什么是风洞 | 带你了解风洞实验的一些小知识
2022年4月21日 19:22风灾
风灾是世界上最严重的自然灾害之一,经常造成自然灾害的有:台风、龙卷风、寒潮风、雷暴风等。
风灾的主要表现为:对建筑物及其它工程设施破坏造成的财产损失和人员伤亡,还有伴随的沙尘暴、洪水、泥石流等伴生灾害。
风对建筑物的破坏
近年来,发生的著名的风灾有:
2005年8月美国新奥尔良飓风“卡特里娜”,千人死亡,损失千亿美元。
2004年浙江省台风“云娜”,死亡180人,损失200亿人民币。
2008年5月6日,缅甸飓风,死亡15000余人。
2008年9月,古巴“古斯塔夫”“艾克”飓风,死亡4人,120万人紧急撤离。
-
美国20世纪最惨重的十大灾难有3次是飓风的影响。
2005年8月6日被0509号强台风麦莎摧毁的位于无锡的高压输电塔
浙江温州一建筑工地的临时工棚
风的成因
风就是指空气相对于地表的流动
太阳对地表加热的时空不均匀性
-
太阳辐射在地球表面分布的不均匀性 -
地球表面水陆分布、高低分布的不均均性 -
地球自转 -
对流层热传递的复杂性
造成大气的热力和动力现象以及压力场的时空不均匀性
造成空气的竖向对流和水平流动-风
冷空气往下沉
热空气往上升
热空气上升的地方气压降低,冷空气就会从旁边流过来补充其空缺—空气的流动
风的类型
大气环流风-地球尺度
热力二级环流—由高压或低压中心附近底层大气增热或冷却发展而成
季风
热带风暴
温带气旋—中纬度地区最强的大尺度环流
山脉阻挡的机械作用
沿锋面两侧的气团相互作用
地方性风
下山风
急流效应风
雷暴风:下沉冷气流直线风、下击暴风
龙卷风
风工程学科的重要性
风工程学科的研究始于旧塔科马海峡大桥的风毁事故。
随着结构的跨度或高度的不断增加,结构变得越来越柔,对风的敏感性也随之增加,风荷载成为控制结构设计的关键因素之一。
历史上许多结构的整体或者局部破坏都是由于在设计阶段对风荷载的考虑不周而引起。
对结构的抗风性能研究越显重要。
风工程学科的研究范围
风工程学科是一门涉及的范围很广的交叉学科,包括大气科学、空气动力学、结构力学、实验力学等
风工程研究方法
现场测试(Field measurement)一种重要的验证手段
直观、真实
人力、物力、时间花费高
测试条件难以控制和改变
风洞试验(Wind tunnel tast)最重要的研究方法
直观性强
节约人力、物力和时间
试验条件较易控制
机理研究、复杂工程问题研究
近似模拟,无法实现完全相似
理论计算(Theoretical calculation)试验和实测的重要补充
解析计算
一般的数值计算
CFD计算
结构风洞试验主要类型
按研究对象分类
低矮建筑/结构试验(low--rise building/structure test)
高耸建筑/结构试验(high--rise building/structure test)
大跨度建筑/结构试验(large--span building/structure test)
桥梁结构试验(bridge structure test)
海洋工程结构试验(ocean engineering structure test)
按研究内容分类
静力作用试验(static action test)
风致作用试验(wind-induced vibration test)
风振控制试验(test on wind-induced vibration control)
按模型分类
刚体模型试验(rigid model test)
气弹模型试验(aeroelastic model test)
节段模型试验(sectional model test)
整体(全)结构模型试验(full structure model test)
局部(部分)结构模型试验(partial structure model test)
按模型支撑方式分类
静力支撑模型试验:刚体固定、天平支撑(static-supported model test: rigidly fixed model, balance-supported model)
动力支撑模型试验:弹簧悬挂、强迫振动(dynamic-supported model test: spring-suspended model, forced vibration model
结构风洞试验主要用途
测力(Force measurement test)
测压(Pressure measurement testPressure test)
气动参数测试(Aerodynamic parameter measurement testAerodynamic test)
风致振动测试(indWind--induced vibration testinduced test)
绕流形态观测(Observation test on ambient flow patternObservation pattern)
风特性和风环境测试(Test on wind characteristics and wind environment)
通风排气性能测试(Ventilation and exhaust performanceVentilation performance test)
几个重要概念
1、风速
瞬时风速=平均风速+脉动风速。
2、平均风速计算时距
据国际上气象领域的实践经验,在大多数国家(包括中国)平均风时距被取为10min,加拿大等一些国家取为1h,英国、澳大利亚等一些国家取为2~3s,即考虑瞬时风速。不同的平均风时距可导致不同的平均风速。
3、平均风剖面
对数律形式
4、阵风因子
阵风风速:平均时距小于3s的平均风速;
阵风因子:阵风风速/平均风速;
阵风因子是一个反映风速阵性程度的参数,一般平均风速的时距越短,平均风速越大,阵风因子越小。
5、边界层
由于空气的粘性效应,与物体表面接触的空气贴附在物体表面上,它将减慢靠近物体表面的一层空气的运动,这一空气层就称为边界层。
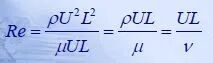
6、雷诺数
雷诺数为:流体的惯性力和粘性力之比。对于不可压缩流体,惯性力和粘性力是影响其流动形态的两个最主要参数。
7、紊流雷诺数
紊流雷诺数为:流体的惯性力和紊流粘性力之比
8、流动分离
分离层中会形成离散的旋涡,并脱落到钝体后方的气流中,这些旋涡使得分离点(如拐角或房檐等)附近出现非常大的吸力
9、尖缘平板二维绕流
粘性力起主要作用流动没有分离
惯性力的作用开始显露在尖角处发生分离形成两个对称、附着的大旋涡
10、涡激共振
当气流绕过结构时会在结构两侧背后尾流中产生交替脱落的旋涡,使结构表面的压力产生周期性的变化,从而在结构上产生周期性的横风向、顺风向净作用力和净扭矩,即涡激力
风洞简介
风洞的定义:
风洞是指一个按一定要求设计的、具有动力装置的、用于各种气动力试验的可控气流管道系统。
风洞的基本类型:
从流动方式来看
闭口回流式风洞
开口直流式风洞
从风洞试验段的构造来看
封闭式风洞
敞开式风洞
从风洞的功能来看
航空风洞
建筑风洞
汽车风洞
环境风洞
相对于航空风洞来说,用于土木工程结构的风洞一般都是风速较低的低速风洞,并且通常采用封闭式试验段。
为了能在风洞中合理模拟大气边界层风场,用于土木工程结构的风洞一般拥有较长的试验段,因此,常被称为边界层风洞。
风洞试验
模型展示:
斜拉桥模型
裸塔模型
电视塔模型
超高层建筑模型
广告
关于CELab
-CELab提供“试验服务、工程应用、软件模拟、论文润色”方面的服务
-具体分类服务信息也会结合微信小程序“CELab”予以展示(点击链接-)
-若有兴趣加入我们,请添加联络员微信:celab001
-对创业与科研服务有兴趣的你,将获得创业经验/科研与实践本领/生活补贴,优秀者有机会成为项目合伙人。
-CELab长期征集原创内容,内容在公众号登出后给予报酬,详细内容点击链接(征稿50-500元/篇|土木经验观点原理|CELab)
公众号其他文章阅读
工程师必备
- 项目客服
- 培训客服
- 平台客服
TOP




















