IMU, 自动驾驶定位团队“小而美”的队员


自动驾驶定位团队中有位高权重的九代长老GNSS,有颜值担当的华山师妹SLAM,也有雄踞一方的边塞将军UWB。每人都练就了一门绝世武功,GNSS修炼的是室外吸“星”大法,SLAM修炼的是勾魂摄魄妖法,UWB修炼的是近身搏击之术。

然而每门绝世武功在自动驾驶圈都有一个众人皆知的致命缺点,GNSS在有遮挡的环境下功力全失,SLAM在特征重复或缺失的地方威力大减,UWB在面对飞镖远战对手时束手无策。自动驾驶定位团队要想克服长尾问题从而获得小数点后好几个9的安全性,势必还需要一位成员。几经挑选与面试,IMU脱颖而出,修炼的是互补的“玉女心经”,小而美,却被认为是自动驾驶定位团队夺冠的最后一块拼图。

一个经典的配合场景是:GNSS在隧道场景完全失去作用,这个时候可以应用SLAM,进行局部定位与匹配,但是在隧道内特征缺失、重复,车道线缺失的时候,SLAM还是存在一定的概率失效,这样的小概率长尾问题一定会存在但又必须要解决。而这个时候IMU的“玉女心经”便可以发挥作用,结合之前感知的车道线信息和高精地图,IMU可以保持一段时间相对定位的准确,待汽车离开隧道GNSS定位重新接管或SLAM匹配到合适特征或直接执行最小风险策略。

本文就深挖IMU小和美的特点,看她修炼的玉女心经有什么神奇之处。

IMU, 自动驾驶定位团队“小而美”的队员的图1

基本介绍

IMU(Inertial Measurement Unit,惯导测量单元),标配版本集成了一个三轴加速度计和一个三轴陀螺仪,俗称六轴IMU。高配版本再多集成一个三轴的磁力计,俗称九轴IMU。加速度计可以测量物体在其坐标系下的三轴加速度,陀螺仪可以测量物体在其坐标系下的三轴角速度,通过对加速度和角速度数据进行积分运算,可以解算出物体一个相对的定位信息。

与GNSS一样,IMU也是起源于军工。长期以来,受限于之前高昂的成本,IMU仅为国防和航天所用。俄罗斯的导弹如何能准确击中乌克兰的军事目标而不误伤民用建筑,其中便有IMU的巨大苦劳。随着价格更加亲民的MEMS(Micro-Electro-MechanicalSystem,微机电系统)加速度计和陀螺仪出现,普通民众才开始享受IMU的红利。手机屏幕的自动旋转功能、智能手环的计步功能、虚拟现实头盔、无人机,无不是IMU发光发热的地方。

IMU, 自动驾驶定位团队“小而美”的队员的图2

加速度计原理

每一轴的加速度计都可以简化为如下等效模型,包括一个质量块、两根弹簧和一个指示针,如下图所示。

IMU, 自动驾驶定位团队“小而美”的队员的图3                            

当将上图三个加速度计封装起来固定在汽车上,在汽车静止时,受重力影响,质量块会往一个方向压缩,并最终实现平衡,这个时候根据指示针位移计算的加速度为重力在各个坐标轴下的分量。

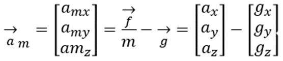
当汽车开始加减速行驶,质量块由于惯性作用,会往车辆移动方向相反的方向移动,而这个时候指示针的位移变化量正比于汽车加减速度的变化量,利用这些数据,我们就可以计算汽车在任意时刻的加减速度,计算公式如下:

IMU, 自动驾驶定位团队“小而美”的队员的图4

式中,am为所求汽车相对加减速度,f为弹簧所受的压力,g为重力加速度在坐标系各轴下的分量。

一个接近真实MEMS加速度计的结构如下图所示,中间的橙红色物体为一个质量块,两头通过具有弹簧性质的长条结构与基底相连,橙红色的短栅与淡绿色的短栅分别为电容的极板。当基底在下图黑色双箭头方向有加速度时,质量块会沿加速度相反的方向移动,这就导致橙红色极板与淡绿色极板之间的距离发生变化。通过测量极板电容C的变化就可以得到加速度的大小。在三轴加速度计中,这样的结构在三个方向各有一个,且做到了微米的尺寸,并配合相应的测量电路集成在一个芯片中,构成一个三轴MEMS加速度计。

IMU, 自动驾驶定位团队“小而美”的队员的图5

IMU, 自动驾驶定位团队“小而美”的队员的图6

陀螺仪测量原理

写到这里时,笔者开始怀疑人生,将搜到的资料通读了一遍,愈加迷惑陀螺仪的测量原理。有的美女小编说是基于角动量守恒定律,有的抠脚大汉说是基于科里奥利力,还有不讲武德的“老师”说是基于角动量守恒定律下的科里奥利力。粗看这些资料,除了逻辑性有所欠缺,所讲也都能自圆其说。

笔者一边从墙边搭了个梯子,爬到墙外搜集资料,一边重读之前搜到的资料,终于在万物复苏的一个深夜有所开窍。并由此坚定了公众号分享自动驾驶软硬件基础知识的动力:让准备迈入自动驾驶领域大门的新人,少走一点弯路,少受一点误导;让自动驾驶基础知识科普领域,多一份有效数据。

无论角动量守恒定律还是科里奥利力,都是陀螺仪的测量原理之一。但应用的陀螺仪类型不同,最早的机械转子式陀螺仪是基于角动量守恒定律,而今天广泛应用的MEMS陀螺仪是基于科里奥利力。不加前缀,一通介绍,收获了流量,误导了子弟,浪费了时间,增加了无效数据。

我们就从最早的机械转子式陀螺仪来讲起。1850年,法国物理学家J.Foucault研究地球自转时发现,高速转动中的转子,在没有外力作用时,它的自转轴永远指向一个固定方向,并用陀螺仪命名这种装置。陀螺仪被发明以后,首先在航海领域崭露头角,随后在航空领域大放异彩,毕竟在万米高空,没有仪器辅助是很难靠肉眼辨别方向,而飞行中看不清方向的话,危险性又可想而知。

IMU, 自动驾驶定位团队“小而美”的队员的图7
 
机械转子式陀螺仪最核心部分是高速旋转的陀螺转子和陀螺主轴,通过在陀螺主轴上加一内环架,便构成单自由度陀螺仪(总共两自由度)。在内环架外再加一外环架,便构成双自由度陀螺仪(共有三自由度)。再辅以驱动陀螺转子高速旋转的力矩马达,信号传感器等,便构成了一个完整的陀螺仪。

机械转子陀螺仪基于角动量守恒定律的两个重要特性来实现角速度测量:定轴性和进动性。

(1)定轴性是指陀螺转子高速旋转时,在没有任何外力作用在陀螺仪上时,陀螺仪的自转轴在惯性空间中的指向保持稳定不变,即指向一个固定的方向。

(2)进动性是指陀螺转子高速旋转时,若外力矩作用于外环轴,陀螺主轴将绕内环转动。若外力矩作用于内环轴,陀螺主轴将绕外环转动。转动角速度方向与外力矩作用方向相互垂直。

下面我们以单自由度陀螺仪解释角速度测量原理,单自由度陀螺仪简化模型如下图所示,x,y,z分别为陀螺仪的三个轴。假设基座是固定在汽车上,y轴为汽车的前进方向。当汽车绕y轴或z轴旋转时,内环具有隔离运动的作用,陀螺转轴不会随轮船转动而转动。但当汽车绕x轴转动时,会产生一对力F作用在内环上,形成力矩mx,沿x轴方向。由于陀螺仪没有该方向的转动自由度,力矩mx使陀螺主轴绕内环y轴进动。因此测量y轴的角速度即可测量汽车在x轴的角速度,具体建模求解过程需要基于动量矩定理,需要买本物理书来从头看起,笔者目前暂无精力再一点一点推导下去了。

IMU, 自动驾驶定位团队“小而美”的队员的图8

随着物理学的不断进步,陀螺仪的类型也越来越多,精度也越来越高。目前熟知的有光纤陀螺仪、激光陀螺仪和MEMS陀螺仪。MEMS陀螺仪虽然精度不如光纤和激光陀螺仪,但其体积小、功耗低、成本低、易于批量生产等特点,使其成为自动驾驶领域非常重要的一块拼图。
 
MEMS陀螺仪的角速度测量原理便是基于一种非真实存在的力—科里奥利力。这是一种非惯性参考系下引入的惯性力,引入之后便可以应用牛顿经典力学定律。我们假设一个黑色质量块以特定的速度V沿着一个方向移动,如下图橙红色箭头所示。当一个外部角速率被施加时,如绿色箭头所示。这个时候将产生一个力,如蓝色箭头所示,这个力将导致质量块发生相比于施加角速度方向的垂直位移。

IMU, 自动驾驶定位团队“小而美”的队员的图9

一个接近真实MEMS陀螺仪的结构如下图所示,外侧的蓝色与黄色部分别为驱动电极,它们在驱动方向施加交变电压,使内部的红色质量块以及红色的测量电极沿着驱动方向作往返运动。红色质量块两头通过有弹簧性质的绿色长条结构与基底相连,红色的短栅与内侧蓝色的短栅为电容的极板。当基底发生如下图所示的绿色箭头旋转时,质量块在科里奥利力的作用下将产生下图黑色箭头所示垂直方向的运动。且质量块周期运动的幅值与施加的角速度成正比,通过测量质量块上的红色电极和固定在底座上蓝色电极之间的电容,便可以得到角速度的大小。

IMU, 自动驾驶定位团队“小而美”的队员的图10

IMU, 自动驾驶定位团队“小而美”的队员的图11

应用价值

IMU可以输出高频(100/200HZ/2000HZ)定位和姿态数据,具有优秀的短期定位精度。相对定位数据的推算没有任何外部依赖,类似于黑匣子。但是单一IMU存在以下缺点:

(1)由于解算模块存在积分计算,因此存在累积误差,而且随着时间的增长,误差会越来越大;

(2)高频振动会降低IMU的可靠性和精度;

(3)高精度的IMU成本(光纤陀螺)依旧很高。

这样的缺点也决定IMU在自动驾驶定位团队的角色:关键先生。

关键场景一:与GNSS进行深耦合,提升GNSS在部分遮挡的环境(高楼林立的城市、高大金属林立的港口等)下的定位精度和稳定性。

在部分遮挡环境下,卫星信号时有时无、时好时坏(接收卫星信号的数量多时40多颗,少时个位数)。此时极易出现频繁失锁、观测量跳变等容易引发定位异常的现象。

而将IMU的部分数据直接送到GNSS基带芯片里,辅助信号跟踪,可以极大提高部分遮挡环境下多普勒的估计准确度。从而提高遮挡环境下载波相位、伪距等观测量的精度和连续性,减少观测量中断和跳变。最终极大提高GNSS在部分遮挡环境下的定位精度和稳定性。

关键场景二:将定位系统的失效变得缓慢和可预警

一辆在城市次干路行驶的自动驾驶车辆,在空旷区域依靠高精地图和高精定位实现稳定的自动驾驶功能。但当车辆行驶进了高楼林立的区域,GNSS无法提供固定解。此时依旧可以依赖车道线识别,切换到单车道的ACC和LKA模式进行安全行驶。但是存在可能0.1%的概率,车道线存在较大距离缺失,如果没有关键先生,车辆要么紧急刹车要么犹如瞎子一样乱窜。

但是在这0.1%的Corner Case中,如果有关键先生IMU,汽车就可以根据IMU提供的相对定位信息,配合之前感知到的车道线信息和加载的高精地图数据,进行安全的减速直至停车,并提示进行人工接管。

一篇文章中提到一个观点非常中肯:功能单元缓慢失效比突然失效更安全,有预警的失效比无意识的失效更安全。IMU与其它相对或绝对定位系统结合使用后,使得定位系统即便失效,也是一个缓慢的、可预警的过程。

IMU, 自动驾驶定位团队“小而美”的队员的图12

小结

IMU的“小而美”并非浪得虚名,其在自动驾驶团队的曝光度远不如其他成员。 IMU有点像自动驾驶团队中的产品经理,前期无法承担定义自动驾驶产品的核心功能,像部分网友吐槽的: 研发大佬赏口饭吃的程序员鼓励师,除了愉悦身心似乎用处没那么大。

但自动驾驶产品真正开始量产时,0.1%的定位失效率在100万辆车规模下将被不可容忍。IMU担负便是将失效率小数点往后多挪几个位,正如自动驾驶产品经理的使命,将99.9%完善的自动驾驶产品小数点往后多挪几个位。

IMU, 自动驾驶定位团队“小而美”的队员的图13

登录后免费查看全文
立即登录
App下载
技术邻APP
工程师必备
  • 项目客服
  • 培训客服
  • 平台客服

TOP

1