二维有限元分析软件ADONIS新功能评述
2022年5月26日 15:441 引言
Dr. Mikolaz最近发布了他的免费二维有限元分析软件ADONIS V3.50.0(5/18/2022),在这个最新的版本中,新增了两个主要功能:一个是本构模型Swell;另一个是在这个软件中产生的网格可以生成FLAC3D单元。由于是免费软件,没有相应的配套文档,因此本文对这两个功能作简要评述,增加一些相关的理论背景。关于这个软件的部分功能可参看以下过去的文章:
2 Swell Model
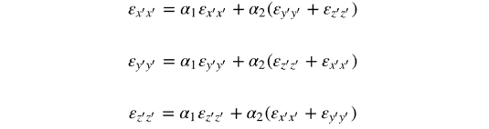
本软件的Swell模型模仿了FLAC3D的Swell Model,因此下面的讨论基于FLAC3D使用的约定。Swell Model的基础是Mohr-Coulomb模型的非关联剪切和关联拉伸流动规则,与之不同的是,通过耦合润湿应变(wetting strains)与润湿前的模型状态,考虑了润湿引起的变形(wetting-induced deformations),但屈服和势能函数、塑性流动规则以及应力修正与Mohr-Coulomb模型的假设相同。FLAC3D的Swell Model是专为由湿润引起的土的变形发展的,与Plaxis和RS中的Swelling Rock Model有差别,这个模型的应用参看如下论文:
[1] Noorany, I. et al. (1999) Prediction of soil slope deformation due to wetting.
[2] Pathak, Y. et al. (2003) Wetting-induced deformation of geosynthetic reinforced slopes with expansive soils.
[3] Pathak, Y. et al. (2010) Wetting-drying behaviour of geogrid-reinforced clay under working load conditions.
下面简要讨论Swell Model润湿应变和应力修正方法。
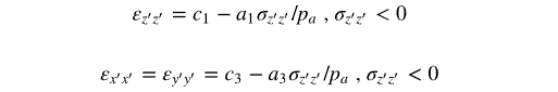
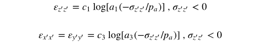
润湿引起的应变(wetting-induced strains)用主膨胀方向上总压应力的对数函数或线性函数来表示:
(1) 对数函数
(2) 线性函数
式中pa为大气压力,a1, c1, c3是由实验室测试确定的非负的膨胀特性,按照FLAC3D的符号约定,负值为压应力和压应变。假定湿润应变(wetting strain)为水平方向上是各向同性的,应力是在润湿前的平衡状态下获得的局部轴上总的垂直应力分量,在计算过程中不改变。然后根据胡克定律的增量形式,计算出主膨胀方向上的相应湿润应力(wetting stresses):
式中,,K和G分别为体积模量和剪切模量。
最后,通过将主膨胀方向上的局部应力解析到全局轴,得到全局膨胀应力(swelling stresses)。然后将全局膨胀应力以递增的方式在指定的步数Ns内添加到全局应力分量中,在每个时步中,根据Mohr-Coulomb准则检查所产生的应力分量是否发生破坏。典型的FLAC3D命令如下所示:
zone cmodel assign swell
zone property density 1000 bulk 1e8 ...
shear 3e7 cohesion 1e10 tension 1e10
zone property normal (0,0,1) constant-a-1 1.5335...
constant-c-1 -0.0187 ...
pressure-reference 1e5 ...
number-start 200
在ADONIS中,Swell模型的输入如下图所示,分为三部分:弹性属性、属性属性和膨胀属性。
3 生成FLAC3D单元
在ADONIS这个新版本中,除了增加了Swell本构模型外,另一个新增功能是把在ADONIS中产生的网格Extrude为FLAC3D单元。过去我们曾经讨论过其它软件使用Extrude方法生成三维模型:
当产生出网格后,使用File > Extrude命令打开对话框,输入四个参数:拉伸方向的起点坐标Extrude(Z1)和终点坐标Extrude(Z2),这两个参数决定了三维拉伸的长度;zones(Zn)决定了在此长度内划分单元的数量,Ratio(rr)决定了网格是均匀的还是渐变的。
下图所示的是一个边坡网格经过上述转换后生成的FLAC3D单元。
工程师必备
- 项目客服
- 培训客服
- 平台客服
TOP




















