知识分享 | 应变四分之一桥温度补偿的理论与实践
2022年4月6日 18:35为了确保在不断变化的温度条件下获得准确的测量结果,需要对应变四分之一桥进行温度补偿。有几个温度因素会影响测量结果,例如:
材料热膨胀差对基底材料和测量栅丝材料的相互影响
引线的电阻
应变片自加热时应变系数的温度依赖性
杨氏模量的温度依赖性
这些温度影响可通过专为应变测量而设计的软件包(如HBK的catman Easy/AP)进行校正。HBK 应变片随附的数据表包含所有相关参数,以确保测量的准确性。数据表中图表和公式中显示补偿参数。注意:在本例中,数据表中显示两条曲线。一条曲线表示应变片本身的热响应,而另一条曲线表示应变片(包括2根引线)的热响应。
HBK应变片数据表
应变片的温度响应取决于:
基底/材料的温度膨胀系数
应变栅丝的温度膨胀系数(CTE)
应变片栅丝电阻的温度系数
k系数
在实际工作中,室温条件下简单地测量将包括热输出应变。测量结果反映了:
应变片特性对基底/材料温度膨胀的补偿
一种无法补偿的残余误差,但为了达到高精度的测量要求而需要加以校正
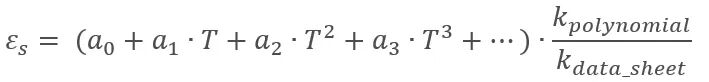
残余误差可通过测量确定,并用多项式εs表示,理想情况下,无论温度如何,其结果始终为零。但实际上,在参考温度附近有一个范围,在应变片生产过程中,它被优化到接近于零。
应用实例
我们将通过一个实例来说明,对四分之一桥路进行热补偿时需要考虑哪些因素。我们采用以下配置:
应变片:1-LY11-10/120 应变片,安装在100°C试验条件下试验箱中的材料上。为了将传感器与放大器连接,使用10mm引线、焊接端子和4线电缆。
放大器:QuantumX MX1615B 模块采用四分之一桥路配置,根据电磁环境不同,可使用直流或载频激励值。
软件:catman Easy/AP DAQ, 安装在PC机上或在数据记录仪中运行,通过在线数学功能来校正温度影响
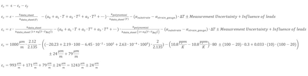
引线的影响(εl):在这个具体示例中,还添加了测量不确定度和连接到测量栅丝应变片引线的影响。一般来说,必须考虑引线的影响,但在应变片类型和制造商之间可能会有所不同。如果您使用的是我们 HBM 3- 或 4-线专利技术,可补偿所有电缆电阻的影响,但在某些情况下,2线部分不能自动补偿。
测量不确定度 (εu):测量不确定度是总计算中应考虑的一般部分。甚至多项式也有一些导致了不确定性的分散项。
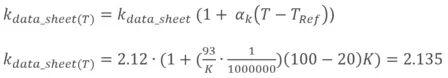
大多数制造商的多项式是用k=2的系数(或k系数)来测量的,而实际测量中,k系数通常是不同的。这种效应主要在极端条件下出现,如高温和低温或高应变。为了补偿可能影响温度补偿的变化,应考虑对数据表中应变系数进行调整。因此,乘以数据表应变系数的商,即可校正应变片预期的热输出。在这种情况下,我们通过以下公式调整系数:
您还可以通过如下方式联系我们,了解更多产品与应用详情:
邮箱:hbmchina@hbm.com.cn
官网:https://www.hbm.com/cn/
电话:400-900-3165(周一至周五9:00-18:00)
工程师必备
- 项目客服
- 培训客服
- 平台客服
TOP




















