学)
1 引 言
图1 各类子母机器人系统
Fig.1 Different kinds of marsupial robotic systems
2 无人机释放回收引导系统
2.1 引导系统总体设计
2.2 引导定位方法
图3 动平台自主起降引导系统车载-机载端实物图
Fig.3 Diagram of autonomous take-off and landing guidance system in UAV and UGV
| (1) |
| (2) |
| (3) |
| (4) |
| (5) |
2.3 地面操控系统
2.4 电磁铁降落辅助系统
图10 电磁铁辅助降落系统实物及工作原理图
Fig.10 Electromagnet assisted landing system and working principle diagram
3 无人机起降控制方法
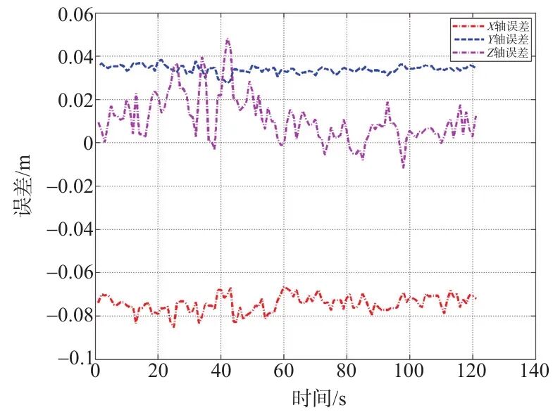
4 实验验证
4.1 实验平台搭建
4.2 无人机自主起降实验
图17 无人机在地面无人车上的起降轨迹
Fig.17 Take-off and landing trajectory of the UAV on the UGV
5 结 论
1. Anderson M O, Mckay M D, Richardson B S. Multi-robot automated indoor floor characterization team[C], 1996 IEEE International Conference on Robotics and Automation, Minneapolis, MN, USA, USA, vol.2, 1996, 1750-1753.
2. Corke P, Hrabarz S, Petersony R, et al. Autonomous deployment and repair of a sensor network using an unmanned aerial vehicle[C], IEEE International Conference on Robotics and Atuomation, Barcelona, Spain, Apr 18-22, 2004, 3602-3608.
3. Mullens K, Pacis E, Stancliff S, et al. Automated UAV mission sytem[EB/OL].2003[2019]. http://www.public.navy.mil/spawar/Pacific/Robotics/Documents/Publications/2003/usis03au ms.pdf.
4. Lindemuth M, Murphy R, Steimle E, et al. Sea robot-assisted inspection[J]. IEEE Robotics & Automation Magazine, 2011, 18(2):96-107.
5. 王亮. 基于多传感器信息融合的无人机着陆导引研究[D]. 西安:西北工业大学, 2015.
6. Wenzel K E, Masselli A, Zell A. Automatic take off, tracking and landing of a miniature UAV on a moving carrier vehicle[J]. Journal of Intelligent & Robotic Systems, 2011, 61(1-4):221-238.
7. Garcia O, Flores D, Santos O, et al. Autonomous take-off and landing on a colored platform[C]. International Conference on Unmanned Aircraft Systems, Orlando, USA, 2017.
8. Kong W, Zhou D, Zhang Y, et al. A ground-based optical system for autonomous landing of a fixed wing UAV[C]. IEEE International Conference on Intelligent Robots & Systems, Orlando, Florida, USA, 2014.
9. Gui Y, Guo P, Zhang H, et al. Airborne vision-based navigation method for UAV accuracy landing using infrared lamps[J]. Journal of Intelligent & Robotic Systems, 2013, 72(2):197-218.
10. Kim E, Choi D. A UWB positioning network enabling unmanned aircraft systems auto land[J]. Aerospace Science and Technology, 2016, 58:418-426.
11. Tiemann J, Wietfeld C. Scalable and precise multi-UAV indoor navigation using TDOA-based UWB localization[C]. International Conference on Indoor Positioning & Indoor Navigation, Sapporo, Japan, 2017.
12. Lazzari F, Buffi A, Nepa P, et al. Numerical investigation of an UWB localization technique for Unmanned Aerial Vehicles in outdoor scenarios[J]. IEEE Sensors Journal, 2017, 17(9):2896-2903.
13. 于梅. 超宽带无线定位算法的研究与仿真[D]. 青岛:中国海洋大学, 2012.
14. 郭建广. 超宽带无线定位技术研究[D]. 宁波:宁波大学, 2015.
15. 李招华, 汪毓铎, 邵青. 基于Chan的TDOA三维定位算法[J]. 现代电子科技, 2014(011):36-40.
16. 李宏亮. 基于UWB无线测距的舰载无人直升机起降引导技术研究[D]. 长沙:国防科学技术大学, 2015.
17. Zhang H, He Y, Li D, et al. Marine UAV-USV marsupial platform:System and recovery technic verification[J]. Applied Sciences-Basel, 2020, 10(5):1583.
引用本文: 狄春雷, 于利, 潘思, 等. 基于局部相对定位的空地子母机器人自主收放引导系统与技术研究[J]. 无人系统技术, 2020, 3(6):68-78. (DI Chunlei,YU Li,PAN Si,et al.Research on Autonomous Take-Off and Landing Guidance System of Air-Ground Marsupial Robot Based on Local Relative Positioning[J].Unmanned Systems Technology,2020,03(06):68-78.)
工程师必备
- 项目客服
- 培训客服
- 平台客服
TOP




















