华南理工曹晓东团队:用于软骨再生的载干细胞3D打印丝素蛋白/明胶支架
2022年1月25日 11:06关节软骨组织一经运动损伤或疾病很难实现自愈,目前治疗软骨缺损的方法有骨髓刺激、自体骨软骨移植、基质诱导自体软骨细胞修复手术等,但这些方法仍存在供体不足、纤维软骨再生等问题。因此,如何有效的修复软骨损伤仍是一大挑战。近期,来自华南理工的曹晓东教授团队采用挤出式低温3D打印技术,通过辣根过氧化物酶( HRP )介导丝素蛋白( SF )和酪胺改性明胶( GT )交联,制备了多孔水凝胶支架,并结合干细胞聚集体接种实现促进II型胶原高表达,向透明软骨分化,提升关节软骨再生修复效果。相关论文“3D printed silk-gelatin hydrogel scaffold with different porous structure and cell seeding strategy for cartilage regeneration”发表于杂志Bioactive Materials上。
首先,研究人员通过利用3D打印技术并结合明胶温敏性和双氧水浸泡成胶方式制备了具有连通孔结构的3D打印水凝胶支架(图 1),且采用光学显微镜和扫描电镜(SEM)评估了3D打印水凝胶支架表面和横截面的形态(图2)。
图1 3D打印水凝胶支架合成示意图
图2 3D打印水凝胶支架表面和横截面图
为分析SF-GT水凝胶的力学性能,研究人员通过傅里叶变换红外光谱(FTIR)和压缩实验证实了3D打印水凝胶支架具有良好的抗压缩和抗疲劳特性,可为组织工程软骨发挥支撑作用(图3)。
图3 不同3D打印水凝胶支架的FTIR光谱
随后,研究人员通过加入丝素蛋白并引发其分子构象转变提升了水凝胶的力学性能、延长了降解时间,同时保有较高的孔隙率,各项理化性能测试均显示了SF5GT15/醇处理支架最适合作为软骨组织再生支架材料,并采用活/死染色法验证了SF-GT水凝胶支架具有良好的生物相容性(图4)。
图4 不同水凝胶支架的理化性能测试
其次,研究人员开发了具有贯通孔(TH)和错位孔(SH)的两种支架,实验结果表明改变支架内部纤维丝的空间排列,可成功打印出错位孔支架和贯通孔支架,这两种支架在孔隙率和力学性能上没有显著性差异,但错位孔可提高细胞接种效率(图5)。
图5 水凝胶支架内部结构的电镜扫描图
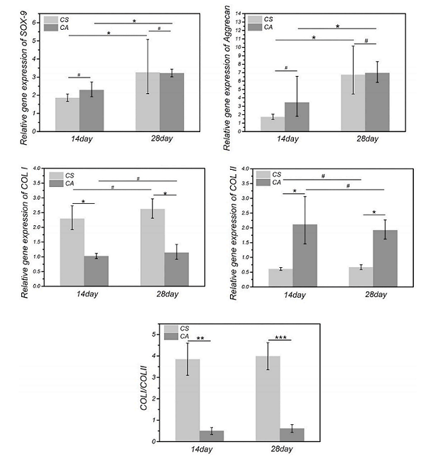
接着,研究人员对比了细胞悬液(CS)和细胞聚集体(CA)两种细胞接种方法,发现细胞聚集体接种可以使细胞有效地渗透到支架中,获得细胞在整个结构中的空间分布,从而形成高质量的基质组织(图6),并通过体外成软骨诱导实验证明,在相同诱导条件下,以细胞聚集体接种的方式,有利于维持圆形形态干细胞的聚集,促进干细胞表达并分泌较多的 II 型胶原,有利于干细胞向透明软骨分化;而以细胞悬液接种的方式,干细胞表达并分泌更多的 I 型胶原,干细胞倾向于向纤维软骨分化(图7、图8)。
图6 细胞活/死染色
图7 体外培养的CA/SH和CS/SH软骨形成
图8 3D打印水凝胶支架上CS和CA的软骨分化
最后,研究人员通过兔关节软骨缺损模型评估了负载干细胞聚集体的错位孔支架对软骨缺损修复的作用,对比了12周和16周的修复情况(图9)以及多种组织学染色结果(图10),表明了采用细胞聚集体接种的错位孔支架可有效实现关节软骨的再生修复。
图9 体外动物实验
图10 体内再生软骨的组织学评估
综上所述,本研究通过将3D打印的SF-GT水凝胶和干细胞聚集体结合,开发了一种有效的软骨组织工程方法,构建了理化性能高度仿生的软骨组织工程支架,还设计了体外实验来评价组织工程软骨的形成,最后通过体内研究表明,采用细胞聚集接种法制备的3D打印SF5GT15水凝胶在促进软骨再生修复方面具有广阔的临床应用前景。
工程师必备
- 项目客服
- 培训客服
- 平台客服
TOP




















