科研分享 | 分布振子梁模态阻尼比的计算方法及其宽频减振应用
2022年4月9日 13:20背景
宽带振动涉及很多领域,如车辆工程、航空工程、土木工程等。如图1所示在相关领域中需要控制1~80Hz的全身振动舒适度,以及20~500Hz的结构固体噪声(structural-borne noise)。当频率较高时振动模态更为密集、波长更短,采用分布式振子是相关控制技术的一个基本特征。相关研究包括包括多调谐质量阻尼器(MTMD)、分布式多调谐质量阻尼器(DMTMD),局域共振超材料或超结构等。
(a)土木结构中的代表性宽频振动问题
(b)航空领域的分布振子控制
(c)汽车领域的分布振子控制
图1 宽频振动问题的背景
问题
由于高频密集模态的复杂性,目前评估分布阻尼振子的控制效果还主要依靠参数分析与试验,这不便于工程应用。因此,本文尝试将模态阻尼比用于快速评估减振频带与减振程度。
结果
推导了分布单频和双频振子梁的模态阻尼比的显式解析公式,并与有限元结果进行了比较验证。讨论了振型阶数、边界条件、振子的质量比和频率比对模态阻尼比的影响。作为所提出方程的应用,得到了满足Minimax优化(使目标频带内的最小阻尼最大化)的单频或双频振子的优化频率。将优化振子梁的频率响应与模态阻尼比曲线进行比较,讨论质量比和损耗因子对振动抑制的影响,以及模态阻尼对设计的适应性。结果表明,所提出的计算公式具有较高的精度,可用于宽带减振设计。
其中理论计算采用图2所示模型,并采用图3所示有限元有限元模型予以验证。
图2 理论推导的模型
图3 数值验证采用的有限元模型
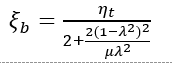
这里仅列出单频振子时的模态阻尼比计算公式如式(1),双频振子的情况详见原文。如图4所示算例中,理论推导的模态阻尼比可以很好的描述宽频减振效果。在文章中还对理论的适用范围进行了更详细的讨论。
(1)
图4 理论计算模态阻尼比曲线与FEM频响比较
有了式(1)的模态阻尼比计算理论,就可以直接基于理论公式进行参数优化,在目标频段上进行减振设计。图5是优化的模态阻尼分布曲线与相应的控制效果。
(a) 利用公式进行模态阻尼比优化
(b) 优化后的频响
图5 两种振子方案的优化以及控制前后的响应
结论
针对高频密集模态振动控制问题,以分布振子梁为对象推导了模态阻尼比计算理论,结果表明理论方法具有较高的准确性,可以用于宽频减振设计。
参考文献:
[1].Wen-han Yin, Fei-fei Sun.Analytical method of the modal damping ratio of the beam with distributed dissipative oscillators and application in broadband vibration mitigation. Mechanical Systems and Signal Processing. , 166 (2022), 108470
作者简介:
尹文汉,十年减隔振/震学习研究与项目经验,同济大学博士在读;
个人公众号(建筑工业产品经理);
联系邮箱(whyin@tongji.edu.cn)
广告
关于CELab
-CELab提供“试验服务、工程应用、软件模拟、论文润色”方面的服务
-具体分类服务信息也会结合微信小程序“CELab”予以展示(点击链接-)
-若有兴趣加入我们,请添加联络员微信:celab001
-对创业与科研服务有兴趣的你,将获得创业经验/科研与实践本领/生活补贴,优秀者有机会成为项目合伙人。
-CELab长期征集原创内容,内容在公众号登出后给予报酬,详细内容点击链接(征稿50-500元/篇|土木经验观点原理|CELab)
公众号其他文章阅读
工程师必备
- 项目客服
- 培训客服
- 平台客服
TOP




















