船舶航向控制器设计与仿真
2021年9月18日 09:48来源:互联网 作者:冯嘉仪 刘教瑜 黄珍
关键字:船舶 船舶航向控制器 PID算法 MATLAB
详细论述了船舶航向控制器的设计与仿真。首先,在MATLAB的Simulink环境中构建船舶航向控制系统的仿真模型,然后通过仿真分析来确定航向控制器的关键参数,最后进行调试。
1 船舶航向控制系统简介
船舶航向运动控制系统由航向给定环节、航向检测环节、给定航向与实际航向比较环节、控制器、执行机构——舵、调节对象——船等组成。航向控制问题包含两个方面:航向保持和航向机动性。为了到达目的地和减少燃料的消耗,总是力求使船舶以一定的速度作直线航行,这就是船舶的航向保持问题,即航向稳定性问题:而当在预定的航线上发现障碍物或其它船舶时,或者在有限航道内航行,必须及时改变航速和航向,这就是船舶航行的机动性问题。这两个方面是衡量一艘船舶操纵性好坏的标志,操纵性直接关系到船舶的使用效能和安全性。因此,船舶航向控制主要分航向保持与航向改变两种模式。当船舶处于某个设定航线航行时,即航向保持问题;当设定航向发生改变时,船舶需要打舵回转,即船舶跟踪问题,前者是船舶在受到各种扰动时以最小的控制力保持在设定航向上,后者希望以最小的超调迅速准确地跟踪新的设定航向。本文主要研究船舶航向保持问题。
船舶在运动过程中,指令航向由指挥人员给定,船舶的实际航向一般由罗经来测量,在受到外界干扰的情况下,会使船舶偏航,罗经所测得的实际航向与给定的航向进行比较,得出航向误差信号,该信号送到自动舵系统中,自动舵系统根据所规定的控制规律进行计算,得出一个舵角指令,在舵机的作用下,将舵转到所需的角度,使船舶修正航向,反复进行测量,直到实际航向与给定航向相一致,自动舵系统输出零舵角指令信号,船舶按照指令航向进行航向。
2 船舶航向控制系统建模
2.1 船舶航向控制器模型
船舶航向控制器是总结了人的操舵规律而设计的装置,是用来控制船舶航向的设备,能使船舶在预定的航向上运行,它能克服使船舶偏离预定航向的各种干扰影响,使船舶自动地稳定在预定的航向上运行,是操纵船舶的关键设备,又称自动操舵装置。它是在通常的操舵装置上加装自动控制部分而成。
随着计算机技术和现代控制理论的发展以及各种新的控制算法的出现,船舶自动舵已从最初的PID控制发展到自适应控制、模型参考自适应控制、神经网络控制、模糊控制、模糊神经网络控制、变结构控制、广义模糊CMAC等算法。而本设计的船舶航向器选择PID算法。所以船舶航向控制器模型选定为PID模型。
2.2 舵机伺服机构模型
舵机伺服系统是一个具有纯迟延、死区、滞环、饱和等非线性特性的电动液压系统,这些因素在很大程度上影响到航向/航迹闭环控制系统的性能。换言之,要获得良好的航向和航迹控制质量,除了要依赖各种“高级的”航向保持、航迹保持控制算法之外,还需十分注意舵机伺服系统这一舵角闭环的动态行为及其与自动舵(航向环和航迹环)之间的匹配。这一点虽然近来已逐步为人们所认识,但是单从自动舵设计者的角度进行努力不可能根本解决问题,而必须从自动舵与操舵电液伺服系统的结合上进行综合考虑,在整个船舶运动控制的层次上,在设备的选型、安装、管理以及控制方案的确定、控制算法的设计等诸多方面进行细致的工作,协调处理,方能收到良好效果。
从控制理论基础的观点来看,舵机伺服系统实际上是在随机信号作用下的随动系统。偏航信号是由作用在舰船上的风、流、浪等干扰所引起的。偏航信号经过放大变换去控制舵机转动舵叶,使舰船在舵板产生的回转力矩作用下,回到原航向上,从而消除偏航。因此和其它伺服系统一样,舵机伺服系统也是由敏感元件、放大元件、转换元件、执行元件以及反馈元件等组成的一个闭环系统。
敏感元件:为了测量舰船偏离给定航向大小,并将其偏航信号输送给自动操舵系统。舰船上敏感元件是由罗经航向发送器和与其同步联接在自动操舵系统中的航向接收器组成。接收器把偏航信号传给自动操舵仪系统。敏感元件既反映舰船在外力作用下对给定航向的偏差,也能反映在舵的作用下舰船的运动。
放大转换元件:放大敏感元件的信号,满足控制舵机装置的要求。当采用电动液压舵机时,对于水面舰船通常多数用半导体放大器,对于潜艇除半导体放大器外,为了便于综合多个信号,有时还用磁放大器。当采用电动舵机时,多数用电机放大器或可控硅作为功率放大元件。对于电动液压舵机来讲,转换元件就是将经过放大了的电信号转变为机械的或液压的信号,借以驱动液压执行机构——舵机。因此,对于电动液压自动操舵系统,这也是一个很关键的元件。因为它通常亦起放大作用,故和放大器一起称为放大转换元件。我国制造的舰船应用最普遍的转换元件有三种:电磁阀、伺服阀与伺服电机。前两种将电信号转换为液压信号,后者是转换为机械信号,但它们的功能都是一样的。
执行元件:舰船的转舵装置即舵机作为执行元件。目前舰船上应用的舵机根据供给能量的形式不同可分为电动、电动液压与液压三种。对于排水量比较大、航速较高的船只,多采用电动液压舵机。它具有效率高、操舵装置重量轻、占地小、工作灵活可靠、生命力强等优点。
反馈元件:其作用是为了消除舰船在航向上的不衰减振荡,使自动舵起稳定的作用。
舵机伺服系统是由比较器、功放(放大元件)、变量泵(转换元件)、液压舵机(执行元件)及舵机反馈装置组成(反馈元件),一般被视为一个一阶惯性环节,其时间常数为Tr(一般设为3s)。则舵机伺服机构数学模型为:
G2(s)=1/1+3s
2.3 船舶运动数学模型
船舶运动数学模型是船舶运动仿真与控制问题的核心。在船舶运动控制领域,建立船舶运动数学模型大体上有两个目的:一个目的是建立船舶操纵模拟器,为研究闭环系统性能提供基本的仿真平台;另一个目的是为了设计船舶运动控制器服务。目前在船舶运动模型化研究中有两大流派,一派是欧美学派,它采用的是整体型模型结构;另一派是日本学派,它发展的是分离型模型。本文研究船舶航向保持,采用整体型的船舶运动数学模型,即把船、桨、舵看作一个整体。
日本学者野本谦作基于船舶操纵运动线性方程,从控制工程的观点来研究船舶操纵性问题,把由于改变舵角而引起的各种操纵运动看作输出操纵运动对输入舵角的响应关系。并由此推导出了转艏操舵响应方程,即操纵运动方程。也称作Nomoto模型。Nomoto模型是船舶运动控制领域应用最广泛的一种线性数学模型,在线性控制器的设计和简单的系统仿真中能够保证较高的精度。本次设计选择的船舶运动数学模型就是Nomoto模型。因为用Nomoto模型进行船舶运动控制器设计有两个好处:一是在低频范围,其频谱与高阶模型的频谱非常相近;二是设计出的控制器阶次低,易于实现。
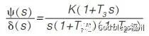
1957年由日本野本谦作(Nomoto)教授在基于操纵线性方程基础上,从控制工程观点来研究船舶操纵性问题,提出了表征船舶操纵性的T、K指数,建立了线性船舶操纵响应数学模型:
这里,δ为舵角,T1,T2,T3是二阶Nomoto模型的时间常数,K为舵增益,在低频时可转化成为一阶Nomoto模型:
即:
Tr+r=Kδ
式中,r为艏摇角速度,T=T1+T2-T3。系统的输入为舵角δ,输出为艏相角ψ或艏摇角速度r。根据关系r=ψ,用船舶方位角ψ替换式(4)中的r,得到对应的方程:
G1(s)=K/s(1+Ts)
船舶运动数学模型的输入为舵角,输出为船舶的方位角。
船舶操纵指数K和T的选择可以参考文献的表1中货船的参数。即选择K=0.09,T=41。则船舶运动数学模型为:
G1(s)=0.09/s(1+41s)
2.4 电罗经模型
电罗经又称陀螺罗经,它能自动、连续地提供舰船的航向信号,并通过航向发送装置将航向信号传递到舰船需要航向信号的各个部位。从而满足舰船导航及武备系统的要求,是舰船必不可少的精密导航设备,被称为舰船的“眼睛”。全套设备由主罗经、分罗经和附属仪器三部分组成,核心部件是主罗经内的陀螺球。船舶的实际航向一般由罗经来测量,本次设计选择H(s)=1为电罗经的数学模型。
3 船舶航向控制器算法
按PID控制进行工作的自动调节器早已商品化,期间经历了机械式、液动式、气动式、电子式等发展阶段。即使在最新式的过程控制计算机中,其基本的控制功能也仍然是PID控制。
经典PID控制的公式表示为:
其中u为控制器的输出信号;Ti为积分时间参数;Td为微分时间参数;Kp为比例增益:Ki=Kp/Ti为积分增益;Kd=KpTd为微分增益。
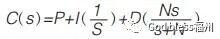
本次设计选择的控制算法是不完全微分PID控制算法。不完全微分PID算法中的微分项加入了一个一阶惯性环节,能有效地克服冲击性以至阶跃干扰的影响,具有较理想的控制特性。在MATLAB中不完全微分PID控制器的传递函数可表示为:
P=Kp为比例增益;I=Ki=Kp/Ti为积分增益;D=Kd=KpTd为微分增益。N取0.3。
引入比例控制,船舶航向控制器的输出与输入航向误差信号成比例关系。只要有航向偏差产生,控制器立即产生控制作用,控制作用迅速及时。比例增益太小,控制作用太弱,不利于系统克服扰动,余差太大,控制质量差,也没有什么控制作用;比例增益太大,控制作用太强,容易导致系统的稳定性变差,引发振荡。
引入积分控制,积分控制器的输出与输入航向偏差对时间的积分成正比。积分控制器的输出不仅与输入航向偏差的大小有关,而且还与航向偏差存在的时间有关。只要航向偏差存在,输出就会不断累积(输出值越来越大或越来越小),一直到航向偏差为零,累积才会停止。所以,积分控制可以消除余差。但积分控制虽然能消除余差,也存在着控制不及时的缺点。积分时间的大小表征了积分控制作用的强弱。积分时间越小,控制作用越强;反之,控制作用越弱。
引入微分控制,微分输出只与航向偏差的变化速度有关,而与航向偏差的大小以及航向偏差是否存在与否无关。如果航向偏差为一固定值,不管多大,只要不变化,则输出的变化一定为零,控制器没有任何控制作用。微分时间越大,微分输出维持的时间就越长,因此微分作用越强:反之则越弱。当微分时间为0时,就没有微分控制作用了。微分控制作用的特点是:动作迅速,具有超前调节功能,可有效改善被控对象有较大时间滞后的控制品质;但是它不能消除余差,尤其是对于恒定偏差输入时,根本就没有控制作用。
4 船舶航向控制器仿真
本设计所选舵机伺服机构模数学型为G2(s)=1/1+3S;
所选船舶运动数学模型为G1(s)=0.09/s(1+41s);
所选电罗经的数学模型为H(s)=1。
不完全微分PID控制器的传递函数可表示为:
根据以上所选数学模型,在MATLAB上构建船舶航向控制系统的仿真模型,如图1所示。
图1 船舶航向控制系统的仿真模型
构建好仿真模型后开始仿真分析确定航向控制器的关键参数。
5 航向控制器的关键参数整定
本设计采用的是衰减曲线法来整定PID参数。
为方便准确地整定PID参数,结合GUI对航向控制系统进行仿真分析。通过滑动条连续改变参数PID,采用衰减曲线法整定。
其整定步骤如下:
1)先令P=0、1=0、D=0。
2)逐渐增加P,使得过渡过程出现4:1振荡。
3)记录下此时的Ps和震荡周期Ts。
4)计算出参数值P=Ps*1.25,Ti=0.3*Ts,Td=0.1*Ts,I=P/Ti,D=P*Td。
GUI界面如图2所示:
图2 GUI界面
按照整定步骤进行整定,当过渡过程出现4:1振荡时Ps=0.84367,Ts=150.6。
5.1 PI参数整定
选择PI算法为控制算法时,根据衰减曲线法可计算得到:
P=Ps*0.83=0.7,Ti=0.5*Ts=75.3,I=P/Ti=0.0093。
把PI的参数值赋给仿真模型得到的输出波形如图3所示:
图3 PI的参数值赋给仿真模型得到的输出波形
5.2 PID参数整定
选择PID算法为控制算法时,可计算得到:
P=Ps*1.25=1.0546,Ti=0.3*Ts=45.18,Td=0.1*Ts=15.06,I=P/Ti=0.02334,D=P*Td=15.8821。
把PID的参数值赋给仿真模型得到的输出波形如图4所示:
图4 PID的参数值赋给仿真模型得到的输出波形
比较图3和图4可知控制算法取PID较好。
6 调试结果
图5 航向变化曲线
船舶在运动过程中,指令航向由指挥人员给定,在调试过程中,给出了的指令航向为:在800s瞬间由80下降为50。得出航向的变化曲线如图5所示。
本文来源于互联网,天佑有限元本着传播知识、有益学习和研究的目的进行的转载,为网友免费提供,并已尽力标明作者与出处,如有著作权人或出版方提出异议,本站将立即删除。如果您对文章转载有任何疑问请告之我们,以便我们及时纠正。联系方式:QQ785980159,邮箱785980159@qq.com
工程师必备
- 项目客服
- 培训客服
- 平台客服
TOP




















