基于HyperWorks焊点等效方法在白车身分析中研究
2021年10月9日 09:20来源:Altair论文集 作者:陆志成
关键字:OptiStruct ACM焊点 白车身模态 扭转刚度 弯曲刚度
本文首先从焊点对单个零件的影响进行分析,包括焊点类型及焊点等效方法的研究,通过与实验进行对标,从而定义合理的焊点模拟形式,并将该焊点模拟形式及等效形式应用于整个白车身,分析其模态、弯曲刚度及扭转刚度。
1 引言
汽车在不同的路面上行驶时,需要承受各种载荷的作用。车身刚度性能的好坏会直接影响汽车的行驶性能,例如,刚度不足会影响到车厢的密封性能,及汽车的NVH性能,甚至会影响到碰撞性能,因为汽车发生碰撞时,过大的车身变形会造成车门卡死、玻璃破碎等现象,进而威胁到驾驶舱中人员的安全。所以,车身结构刚度是车身性能评价的一个非常重要的指标。
在CAE领域,一个系统的研究涉及的工况较多,有时需要建立多套CAE网格模型,需要很多的人力成本、建模成本,模型管理起来也不方便。本文首先从焊点对单个零件的影响进行分析,包括焊点类型及焊点等效方法的研究,通过与实验进行对标,从而定义合理的焊点模拟形式,并将该焊点模拟形式及等效形式应用于整个白车身,分析其模态、弯曲刚度及扭转刚度。
2 焊点类型的研究
轿车的白车身主要由大量的覆盖件焊接而成,在CAE分析中,焊点的模拟方式种类很多,常用的焊点模拟类型有RBE2、BAR、CWELD、ACM,而选择不同的焊点模拟方式得到的仿真结果是有差异的。因此,首先建立一个简单的梁模型,通过14个焊点连接,网格尺寸大小采用20×20mm,仿真模型如图1所示,比较4种焊点的结果差异,从表1中可知,20×20mm的网格,ACM与实验值对标最好,后续分析将基于ACM焊点类型进行研究。
图1 仿真模型
表1 不同焊点类型的结果比较
3 等效ACM焊点研究
建立合理和准确的有限元仿真模型是保证正确仿真结果的前提条件。三维几何模型在进行有限元网格划分时,网格尺寸的选择会依据分析工况及企业(或个人)的常用标准而不同,常见的网格尺寸主要包括3×3mm,5×5mm,10×10mm及20×20mm四类。
根据以往的经验,白车身模态及整体刚度的有限元仿真计算时,采用20×20mm的网格尺寸,其仿真结果与实验对标较好。但在实际计算中,5×5mm的网格尺寸应用较多,因此可以采用ACM焊点等效的思路,基于5×5mm网格尺寸来获得20×20mm 的网格尺寸的仿真结果,进而达到利用一套网格计算多个工况的目的,为后续网格工作减少工作量。
ACM焊点等效的原则是焊点的影响区域要与20×20mm网格焊点影响区域一致,首先保持焊点的刚度值不变,然后对焊核直径及弹性模量进行等比例的缩放。
在前处理软件HyperMesh建立如图2所示所示的模型,模型的网格尺寸为5×5mm,对焊点进行处理,将焊核直径放大四倍到20mm,弹性模量同样进行一定比例的缩放。针对20mm×20mm网格模型,焊点直径为4mm,影响区域为一个网格单元,面积为400mm2;5×5mm网格模型,同样直径的焊点影响区域为4个网格单元,面积只有100mm2;经过焊点等效后的5×5mm网格模型影响区域为16个网格单元,面积为400mm2,焊点的影响区域与20mm网格模型一致。针对不同尺寸的模型,通过OptiStruct求解器求解计算模态值,利用HyperView查看模态结果,表2给出了5×5mm等效焊点的前5阶模态仿真值,与实验值的最大差异为4.45%,表明等效ACM焊点的正确性。
图2 焊点等效模型
表2 焊点等效的结果比较
4 等效ACM焊点对白车身模态及刚度的影响研究
本研究是基于上述的研究结果,在HyperMesh中建立某车型的白车身网格模型,采 用5mm×5mm的网格,利用等效的ACM焊点进行建模,某轿车的白车身有直径为4mm及6mm两种焊点,等效后的4mm及6mm焊点直径为20mm及30mm,保持焊点的拉伸刚度不变,弹性模型由210000GPa变为8400GPa,如图3所示,对该轿车的白车身有限元模型进行包括模态、扭转刚度及弯曲刚度分析。
图3 白车身模型
4.1 白车身模态分析
汽车行驶在不同的路面上,会受到外界的冲击作用,当外界的激励频率接近或达到白车身局部或整体的固有频率时,会使车身件发生共振,产生噪音,影响其舒适性,严重时会引起车身件的振动疲劳破坏。因此,有必要对白车身进行模态响应分析,特别是一阶整体扭转模态,进而根据标准要求或经验对模态进行评价,避免共振的发生。
一阶扭转模态是白车身关注的重要模态,企业标准要求一阶扭转模态大于43Hz。为了提高计算效率,将模态频率设定在0-50Hz范围内,利用Nastran线性分析软件进行该白车身的有限元模态分析,经计算得到的一阶扭转模态为44.09Hz,结果如下图4所示。
实验采用多点激振、多点响应的方法提取白车身的模态。用软绳在前悬架支承区域和后保险杠防撞梁区域将车身悬吊起来。在白车身区域选取激励点,同时对x、y、z三个方向分别进行激励,并测试出激励点处x、y和z向的加速度响应,计算传递函数,对传递函数求平均,进行模态定阶。实验测得一阶扭转模态值为43.6Hz,振型如图4所示。
一阶扭转模态的仿真值为44.09Hz,实验值为43.6Hz,误差不超过2%,对标性较好。基于5×5mm的网格采用等效acm焊点模型可以用于白车身的模态计算。
图4 白车身模态分析及实验结果
4.2 白车身扭转刚度分析
汽车行驶在凸凹不平的路面时,车身将产生扭转变形。扭转刚度(K)用于表示车身抵抗扭转载荷的能力,用式(1)进行计算,车身扭转刚度通常用车身扭转角来衡量。
式中:M为所施加的力矩,M=1000N·m;
dfl,dfr分别为前悬架支撑处变形量绝对值;
drl,drr分别为后悬架支撑处变形量绝对值;
Yf,Yr分别为前轴、后轴悬架支撑处的距离。
利用专业的前处理软件HyperMesh,采用惯性释放的方法,在前后悬架支撑处均施加1000N·m的力矩,输出纵梁Z方向的变形。仿真计算得到最大扭转角在前部,相对扭转角为0.76mrad,扭转刚度为22680N·mm/deg。如图5所示,图中横坐标为车身纵梁的X坐标,纵坐标为各测量点的扭转角度。
扭转刚度实验边界为后部连接处完全固定,无自由度;前部通过三角支架与台架的横梁刚性铰接,横梁在YZ平面内可以自由旋转。选择测量点的位置时,尽量选能体现总体刚度的部位,根据要求并结合经验在左右纵梁下布置了30个位移测点,使用百分表测量各测点的Z向位移情况,如图5所示。先按最大载荷预加载,卸载后分级施加载荷,加到最大载荷后再分级卸载,升程、回程都读取位移值,取其平均值。实验测得的扭转刚度值为22000N·mm/deg。
从上面结果可知,扭转刚度的仿真值与实验值误差在2%以内,对标性较好。基于5×5mm的网格采用等效acm焊点模型可以用于白车身的扭转刚度计算。
图5 白车身扭转刚度分析及实验结果
4.3 白车身弯曲刚度分析
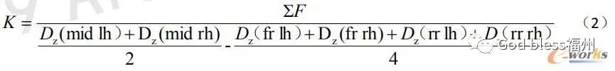
汽车行驶在凸凹不平的路面时,车身也将产生弯曲变形。弯曲刚度(K)用于表示车身抵抗弯曲载荷的能力,用式(2)进行计算。车身弯曲刚度通常用纵梁最大垂直挠度来衡量。
式中:∑F为车身所受的垂直外载荷;
DZ(mid lh),DZ(mid rh)分别为为中部左右两端的Z向变形;
DZ(fr lh),DZ(fr rh)分别为前端左右两端的Z向变形;
DZ(rr lh),DZ(rr rh)分别为后端左右两端的Z向变形。
通过前处理软件HyperMesh建立弯曲刚度计算模型,其中,对后悬架弹簧支座区域3个平动自由度(XYZ方向)进行约束,对前悬架弹簧支座区域1个平动自由度(Z向)进行约束;在前后座椅H点分别施加1667N的力,从而输出纵梁Z方向的变形。仿真计算模型及仿真曲线如图6所示,曲线图中,横坐标表示车身纵梁的X坐标,纵坐标表示各测量点的垂直方向变形量。
弯曲刚度实验边界为将白车身的前后、左右悬置点部位放置在支撑柱和支撑座上。支撑柱置于实验平板之上,并用压板固紧。加载点位于前、后座椅H点前(-X方向)200mm的门槛处。在加载点的正上方放置与待试白车身相对应的加载块,在加载装置液压缸伸出的活塞杆的前端安装带有平面的接头,安装加载装置使液压缸活塞杆的轴线与加载块上平面垂直,使活塞杆接头平面与加载块上平面吻合。几个活塞杆作动器的载荷从零缓慢增加,应确保在实验加载时段的任一时刻每个作动器的载荷是相等的。当每个加载点的力等于1667N时,保持每个加载点的力不变,测量开始,测量完成后卸载。
在左、右门槛铅垂方向变形可能最大的中间部位安装百分表,在左右纵梁其它地方分别安装12个百分表,在加载过程中测量变形情况,记录加载力等于1667N时纵梁的变形量f,实验如图6所示。
弯曲刚度实验结果为40989N·mm/deg和CAE分析结果为39500N·mm/deg,误差在5%以内,基于5×5mm的网格采用等效acm焊点模型可以用于白车身的弯曲刚度的计算。
图6 白车身弯曲刚度分析及实验结果
5 总结
本文对焊点类型进行了研究,找出合理的焊点等效方法,并应用于汽车白车身的分析,将CAE分析值与实验方法获得的实验值进行比较,得出基于5×5mm的网格采用等效acm焊点模型计算的白车身模态、扭转刚度及弯曲刚度值与实验值之间的误差均在5%以内,一致性较好。研究结果对于指导白车身的设计与开发工作有参考价值,也有助于缩短开发周期。
本文来源于互联网,天佑有限元本着传播知识、有益学习和研究的目的进行的转载,为网友免费提供,并已尽力标明作者与出处,如有著作权人或出版方提出异议,本站将立即删除。如果您对文章转载有任何疑问请告之我们,以便我们及时纠正。联系方式:QQ785980159,邮箱785980159@qq.com
福州天佑信息技术咨询有限公司是一家以计算机辅助工程CAE为主业,集CAE师徒教学,CAE计算分析,CAE咨询、CAE培训为一体的高科技企业。公司精心凝聚36位来自不同领域的CAE技术背景和工程经验的资深专家,为客户提供高水平的CAE工程咨询、培训、教学等服务;包括ANSYS,Abaqus,COMSOL的结构有限元分析,流体与热分析,电磁场分析,优化设计分析,声学分析光学分析,zemax、 speos的光学计算等。已为航天、汽车、机械、电子、新能源、医疗等行业的完成了大量的CAE分析咨询项目,得到了客户的高度认可。企业使命:为中国制造输送灵魂设计师,助力中国智造。企业愿景:CAE 应用方案解决。
工程师必备
- 项目客服
- 培训客服
- 平台客服
TOP




















