【知识分享】关于“电感”,你应该知道的知识点
2021年12月23日 09:42磁性元件的设计是开关电源设计中的重点和难点,究其原因是磁性元件属非标准件,其设计时需考虑的设计参数众多,工艺问题也较为突出,分布参数复杂。硬件工程师应该充分了解磁性元件,优化设计并减少设计中的错误。
1 电磁学基本概念及公式
1.1 基本概念
1)磁通:穿过磁路的磁力线的总数,以Ф表示,单位韦伯(Wb)。
2)磁通密度(磁感应强度):垂直于磁力线的方向上单位面积的磁通量,以B表示,单位高斯(Gauss)或特斯拉(T),1 T=104Gauss。
3)磁场强度:单位磁极在磁场中的磁力,以H表示,单位安[培]每米(A/m)或奥斯特(Oe),1 Oe=103/4π A/m。
4)磁导率:磁通密度与磁场强度之比,以μ表示,实际使用中通常指相对于真空的磁导率,真空中的磁导率μ0 =4π×10-7 H/m。
5)磁体:磁导率远大于μ0的物质,如铁,镍,钴及其合金或氧化物等。
6)居里温度点:磁体在温度升高时,其磁导率下降,当温度高到某一点时,磁性基本消失,此温度称为居里温度点。
7)磁势:建立磁通所需之外力,以F表示。
8)自感:磁通变化率与电流变化率之比称自感,以L表示。
9)互感:由于A线圈电流变化而引起B线圈磁通变化的现象,B线圈的磁通变化率与A线圈的电流变化率之比称为A线圈对B线圈的互感,以M表示。
1.2 基本公式
环形铁心的铁窗面积(A)与磁路长度(l)示意图
法拉第电磁感应定律:
穿过闭合回路的磁通发生变化,回路中会产生感应电流。如果回路不闭合,无感应电流,但感应电动势依然存在,感应电动势的大小:
电学与磁学的对偶关系表:
2 磁元件的基本特性
2.1 磁滞效应(Hysteresis Effect):
磁化过程中,磁通密度B的变化较磁化力F的变化迟缓的现象称为磁滞。
2.2 霍尔效应(Hall Effect):
流过电流的导体穿过磁场时,在导体两端产生感应电势的现象,称为霍尔效应。
2.3 临近效应(Proximity Effect)
流过电流的导线会产生磁场,相邻的导线在相互的磁场(也可以是外加磁场)作用下会产生电流挤到导体一边的现象成为临近效应。相邻层的导线若电流方向相同,电流会往外侧挤,相邻层的导线若电流方向相反,电流会往外内侧挤,如下图所示。临近效应会导致导体的利用率下降,铜损增加(与趋肤效应类似)。
2.4 磁材料的饱和
随着磁性材料中的磁场强度增加,其磁通密度也增大,但当磁场强度大到一定程度时,其磁通不再增加(见图3.1磁滞回线的Bs),这称为磁饱和。
2.5 磁芯损耗
磁芯损耗主要由磁滞损耗和涡流损耗组成。
单位体积内的磁滞损耗正比与磁场交变的频率f 和磁滞回线的面积。
涡流损耗是指当通过磁芯的磁通交变时,会在磁芯中感应电势,该电势进而在磁芯中产生电流,从而产生损耗,它与磁芯材料的电阻率有关,与频率f 也有关。
3 电感磁芯的分类及特点
3.1 磁芯材料的分类及其特点
3.1.1 铁氧体(Ferrite)
以Fe2O3为主成分的亚铁磁性氧化物,有Mn-Zn、Cu-Zn、Ni-Zn 等几类,其中Mn-Zn 最为常用。
优点:成型容易,成本低,电阻率高,高频损耗较小。
缺点:饱和磁通较低(4000~5000高斯) ,居里温度点较低。
多适于10K-500KHz频率,较低功率的应用。常用作高频变压器,小功率的储能电感等。高磁导率的铁氧体也常用作EMI共模电感。常用的材质有TDK公司的PC40,TOKIN公司的BH2,Siemens公司的N67,Philips公司的3C90等。
3.1.2 硅钢片(Silicon Steel)
在纯铁中加入少量的硅(一般在4.5%以下)形成的铁硅系合金
优点:易于生产,成本低,饱和磁通较高(约12000高斯)。
缺点:电阻率低,高频涡流损耗大。
一般使用频率不大于400Hz,在低频、大功率下最为适用。常用做电力变压器,低频电感,CT等。常用材质有新日铁公司的取向硅钢Z11(35Z155)。
3.1.3 铁镍合金(又称坡莫合金或MPP)
坡莫合金常指铁镍系合金,镍含量在30~90%范围内。
优点:磁导率很高,损耗很低,高频性能好
缺点:成本高
由于成本过高,目前公司内未使用。
3.1.4 铁粉芯(Iron Powder)
铁粉芯是由铁磁性粉粒与绝缘介质混合压制而成的一种软磁材料,存在分散气隙(效果类似与铁磁材料开气隙)。常用铁粉芯是由碳基铁磁粉及树脂碳基铁磁粉构成。
优点:磁导率随频率的变化较为稳定,随直流电流的变化也相对稳定,成本较低。
缺点:磁导率低,高频下损耗高,有高温老化问题。
因其直流电流叠加性能好,常用于工频或直流中叠加高频成份的滤波和储能电感,如PFC电感,INV电感,BUCK电路的储能电感。常用材质为MircoMetals公司的-8、-26、-34、-35系列。
3.1.5 铁硅铝粉芯(又称Sendust或Kool Mu)
构成:由约9%Al,5%Si, 85%Fe 粉构成。
优点:损耗较低,性价比较优。
缺点:价格比铁粉芯略高。
其直流电流叠加性能较好,损耗较铁粉芯低,可代替铁粉芯作为UPS中PFC的电感和逆变器的输出滤波电感。常用材质为Magnetics公司的Kool Mu系列,以及Arnold公司的Sendust(Super-MSS)系列。
3.2 磁芯的外形分类:
上图磁芯的组合便可形成完整的Core。
常用Core的外形有:EE、EI、ETD、DR、TOROID
3.3 电感的结构组成
3.3.1 环型电感
注:磁芯表面必须有覆盖层(Coating)或用绝缘Tape缠绕以做绝缘,未Coating的磁芯一般呈灰黑色。
3.3.1 EE型电感/变压器
3.4 电感磁芯主要参数说明
4、电感设计原则
4.1 原则一:电感不饱和(感值下降不超出合理范围)
由磁滞回线图可以看出,H加大时,B值也同时增加,但H加大到一定程度后,B值的增加就变得越来越缓慢,直至B值不再变化(u值越来越小,直至为零),这时磁性材料便饱和了。通常电路中使用的电感都不希望电感饱和(特殊应用除外),其工作曲线应在饱和曲线以内,Hdc称为直流磁场强度或直流工作点。
对于储能滤波电感,由于需要承受一定的直流电流(低频电流相对与高频开关电流也可视为直流),也就是存在直流工作点Hdc不为零。磁芯需加气隙才能承受较大的直流磁通,如下图,所以该类电感通常选用铁粉芯做磁芯(有分散气隙)。
铁粉芯的磁导率与直流磁场强度关系图
由于磁芯加了分布气隙,其饱和过程就不是一个突变而是一个渐变的过程,所以电感的不饱和问题就转化为电感感值在直流量下的合理下降问题。
对于PFC、BOOST、BUCK的电感,电感的取值通常由设计要求最大纹波电流(Ripple Current)来决定(通常设计指标是最大纹波电流百分比)
。
其中,对于BUCK和DC-DC电感,其直流工作点(IAVG)相对恒定,如图
可从磁芯厂商提供的图表或计算公式得到。通常,无论如何设计,在最大直流工作点处,都不应低于初始磁导率的30%,否则将导致感值摆动太大而对控制器产生不利影响。
对于PFC、BOOST电感,其直流工作点是50Hz/60Hz的工频信号,并不固定,如下图。
此时,最大纹波电流百分比定义为最大纹波电流与额定输入电压下的电感电流峰值之比。
4.2 原则二:电感损耗导致的温升在允许的范围内(考虑使用寿命)
电感主要由磁芯、线圈组成,所以其温度要求也由这两方面的限制构成。
磁芯(Core):
储能电感的磁芯有铁粉芯、铁硅铝粉芯、铁氧体等构成,目前使用最多的是铁粉芯。铁粉芯存在高温老化导致失效的问题,其失效机理可解释如下:铁粉芯是由铁磁性粉粒与绝缘介质混合压制而成,绝缘介质通常是高分子聚合物-树脂类构成,其在高温下绝缘性能会慢慢劣化,铁磁材料间的电阻会越来越小,从而磁芯的涡流损耗越来越大,大的损耗导致更高的温升,这样便形成了正反馈,这称为热跑脱效应(Thermal Run away)。铁粉芯磁芯的寿命便是由热跑脱效应决定的,其与温度、工作频率和磁通密度都有关系。目前公司使用较多的MicroMetals公司的铁粉芯存在上述问题。但也需提醒的是,如绝缘介质无高温劣化问题,磁芯便不会有热跑脱效应,这与各公司的使用的材料和工艺有关,并不绝对。
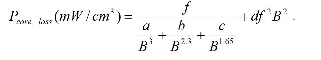
磁芯的温升与磁芯损耗直接相关,如前所述,磁芯损耗主要由磁滞损耗和涡流损耗构成,对于粉芯类磁芯,由于磁材料间绝缘阻抗很大,涡流损耗几乎可以忽略不计(但热跑脱效应是由于涡流损耗越来越大引起)。磁滞损耗只与频率和交流磁通密度(磁滞回线面积)有关,与其直流工作点磁通密度关系不大,以下公式是MicroMetals公司铁粉芯磁芯损耗计算的经验公式:
其中为开关工作频率,B(单位Gauss)为一个开关周期内交流磁通密度的峰值,其为个开关周期内交流磁通密度峰峰值的一半()。为常数,与材质有关,常用材质常数见下表。
线圈(Coil):
线圈的损耗是电流在导线电阻上产生的。电感中导线的电流通常包含工频或直流成分的低频电流和开关频率的高频电流。
其电流有效值为
磁损与铜损的比例:
磁芯的材料(除硅钢片较好外)通常是热的不良导体,热阻较高,而铜线是热的良导体,热阻很小。再加上通常用的环形磁芯都是线圈包住铁芯(内铁式)。因此线圈上的热量可以较磁芯上的热量更好地散发出去。为保证铁芯温度可以受控制,
4.3 原则三:电感的工艺要求可以达成
电感理论设计完成后,就需要考虑工程实现的问题了。
需考虑的工艺问题有:
2、线圈的绕法
电感线圈的绕法主要有循环式、往复式、渐进式三种。
循环式绕法是导线一直沿同一个方向绕制,多层导线之间相互叠压。
优点:可机器自动绕制,绕线系数高。
缺点:绕线起始端与结束端几乎没有间距,层间压差大,高压应用时易导致因压差过高而导线绝缘失效。
往复式绕法是导线绕完一层后反方向再绕下一层后,多层导线之间相互叠压。起始端与结束端有间距分开。
优点:可机器自动绕制;起始端与结束端有间距分开,可部分解决压差大导致的导线绝缘失效问题。
缺点:绕线起始端与结束端有间距分开,绕线系数不高。
渐进式绕法是导线由起始端沿一个方向绕到结束端,导线不分层。
优点:导线间压差小,绕线起始端与结束端有间距分开,适合高压应用。
缺点:需手工绕制,效率低,成本高;绕线零乱,绕线系数低。
实际应用时,需根据电感工作的电压来决定选用何种绕法,但由于渐进式绕法的效率低、成本高,非不得已不要选用。
3、误差的确定
由于磁芯材料的磁参数均有较大的分布误差,批次不同或厂商不同则差异可能更大,通常为±15%~25%,所以设计时需考虑在参数偏差时所造成的影响。
工程师必备
- 项目客服
- 培训客服
- 平台客服
TOP




















