DIC与PIV到底有什么不同?
不哈奥意思,我鸽了,但是没全鸽。
DIC与PIV到底有什么不同?
在很多实用PIV的文章里面,都有政治正确一样踩一下DIC[1, 2],我其实厌倦这种割裂,那么DIC与PIV到底有什么区别,是不是两个东西呢?
DIC主要思想
以局部DIC(传统意义上DIC,区别于全局DIC[3])为例,其主要思想是将计算区域离散成独立图像子区,分别搜索图像子区的位置。变形前后的图像之间用相关系数公式(表1)进行计算,在搜索区域内,相关系数为峰值的地方就是目标子区的位置,目标子区的定位过程分为整像素搜索和亚像素匹配,这里面实际是优化方法的运用。
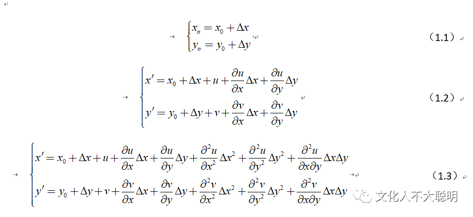
为了描述图像复杂的变形,DIC中采用了形函数,在未变形图像子区内有式(1.1)关系。图像子区的变形包含刚体位移、拉伸变形和剪切变形,在变形后目标子区可以用一阶形函数表示子区内点的坐标[4],如式(1.2)。对于更加复杂的变形模式需要高阶形函数[5],式(1.3)是二阶形函数。
 
  
DIC变形子区示意图
PIV主要思想
下图是广为使用的PIV的原理图[6],从原理图上看,图像子区没有用形函数,或者用的是零阶形函数。这篇文献中变形前后的图像的匹配采用的是傅里叶域互相关计算方法,亚像素定位方法采用的是曲面拟合方法。另外也有采用归一化互相关的计算图像子区之间相关性的文献[7]。
在PIV中,粒子的形状是不会改变的,但是粒子和粒子之间的位置会变化,因此,在piv中是没有研究形函数的,甚至将将光斑保持不变作为一个信息载体加入到算法中,因为光斑的光强在空间上服从高斯分布,因此如果两个粒子的光强高斯分布吻合上了,那么可以认前这是同一个粒子[8]。而现在在多数应用PIV的文献中,被测对象中粒子是不可能具有高斯分布分,如砂土或土[9]。为了适用连续对象的测量,文献[6, 10]将一阶形函数引入到了piv中,使得DIC与PIV的边界变得极为模糊。
Piv原理图
总结
很多对两种算法了解不多的人基于测量结果区分DIC与PIV,这其实是一个误区,DIC和PIV都能得到每个网格点在每一帧图像中的位置,从而都可以画出云图或者矢量图。时间在PIV中是需要要关注的量,这里的时间一般是通过照片的拍摄时间确定的,不是区分DIC与PIV的因素。
在变形前后相关系数的计算上面,DIC可以采用互相关、平方差和互相关、图像傅里叶域互相关计算方法,PIV采用较多的是傅里叶域互相关,但是PIV中也有用表1中互相关系数计算方法的,DIC也有在傅里叶域计算互相关系数的,因此这一点不能区分DIC和PIV。
也有人认为DIC不能做大变形,而PIV可以。PIV能够分析大变形是因为他默认采用的是叫增量分析的计算方法,即前后两帧图像进行计算,而DIC默认是全量计算,但是DIC是完全可以进行增量计算的,只是在计算过程中参考图像子区一直保持更新。
DIC在认识里面,确实是为了连续测量对象的变形场,甚至早期DIC将计算区域离散成单个图像子区做法导致得到的位移场连续但是不可导,还有人提出了基于有限元思想的DIC—全局DIC[3],这是接近连续材料的真实变形行为,而恰恰是较早期的局部DIC,能够容纳PIV,这也是为什么在岩土学科中以砂土为试验材料时候,即可见DIC,也有用PIV。在PIV里面,对算法本身的研究也与DIC非常接近了,如文献[11]。
在文献[12] 第二页有如下描述“it is worth noting that particle image velocity (PIV), which has been widely used in experimental fluidmechanics for tracking the velocities of particles seeded in fluids, is very similar to DIC in principle and implementation algorithm”,因此,在很早期,学术界已经有认识,即将DIC于PIV区别开来的意义不是非常大。
而在文献[13, 14]中,有类似的表述“Particle image velocimetry (PIV), also known as digital image correlation (DIC)”,已经完全不区分DIC和PIV,只是不同领域间交流太少,各自发展,故成今天之局面。
早期PIV将光源作为测量系统的一部分,比如用激光照射粒子,使粒子显现,这确实与DIC不同,但在现在多数场合,外加光源作为非必要选项时候,将采用零阶形函数和增量计算的局部DIC拿过去替代PIV算法是没毛病的。
总结来看,个人不建议强行割裂DIC与PIV,他们本质是一样的。
以上只是本人学术观点,世人可有自己的认识。
参考文献
[1] Sun J, Liu J. Visualization of Tunnelling-Induced Ground Movement in Transparent Sand. Tunnelling and Underground Space Technology, 2014, 40: 236-240
[2] Kanitz M, Hager A, Grabe J, et al. Numerical and Experimental Analysis of the Extraction Mechanism of an Anchor Plate Embedded in Saturated Sand. Computers and Geotechnics, 2019, 111: 191-201
[3] Sun Y, Pang J H L, Wong C K, et al. Finite Element Formulation for a Digital Image Correlation Method. Applied Optics, 2005, 44(34): 7357-7363
[4] Schreier H W, Sutton M A. Systematic Errors in Digital Image Correlation Due to Undermatched Subset Shape Functions. Experimental Mechanics 2002, 42: 303-310
[5] Lu H, Cary P D. Deformation Measurements by Digital Image Correlation: Implementation of a Second-Order Displacement Gradient. Experimental Mechanics, 2002, 40: 393-400
[6] White D J, Take W A, Bolton M D. Soil Deformation Measurement Using Particle Image Velocimetry (Piv) and Photogrammetry. Géotechnique, 2003, 53(7): 619-631
[7] Willert C E, Gharib M. Digital Particle Image Velocimetry. Experiments in Fluids 1991, 10: 181-193
[8] KEANE R D, ADRIAN R J. Theory of Cross-Correlation Analysis of Piv Images. Applied Scientific Research 1992, 49: 191-215
[9] KHOSRAVI M H, PIPATPONGSA T, TAKAHASHI A, et al. Arch Action over an Excavated Pit on a Stable Scarp Investigated by Physical Model Tests. soils and Foundations, 2011, 51(2): 723-735
[10] Scarano F. Iterative Image Deformation Methods in Piv. Measurement Science and Technology, 2001, 13
[11] Pinyol N M, Alvarado M. Novel Analysis for Large Strains Based on Particle Image Velocimetry. Canadian Geotechnical Journal, 2017, 54(7): 933-944
[12] Pan B, Qian K, Xie H, et al. Two-Dimensional Digital Image Correlation for in-Plane Displacement and Strain Measurement: A Review. Measurement Science and Technology, 2009, 20(6)
[13] Chatellier L, Jarny S, Gibouin F, et al. A Parametric Piv/Dic Method for the Measurement of Free Surface Flows. Experiments in Fluids, 2013, 54(3): 1488
[14] Motamedinia H, Hataf N, Habibagahi G. A Study on Failure Surface of Helical Anchors in Sand by Piv/Dic Technique. International Journal of Civil Engineering, 2018, 17(12): 1813-1827
 工程师必备
-  项目客服
 -  培训客服
 -  平台客服
 
TOP
 



















