哈工大《CS》:具有形状记忆能力的3D打印连续纤维增强复合波纹夹芯结构的弯曲性能及失效行为研究
2021年12月8日 11:07浏览:4056 评论:4 收藏:17
内容简介
6 波纹角的影响
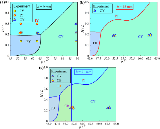
8 失效机制图
9 形状记忆属性
10 与常规夹芯结构对比
小结
原始文献:Zeng Chengjun , Liu Liwu, Bian Wenfeng, Leng Jinsong, Liu Yanju.Bending performance and failure behavior of 3D printed continuous fiber reinforced composite corrugated sandwich structures with shape memory capability[J].Composite Structures,2021,262:113626.
稿件整理:caixf95 (感谢投稿)
欢迎关注“复合材料力学”微信公众平台
复合材料力学 | 原创作品 | 未经允许不得转载
【01】:历史文章 【02】:投稿指南 【03】:视频资料
【04】:材料库 【05】:技术培训 【06】:项目合作
【07】:商务合作 【08】:文章转载 【09】:加入我们
【10】:联系我们 【11】:交流群 【12】:意见建议
技术邻APP
工程师必备
工程师必备
- 项目客服
- 培训客服
- 平台客服
TOP
13
4
17




















