药物合成工艺路线的设计和选择PPT
2021年11月23日 11:42
全合成(total synthesis)与半合成(semi synthesis)。
权宜路线(expedient route)和优化路线(optimal route)。
优化路线研究的主要对象包括即将上市的新药,化合物专利即将到期的药物和产量大、应用广泛的药物。
优化路线必须具备质量可靠、经济有效、过程安全、环境友好等特征。
药物合成工艺路线的研究内容涵盖合成工艺路线的设计和合成工艺路线的选择两方面。
一、逆合成分析法
(一)逆合成分析法的基本概念与主要方法
逆合成分析法(retrosynthetic analysis),又称切断法(the disconnection approach)和追溯求源法,是有机合成路线设计的最基本、最常用的方法。
逆合成分析法的突出特征是逆向逻辑思维,从复杂的目标分子推导出简单的起始原料的思维过程,与化学合成的实际过程刚好相反,因此被称为“逆”合成,或“反”合成。
当代有机合成化学大师、哈佛大学E. J. Corey教授于上世纪60年代正式提出了逆合成分析法。Corey提出了切断(disconnection)、合成子(synthon)和合成等价物(synthetic equivalent)等概念。
逆合成分析的过程可以简单地概括为:以目标分子的结构剖析为基础,将切断、确定合成子、寻找合成等价物三个步骤反复进行,直到找出合适的起始原料。
(二)逆合成分析法的关键环节与常用策略
在使用逆合成分析法进行药物合成工艺路线设计的过程中,切断位点的选择是决定合成路线优劣的关键环节。
切断位点选择要以化学反应为依据,即“能合才能分”。在药物合成路线设计的实际工作中,通常选择分子骨架中方便构建的碳-杂键或碳-碳键作为切断位点。
掌握的化学反应方面的知识越全面,合成路线的设计思路就越开阔。
在设计药物合成工艺路线时,通常希望路线尽量简捷,以最少的反应步骤完成药物分子的构建。但需要特别注意的是,追求路线的简捷不能以牺牲药物的质量为代价,必须在确保药物的纯度等关键指标的前提下,去考虑合成路线的长短、工艺过程的难易等因素。
在路线设计的过程中,要求设计者对反应(特别是关键反应)的选择性有充分了解,尽量使用高选择性反应,减少副产物的生成。必要时,需采用保护基策略,提升反应的选择性,以获取高质量的产物。
杂环是构成有机化合物的重要结构单元。在已知的有机化合物中,杂环化合物约占65%。
杂环是药物中极为常见的结构片段,在肿瘤、感染、心血管疾病、糖尿病等重大疾病的治疗药物中屡见不鲜。
在利用逆合成分析方法设计含杂环药物合成路线的过程中,一种方式是将杂环作为独立的结构片段引入到分子中;另一种方式是将杂环作为切断对象,选择杂环中的特定价键为切断位点,通过构建杂环来完成目标分子的合成。
(三)利用分子对称性进行逆合成分析方法与策略
在设计这些目标分子的合成路线时,可巧妙利用其分子对称性,选择合适的位点进行切断,使两个(或几个)合成子对应于同一个合成等价物,或使一个(或几个)合成子对应于具有分子对称性的合成等价物,从而大幅度简化逆合成分析过程,设计出简捷、高效的合成路线。这种合成路线设计方法被称为分子对称法,它是逆合成分析法的一种特例。
(四)逆合成分析法在半合成路线设计中的应用
在现有的化学合成药物中,采用全合成方法制备的占大多数,但使用半合成方法制备的药物并不少见,尤其是抗感染药物、抗肿瘤药物和激素类药物。
在利用半合成设计思路进行逆合成分析时,需要头尾兼顾,使逆合成过程最终指向来源广泛、价格低廉、质量可靠的天然产物原料。这些天然产物多为微生物代谢物,亦可来自植物或动物。
(五)逆合成分析法在手性药物合成路线设计中应用
在利用逆合成分析法设计手性药物合成路线的过程中,除了考虑分子骨架构建和官能团转化外,还必须考虑手性中心的形成!
在手性药物的合成中,一种途径是先合成外消旋体、再拆分获得单一异构体,另一种途径是直接合成单一异构体。
使用外消旋体拆分途径,合成路线的设计过程与常规方法相同,但要求所使用的拆分方法必须高效、可靠。
直接合成单一异构体的途径主要包括两类技术方法:手性源合成技术和不对称合成技术。
手性源(chirality pool)合成技术是指以廉价易得的天然或合成的手性化合物为原料通过化学修饰方法转化为手性产物。
与手性原料相比较,产物手性中心的构型既可能保持,也可能发生翻转或转移。
在设计手性药物合成路线时,一定要对完成手性中心构建后的各步化学反应以及分离、纯化过程加以细致的考虑,保证手性中心的构型不被破坏,最终获得较高纯度的手性产物。
二、模拟类推法
(一)模拟类推法的基本概念与主要方法
在药物合成工艺路线设计过程中,除了使用以逻辑思维为基础的逆合成分析法外,还可应用以类比思维为核心的模拟类推法。
药物合成工艺路线设计中模拟类推法由“模拟”和“类推”两个阶段构成。
在“模拟”阶段,首先,要准确、细致地剖析药物分子(目标化合物)的结构,发现其关键性的结构特征;其次,要综合运用多种文献检索手段,获得结构特征与目标化合物高度近似的多种类似物及其化学信息;再次,要对多种类似物的多条合成路线进行比对分析和归纳整理,逐步形成对文献报道的类似物合成路线设计思路的广泛认识和深刻理解。
在“类推”阶段,首先,从多条类似物合成路线中,挑选出有望适用于目标化合物合成的工艺路线;其次,进一步分析目标物与其各种类似物的结构特征,确认前者与后者结构之间的差别;最后,以精选的类似物合成路线为参考,充分考虑药物分子自身的实际情况,设计出药物分子的合成路线。
对于作用靶点完全相同、化学结构高度类似的共性显著的系列药物,采用模拟类推法进行合成工艺路线设计的成功概率往往较高。模拟类推方法不但可用于系列药物分子骨架的构建,而且可扩展到系列手性药物手性中心的构建。
(二)模拟类推法的适用范围与注意事项
药物合成工艺路线设计中的模拟类推法作为以类比思维为核心的推理模式,有其固有的局限性。
某些化学结构看似十分相近的药物分子,其合成路线并不相近,有时甚至相差甚远。
在利用模拟类推法进行药物合成工艺路线设计时,一定做到“具体问题,具体分析”。在充分认识多个药物分子之间的结构共性的同时,需深入考察每个药物分子本身的结构特性。
如果药物分子间的结构共性占据主导地位,有机会直接采用模拟类推法设计合成工艺路线,即可大胆采用;如果某个药物分子的个性因素起到关键作用,无法进行直接、全面的模拟类推,则可进行间接、局部的模拟类推,在巧妙地借鉴他人的成功经验基础上,独立思考,另辟蹊径,创立自己的新颖方法。
一、工艺路线的评价标准
具有良好工业化前景的优化合成工艺路线必须具备质量可靠、经济有效、过程安全、环境友好等基本特征。
从技术的角度分析,优化合成工艺路线的主要特点可概括如下:汇聚式合成策略、反应步骤最少化、原料来源稳定、化学技术可行、生产设备可靠、后处理过程简单化、环境影响最小化。以上特征,是评价化学制药工艺路线的主要技术指标。
在此需要特别指出的是:最终路线的确定受到经济因素的显著制约。在考察上述技术指标的基础上,必须对工艺路线的综合成本做出比较准确的估算,挑选出高产出、低消耗的路线作为应用于工业生产的实用工艺路线。
与直线式合成法相比,汇聚式合成法具有一定的优势:
(1)中间体总量减少,需要的起始原料和试剂少,成本降低;
(2)所需要的反应容器较小,增加了设备使用的灵活性;
(3)降低了中间体的合成成本,在生产过程中一旦出现差错,损失相对较小。
2.反应步骤最少化
在其它因素相差不大的前提下,反应步骤较少的合成路线往往呈现总收率较高、周期较短、成本较低等优点,合成路线的简捷性是评价工艺路线的最为简单、最为直观的指标。
以尽量少的步骤完成目标物制备是合成路线设计的重要追求,简捷、高效的合成路线通常是精心设计的结果。
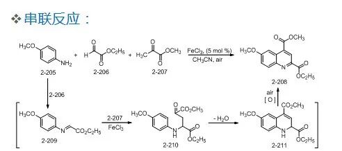
在一步反应中实现两种(甚至多种)化学转化是减少反应步骤的常见思路之一。
可以精心设计一些反应的顺序,使第一步生成的中间体引发后续的转化,产生串联反应(tandem reaction)或多米诺反应(domino reaction),大幅度地减少反应步骤,缩短合成路线。
串联反应是指将两个或多个属于不同类型的反应串联进行,在一瓶内完成。
多米诺反应是指串连反应中一个反应的发生可启动另一个反应,使多步反应连续进行。
3. 原料来源稳定
在评价合成路线时,应了解每一条合成路线所用的各种原辅材料的来源、规格和供应情况,同时要考虑到原辅材料的贮存和运输等问题。
有些原辅材料一时得不到供应,则需要考虑自行生产。
对于准备选用的合成路线,需列出各种原辅材料的名称、规格、单价,算出单耗(生产1kg产品所需各种原料的数量),进而算出所需各种原辅材料的成本和原辅材料的总成本,以便比较。
4. 化学技术可行
化学技术可行性是评价合成工艺路线重要指标。
优化的工艺路线各步反应都应稳定可靠,发生意外事件的几率极低,产品的收率和质量均有良好的重现性。各步骤的反应条件比较温和,易于达到、易于控制,尽量避免高温、高压或超低温等极端条件。
平顶型反应(plateau-type reaction):优化条件范围较宽的反应,即使某个工艺参数稍稍偏离最佳条件,收率和质量也不会受到太大的影响;
尖顶型反应(point-type reaction):如果工艺参数稍有变化就会导致收率、质量明显下降,则属于。
5. 生产设备可靠
在工业化合成路线选择的过程中,必须考虑设备的因素,生产设备可靠性是评价合成工艺路线的重要指标。
实用的工艺路线应尽量使用常规设备,最大限度地避免使用特殊种类、特殊材质、特殊型号的设备。
6. 后处理过程简单化
分离、纯化等后处理过程是工艺路线的重要组成部分,在工业化生产过程中,约占50%的人工时间和75%的设备支持。
在整个工艺过程中,减少后处理的次数或简化后处理的过程能有效地减少物料的损失、降低污染物的排放、节省工时、节约设备投资、降低操作者劳动强度并减少了他们暴露在可能具有毒性的化学物质中的时间。
压缩后处理过程的常用方法是反应结束后产物不经分离、纯化,直接进行下一步反应,将几个反应连续操作,实现多步反应的“一锅操作”(one-pot operation)。
使用“一勺烩”方法的前提条件是上一步所使用的溶剂和试剂以及产生的副产物对下一步反应的影响不大,不至于导致产物和关键中间体纯度的下降。
如果“一勺烩”方法使用得当,不仅可以简化操作,还有望大幅度地提升整个反应路线的总收率。
7. 环境影响最小化
环境保护是我国的基本国策,是实现经济、社会可持续发展的根本保证。
传统的化学制药工业产生大量的废弃物,虽经无害化处理,但仍对环境产生不良影响。
解决化学制药工业污染问题的关键,是采用绿色工艺,使其对环境的影响趋于最小化,从源头上减少甚至避免污染物的产生。
评价合成工艺路线的“绿色度”(greenness),需要从整个路线的原子经济性、各步反应的效率和所用试剂的安全性等方面来考虑。
原子经济性(atom economy)是绿色化学的核心概念之一,它被定义为出现在最终产物中的原子质量和参与反应的所有起始物的原子质量的比值。
原子经济性好的反应应该使尽量多的原料分子中的原子出现在产物分子中,其比值应趋近于100%。
二、工艺路线的选择
(一)工艺路线选择的基本思路与主要方法
首先,要以上节讨论的评价路线的主要技术指标为准绳,对每条路线的优势和不足做出客观、准确的评价;
随后,要对各路线的优劣、利弊进行反复的比较和权衡,挑选出具有明确工业化前景的备选工艺路线;
再经过系统、严格的研究、论证,最后确定最优路线,用于中试或工业化生产。
工艺路线的选择必须以技术分析为基础,以市场分析为导向,将技术分析和市场分析紧密结合起来,以求获得综合成本最低的优化工艺路线。
只有这样,才能使企业以较少的资源投入换取较多的利润回报,带来可观的经济效益;同时,为社会提供质优、价廉的医药产品,从而产生良好的社会效益。
(二)工艺路线选择中的专利问题
专利(patent)是受法律规范保护的发明创造,一项发明创造向国家审批机关提出专利申请,经依法审查合格后向专利申请人授予的在规定的时间内对该项发明创造享有的专有权。
专利权是一种专有权,这种权利具有独占的排他性。非专利权人要想使用他人的专利技术,必须依法征得专利权人的同意或许可。
一个国家依照其专利法授予的专利权,仅在该国法律的管辖范围内有效。专利权的法律保护具有时间性,专利权仅在特定的时间范围内有效。
目前执行的《专利法》为2008年12月27日颁布的第三次修订版。
我国专利法将专利分为三种,即发明、实用新型和外观设计。
发明是指对产品、方法或者其改进所提出的新的技术方案,主要体现在新颖性、创造性和实用性。
在化学制药工艺研究过程中,如果发现了明显不同于他人专利所描述的工艺路线或工艺方法,具备新颖性、创造性和实用性等特征,可以考虑申报新工艺发明专利,保护自己的发明创造,形成自主知识产权,力争产生经济效益。
在某些情况下,为了规避他人专利的保护范围,企业可能被迫去开发新的工艺路线。
开发最优工艺需要多年的时间和大量的资金投入,为了避免帮助竞争对手,几乎所有的企业皆不愿透露最优工艺相关的任何细节。
而专利法规定申请者需要描述专利的优化条件,使专利在申请时具体化,专利中必须包含相当多的工艺细节。企业会在专利申请过程中做巧妙的技术处理,适当扩大保护范围,覆盖却不暴露最优条件,既能拥有自主知识产权、防止他人侵权,又能保护核心技术机密、避免他人竞争。
工程师必备
- 项目客服
- 培训客服
- 平台客服
TOP




















