非线性振动了解下 附非线性振动刘延柱清晰版下载
能用线性微分方程描述的振动称为线性振动,如前面所讨论的简谐振动、弱阻尼的谐受迫振动等。不能用线性微分方程描述的振动即称为非线性振动。
从动力学角度分析,发生非线性振动的原因有两个方面,即振动系统内在的非线性因素和系统外部的非线性影响。
1. 内在的非线性因素
振动系统内部出现非线性恢复力,这是最直接的原因。例如,单摆(或复摆),当摆角θ>5°时,非线性函数sinθ=θ - θ ³/3!+θ 5/5!- ···就不能近似简化为θ 的线性函数,这时系统的恢复力矩M=-mgl (θ - θ ³/3!+θ 5/5!- ···) 即为非线性的。又如弹簧振子,只有当振子的位移较小时,恢复力才与位移成正比。当位移较大时,即使仍在弹性形变的范围,其恢复力与位移之间也将呈现出非线性关系,即F=-k1x - k2x ² - k3x ³···。
振动系统在非线性恢复力作用下,即使作无阻尼的自由振动也不是简谐振动,而是一种非线性振动。
如果振动系统的参量不能保持常数,例如描述系统“惯性”的物理量或摆长之类的参量不能保持常数,则形成参量振动一类的非线性振动。如漏摆,其在摆动过程中质量m 和摆长l 均在变化;而荡秋千则是转动惯量和摆长均在变化的复摆。
自激振动也是一种非线性振动,产生这种非线性振动的根本原因仍是系统本身内在的非线性因素。所谓自激振动,就是振动系统能从单向激励中自行有控地吸收能量,将单向运动能量转化成周期性振荡的能量。这种转化不是线性系统所能完成的,所以自激振动是非线性振动。例如,树梢在狂风中的呼啸,琴弦上奏出的音乐,自来水管突如其来的喘振等,都是自激振动的实例。
2. 外在的非线性影响
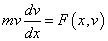
一种情况是非线性阻尼的影响。例如,当振子在介质中的振速过大时,受到的阻力将是速度的非线性函数,即fr = -k1v - k2v ² - k3v ³ - ···;另一种情况是策动力为位移或速度的非线性函数,即F = F (x, x ², x ³ , ··· , v, v ², v ³, ···)。
只要存在以上所说的一种非线性因素,系统的振动就是非线性的。因此,非线性振动是一种统称,针对具体不同的非线性因素,系统的振动形式是完全不同的。此外,线性振动与非线性振动的最大区别在于:线性振动满足叠加原理,而非线性振动不满足叠加原理。
如阅读材料“时空对称性和守恒定律”所述,非线性微分方程是个性极强的数学方程,有解析解的极少。因此,对非线性振动研究的方法基本上是近似简化、图解及计算机处理。
当微分方程中非线性项与线性项相比很小时,可采用近似简化的方法求解。尽管所得解不甚精确,但已能反映非线性振动的主要特征。近似简化方法很多,例如对恢复力为非线性的振动,常采用微扰法,也称逐次近似法。这种方法是将恢复力中的非线性成分看作附加在线性成分上的一个微量(微扰),振子在这种力作用下的运动也将是对仅在线性力作用下的简谐振动有微小偏离的运动。这种偏离既有对频率的偏高,也有对简谐振动的偏离。将这种偏离运动写成逐项减小的幂级数作为试解代入非线性运动方程,按所需精度略去高阶无穷小量,从而求得振子运动的解。
用图解的方法处理非线性问题适应性较广,在振动理论、统计物理及混沌现象中应用较多的图解法是相平面方法。
在相平面方法中是把速度当作一个变量,例如在讨论质点的一维运动时,若作用于质点的力是位置和速度的函数,即F = F (x,),则其运动微分方程是
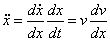
把当作一个新的变量,并记为v,则
可写成
于是原方程可改写为
上式是关于v 和x 的一阶微分方程。它是二阶微分方程m=F (x,
) 经过降阶的方法处理得到的。如果把x 当作横坐标,v (=
) 当作纵坐标,则x -
坐标平面就叫作相平面。这时,质点在某一时刻的运动状态(一定的位置和速度)就对应于相平面上的一个点,这个点叫作相点。在给定一组初值条件x0,v0(对应相平面上的一个初相点)以后,可求出一阶微分方程式的一个解,它对应于这个相平面上过初相点的一条曲线,这条曲线叫作相轨道(或相曲线)。一般来说,经过某相点只有一条相轨道,有多条相轨迹经过的点是奇点。系统所有可能的相轨迹的集合叫作相流。通过对相平面上相轨迹的分析,可以了解质点的某些运动特征。相平面方法的优点是几何直观性强。在相图中失去的是x(t) 和
(t) 随时间变化的信息,得到的是有关动力学系统运动的全局概念,给出的是其轨线形态的类型及其拓扑结构的稳定性问题。例如,弹簧振子的无阻尼自由振动和弱阻尼自由振动的相图分别如图1和图2所示。
图1 无阻尼情况的相平面图
图2 有阻尼情况的相平面图
人们对非线性振动并不陌生,有些课题早已开始研究并日趋成熟。例如,自激振动理论早已应用于钟表、电铃、内燃机的调速器及电子振荡电路中。随着高速运动的发展,自振理论又应用于如何防止汽车车轮的跳动,飞机机翼的颤振,机床的自振等方面。又如,参数振动的研究既是古老的课题,也是当代科学的前沿。在航天器中,液体燃料自由面的振荡是一种参数振动,而这种振动对飞行的影响是前沿课题。对圆柱形容器中的液面,在上、下铅直振动时发生的参数振动,早在1831年法拉第就研究过,现在却成了热极一时的混沌现象的例子。
必须说明的是,一个线性系统受到一个不是位移或速度的非线性函数的随机策动力作用时所作的振动,不属于非线性振动。研究线性系统受到这种随机外力作用下的振动响应是自动控制的基础。
另一方面,一个线性系统受到非线性策动力作用所作的运动,最燃极其复杂,但却不可能导致混沌的发生。因为混沌现象的根源在于系统本身的非线性特征。而一个非线性系统,即使受到策动力的作用,在一定条件下也有可能出现混沌。
下载地址:非线性振动刘延柱清晰版
工程师必备
- 项目客服
- 培训客服
- 平台客服
TOP




















