北京化工大学隋刚教授《Adv. Sci.》:原位构筑聚1,3-二氧戊环基电解质用于安全的锂金属电池
2021年12月15日 10:43液体电解质(LE)不仅存在泄露和可燃性问题,而且在锂金属电池(LMB)充放电过程中存在枝晶锂的生成和过热现象,造成可怕的安全隐患。而由功能性的聚合物骨架材料和液体电解质构成的凝胶聚合物电解质(GPE)拥有高的离子电导率,高的锂离子迁移数,宽的电化学窗口和稀少的电解液泄露等优势,被广泛深入地研究。北京化工大学材料学院隋刚教授近年来已经开发了多种性能优异的凝胶聚合物电解质材料,可应用于不同电池体系如高压的三元NCM和钴酸锂电池,锂硫电池,锰酸锂电池等(Adv. Energy Mater. 2018, 8, 1702561; Chem. Eng. J. 2019, 370, 1068–1076; J. Membrane Sci. 2019, 588, 117194; ACS Sustainable Chem. Eng. 2016, 4, 4498−4505; J. Mater. Chem. A, 2016, 4, 12136-12143; J. Membrane Sci. 2015, 492, 77-87; J. Power Sources 2014, 267, 309-315),获得相关授权专利近20项,并受邀撰写凝胶聚合物电解质研究工作综述(J. Energy Chem. 2019, 37, 126-142)。在这里,通过新型的原位聚合方法将其中的低闪点、易燃烧、易泄露的LE转换为高分子量的聚合物,将进一步地提升电池的安全性能,同时有效解决了固态电解质和电极的界面接触问题。该原位聚合工艺路线简单易行,有望应用于目前的电池行业,
近期,北京化工大学材料学院隋刚教授的最新研究成果“通过原位构建的自增强凝胶聚合物电解质实现安全的锂金属电池”(Self-enhancing gel polymer electrolyte by in-situ construction for enabling safe lithium metal battery)发表在Advanced Science,论文的第一作者为北京化工大学博士研究生陈栋莉。
通过在聚多巴胺修饰的纳米纤维膜(PDA/PVDF-HFP)中原位聚合1,3-二氧戊环(DOL)来构筑自增强的GPE,以实现高安全的凝胶LMB。目前,一些工作已经报道了原位制备的聚1,3-二氧戊环电解质(PDOL)可以显着提高LMB的界面兼容性。与商业聚烯烃隔膜相比,静电纺丝形成的纳米纤维膜孔隙率高且分布均匀,与DOL单体溶液具有更好的亲和力,有利于提高离子电导率。DOL前驱体溶液被牢固地吸收在多孔膜中,从而很好地膨胀PVDF-HFP链。聚合后无有机液体残留的GPE保证了电池足够的安全性。此外,PDA的修饰有效解决PVDF-HFP膜吸液后皱缩,机械强度变差的问题,且与PDOL及阴离子(TFSI-1)之间可形成氢键,显着提高了GPE的机械强度、离子电导率和迁移数。同时,利用分子动力学模拟(MD)揭示了复合电解质同时取得高离子电导率和机械性能的内部因素。最后实验证实使用该自增强的GPE的LiFePO4//Li在高电流密度下表现出优异的循环稳定性和抑制锂枝晶的能力。在2 C电流密度下循环800圈后容量保持率为83.2%,平均每圈的容量损失为0.021%。组装的锂对称电池在0.5 mA/cm2电流密度下稳定运行800 h以上。
图1原位形成PDOL@PDA/PVDF-HFP凝胶聚合物电解质的制备流程
纤维膜表面的PDA层一方面与PDOL存在分子间的氢键相互作用,提高机械强度;另一方面其含O基团还为Li+提供了相对松散的结合位点,通过与TFSI-1阴离子相互作用以促进锂盐的溶解,获得高的离子电导率。
由于PDOL和PDA分子之间的氢键相互作用(图1),PDA分子之间的相互作用减弱,因此-OH/-NH宽峰越来越小(图2a)。PDA还可以与TFSI-1阴离子相互作用以促进锂盐的溶解,和LiTFSI盐聚集态相关的峰在PDA引入后显着降低(图2c)。对PDA与PDOL界面相的Li+扩散模拟,发现PDA的引入是有利于Li+的解离,游离Li+的浓度显著增加,这表明PDA的引入促进了锂阳离子的溶解,从而提高了离子电导率和迁移数。PDA上的含O基团还为Li+提供了相对松散的结合位点,有利于Li+的传输。MD模拟进一步揭示了PDA和PDOL之间的相互作用。在图2d中,PDOL上O原子与PVDF-HFP或PP中原子的径向分布函数(RDF)中没有出现明显的峰。相反,PDOL上O原子和PDA上H原子之间的RDF分别在1.7 Å和2 Å处显示出两个不同的峰,表明在PDOL链周围出现PDA上的原子可能性更高,反映了PDA/PVDF-HFP体系中存在明显的分子间强相互作用。这也与FTIR的结果一致。解释了PDOL@PDA/PVDF-HFP GPE比另外两种GPEs更好的机械性能原因。
PVDF-HFP膜在吸收前驱体溶液后易于收缩,没有自支撑能力。通过在纤维表面原位生长PDA层以提高膜的自支撑能力,吸液前后膜的尺寸没有发生变化。接触角测试结果显示,相比于非极性的商业化PP膜,前躯体溶液快速地在极性的PVDF-HFP和PDA/PVDF-HFP纤维膜表面铺展,与前躯体溶液的亲和性和浸润性能优异。由于森林状的静电纺丝膜具有多重曲折的孔洞结构,有利于捕获前驱体溶液,允许更多的Li+在3D复合电解质内自由传输。
图2. 原位制备的PDOL@PDA/PVDF-HFP GPE同时拥有高的离子电导率和力学强度。a) DOL、PDOL,PVDF-HFP膜, PDA/PVDF-HFP膜和其复合PDOL后GPE的FTIR光谱及b, c)它们的局部放大图;d) PDOL中O原子与PP, PVDF-HFP, PDA/PVDF-HFP上原子的径向分布函数g(r);e) 从MD模拟中获得的快照;f) 链运动过程中PDOL链与不同膜的链之间的相对位置变化示意图;g) 三种膜与电解液的接触角;h) 不同膜和不同GPE的应力-应变曲线。
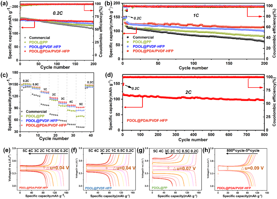
由前文得知PDA上的极性基团与PDOL上的含氧基团间的相互作用,促进阳离子的溶解,提高了自由Li+浓度,PDA为Li+提供了额外的传输通道,因此PDOL@PDA/PVDF-HFP GPE具有高离子电导率和t+,这有效地降低Li+的浓度极化从而抑制锂枝晶的形成,实现大倍率地充放电。组装的LiFePO4//Li电池在1 C下循环200圈后容量保持率为96.03%,比容量为144.6 mAh g-1。在2 C电流密度下循环800圈后容量保持率为83.2%,每圈的容量损失为0.021%。组装成Li对称电池在0.5 mA/cm2电流密度下稳定运行800 h以上,并显现出更小的稳定极化电压0.02 V,提升电流密度至1 mA/cm2工作250 h以后仍拥有小且稳定的极化电压0.025 V,表现出优异的循环稳定性和抑制锂枝晶的能力。
图3. 原位制备的GPE的电池性能。a、b、d) 25℃下不同电流密度下的LiFePO4//Li电池的循环性能和c)倍率性能;e、f、g、h)电池在不同电流密度下和不同循环次数下的充放电电压曲线。
图4. 采用不同电解质组装的锂对称电池的长期循环和倍率性能。a) 0.5 mA cm-2 下的长循环; c) 1 mA cm-2(插图为三个时间段的放大电压曲线);b) 倍率性能;d) 组装成的软包电池在被切割后仍然点亮LED灯。
在这项研究中,通过将原位聚合的PDOL与纳米纤维膜相结合,设计了一种具有3D结构的新型柔性和安全的聚合物电解质。PDA改性的多孔膜不仅为DOL提供了足够的聚合空间,而且与PP膜相比,对前驱体具有更好的亲和性和润湿性,有利于PDOL与纳米纤维交织形成均质电解质。此外,PDA可以增强PVDF-HFP 膜并调节Li+离子沉积。PDA上的极性基团可以与PDOL上的含氧官能团形成氢键,有利于提高机械强度和高离子电导率。同时,它可以防止末端羟基与锂金属之间的副反应,有利于电化学稳定性。这种巧妙的策略有望制造出性能先进、安全性高的LMB,与当前的电池生产兼容。
该工作得到了国家自然科学基金(No.51873011),国家重点研发计划(2020YFC1910200)和上海市青年科技英才扬帆计划的支持和资助(21YF1430100)。
文献链接:Self-Enhancing Gel Polymer Electrolyte by In Situ Construction for Enabling Safe Lithium Metal Battery.(Adv. Sci. 2021,DOI: 10.1002/advs.202103663)
https://onlinelibrary.wiley.com/doi/10.1002/advs.202103663
本文由北京化工大学先进复合材料研究中心提供,特此感谢!
工程师必备
- 项目客服
- 培训客服
- 平台客服
TOP




















