科普:固定翼无人机航程航时知多少
2022年5月5日 15:53
对于固定翼工业无人机,航时和航程是最重要的飞行性能指标。航程远表示飞机活动范围大,使用区域受限少;航时久表示飞机留空时间长,单架次获得信息更多。航拍测绘、森林防护、巡逻侦察及运输等作业,均对无人机的航时和航程要求较高,以期减小出动架次,提高作业效率。
对于固定翼无人机最重要的性能指标――航程和航时,我们又知道多少呢?本文就和大家一起探讨固定翼无人机航程航时的那些事儿。
固定翼无人机的航程是指无人机携带有效装载,在标准大气和无风(平静大气)情况下,沿着预定航线飞行,耗尽其可用燃料或可用电量所经过的水平距离,航程一般用R表示。
航时是指与航程同样大气条件下,耗尽可用燃料或可用电量所能持续飞行的时间,一般用t表示。
无人机沿预定航线飞行,一般包括上升、巡航和下滑三个阶段,如图1所示。因此航程和航时应是三段分别的航程和航时的总和。即:
R=R1+R2+R3
t=t1+t2+t3
图1 航程和航时的示意
航程和航时合称为无人机的续航性能,主要研究无人机能够飞多远、飞多久的问题。一般,对于大型无人机来说爬升和下降段的航程和航时只占航程和航时的10%左右;而对于小型无人机,一般爬升率较小,要在较高的高度飞行,爬升所需时间较多,爬升段所占航时的比重将增加。
应注意的是,航程和航时是在标准大气和无风(平静大气)这一基准环境下定义的。简单说,所谓标准大气就是相对湿度为0,海平面大气温度为15℃,气压为101325Pa,空气密度为1.225kg/m^3所对应的大气环境。
不同大气环境,无人机的续航性能不同。就好比汽车,加满一箱油的续航里程,是需要在给定路况来测定的。高速路和乡村道路测出的续航里程和续航时间肯定是不一样的。
那对于无人机,哪些因素会影响续航性能呢?下面我们一起系统的梳理一下。
首先影响无人机续航性能的是飞机的设计参数,主要包括飞机的升阻特性、发动机的性能、电池的容量、螺旋桨的气动特性、飞机结构重量等等。这些影响因素,在无人机出厂之前已经确定了,已经无法更改。而对于无人机飞手或者使用无人机作业人员来说,更关心的是飞行中的外部影响因素或可变影响因素对无人机续航性能的影响。这些因素也是我们讨论的重点。
一架完成设计定型的无人机,其续航性能受到的外部影响因素和可变影响因素主要包括:任务载荷重量和能耗、飞行速度和高度、大气温度和湿度、飞行中机动动作、风及电池寿命等。
任务载荷重量和能耗
任务载荷重量越大,无人机飞行重量增加,导致飞机稳定平飞时所需升力增加,进而阻力增加(如图2),使发动机或电池的功耗增加,降低了飞机的续航性能。有数据显示,重量增加20%,无人机航程和航时分别减小26%、19%;重量减轻对航程和航时均有利,重量减轻20%,航程和航时分别增加45%、29%。
图2 升阻极曲线
现在无人机根据任务需求的不同,可以搭载不同的任务载荷如相机、激光雷达等等,不同的任务载荷,能耗也不同,任务载荷的能耗需求占用了无人机用于飞行的油量或电量。因此,任务载荷的能耗大,无人机的续航性能会下降,反之亦然。
飞行高度和速度
飞行高度(Hp)和速度主要对无人机的发动机性能和升阻特性影响较大,从而影响无人机的续航性能。但是,飞行高度和速度对于装备燃油发动机和电动发动机的无人机影响有所差异。
图3 某燃油发动机小时油耗
图4 某型油动无人机航时
图5 某型油动无人机航程
图3给出某型油动无人机发动机小时油耗随高度、速度的变化曲线。可见,对于装备燃油发动机的无人机,其小时油耗随着高度的增加而减小(随着高度增加,为保持飞机平飞,飞机的真空速会略有增加),随着速度的增加而增加。无人机的航时随着高度的增加而增加;随着速度的增加而减小(如图4)。发动机的小时耗油率最低,飞行时间最长的速度点称为久航速度。航程随着飞行高度的增加而增加,随着速度的增加呈抛物线状,会有一个航程最大的速度点,称为远航速度,如图5。
对于电动无人机,发动机的性能受高度和速度的影响较小,飞机续航性能变化主要是因为随飞行高度速度的变化,飞机的升阻特性变化较大,导致飞机不同高度、不同速度稳定平飞时的平飞需用推力和定距螺旋桨的工作状态不同,进而导致电动机的功耗不同,最终影响飞机的航程和航时。
以某小型电动无人机为例,图6给出了不同飞行速度、不同飞行高度下飞机的平飞需用推力曲线,说明不同高度、不同速度飞机所受阻力不同。图7至图9分别给出了航时、巡航时间(稳定平飞作业段)和有效巡航里程(稳定平飞作业段)随飞行高度和速度的变化规律。对于电动小型无人机,随着高度增加,飞机的航时和航程均减小;随着速度的增加,飞机的航时和航程先增加,后减小,航时最大出现在平飞需用推力(平飞阻力)最小的速度点;航程最大的速度点略高于航时最大的速度点。图10给出理论计算结果与实际试飞结果的对比,也可证明规律的正确性。
需说明的是,图6至图9的数据,飞机起飞高度均为海拔高度0米。对于小型电动无人机来说,爬升阶段耗电量较大,过高的爬升距离会对航程和航时产生一定的不利影响。
大气温度湿度
大气温度和湿度对于无人机飞行的影响规律基本是相同的。温度湿度越高,空气密度越小,螺旋桨产生的推力越小,相同飞行条件,需要提高螺旋桨转速,弥补推力损失,所以发动机的功耗增大,导致无人机续航性能下降;反之提高。因此,一般干燥的冬季飞行,无人机续航性能较好,夏季较差。
飞行中的机动动作
飞行中小半径转弯盘旋、速度的快速变化、高度的快速增加均会引起无人机的阻力和发动机能耗的增加,导致无人机飞行时间和飞行距离减小。
风的影响
影响无人机续航性能的风包括持续稳定的风和阵风。
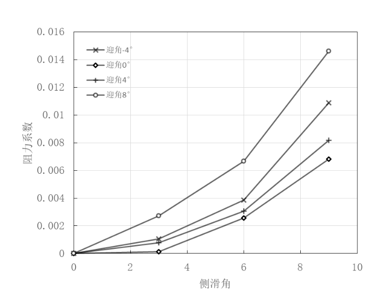
与无人机飞行速度方向平行(顺风和逆风)的稳定风不会对无人机的航时产生影响。与无人机飞行方向有一定夹角的风会降低无人机的续航性能。无人机保持航行不变的飞行中,遇到不平行于无人机飞行方向的风时,会使无人机的空速与无人机对称面之间形成一个夹角,该夹角称为侧滑角(如图11),带有侧滑角的飞行时,无人机的阻力会随侧滑角的增加而增加(如图12),导致无人机发动机的能耗增加,降低无人机的续航性能。
图11 侧滑角定义
图12 无人机阻力随侧滑角的变化
阵风(突风、乱流)使无人机的指令飞行状态改变,自动驾驶仪会调整无人机发动机和操纵舵面以保持无人机的指令飞行状态,以克服阵风对飞行的影响,该过程需要额外的消耗能量,这也增加了无人机发动机的能耗,降低无人机续航性能。
电池寿命
对于电动无人机,电池的使用环境、使用充放电循环次数也会影响到电池的放电量,进而影响无人机的续航性能。一般,锂电池合适的使用环境温度在20℃~40℃,此时,其放电量最大;随着温度的降低,电池放电量减小(如图13)。无人机空中飞行时,大气温度较低,若使用未进行保温措施,无人机的续航性能有所降低。
图13 某电池电量放电量与温度和倍率的关系
随着电池的充放电循环次数增加,电池的电容留存率逐渐减小(如图14),电池飞行中可用电量减小,导致无人机续航性能降低。
图14 某电池充放电循环次数与容量留存率关系
无人机飞行中的航程航时影响因素众多。对于无人机飞手或无人机作业操作人员来讲,最关心的可能就是怎样飞出最佳航程和航时,以提高作业效率。通过前面航程航时影响因素的分析,可以有以下提高航程和航时的措施:
选择合理的飞行高度,尽量接近无人机的久航高度或远航高度。
根据任务需求,明确任务需要的是长航时还是长航程;若需要长航时,选择久航速度为飞行速度;若需要长航程,选择远航速度为飞行速度。一般远航速度略大于久航速度。无人机设计厂商一般给出的巡航速度为无人机的久航速度。
图15 两种航程对比
合理规划飞行航线,尽量减小在作业过程中的小半径转弯,飞行高度和速度的快速增加等机动。
如果条件允许,可选择气流平稳,温度较低的时间进行无人机作业。
注意电池养护及合理使用。
工程师必备
- 项目客服
- 培训客服
- 平台客服
TOP




















