基于Adams的六足直立式步行机器人运动仿真分析
基于Adams的六足直立式步行机器人运动仿真分析
张久雷
(广东职业技术学院 机电工程系, 广东 佛山 528041)
关键词 Adams 六足步行机器人 四连杆机构 运动学分析
0 引言
曲柄连杆机构是连杆足式步行机器人的核心机构,是实现步行腿行走的关键零部件[1]。步行机构曲柄连杆的方案设计及其运动特性是影响机器人行走和运动动作的重要因素[2]。本文中以张久雷设计制作的六足直立式步行机器人的步行机构为研究对象[3]118-119,通过对步行机构分解出的简单平面四连杆机构进行解析,以矢量法为基础,建立步行腿机构运动数学模型,再通过虚拟样机技术对步行腿运动轨迹进行仿真研究分析,判断是否发生干涉。通过运动学速度、加速度仿真分析,了解从动件步行腿的速度变化规律是否满足步行工作要求。在此基础上,搭建实物样机验证步行机构方案设计的可行性,进一步证明了该步行机构工作原理和虚拟仿真结果的正确性,可为下一步的动力学分析和优化设计制造奠定理论基础,具有重要的研究意义。
1 步行机器人的工作原理
1.1 步行原理
本文中研究分析的六足直立式步行机器人[3]119-121如图1所示。机体两侧有2个相同的步行腿机构;每个步行腿机构均由1 个曲柄连杆机构和3条步行腿组成;每侧各有1个电机提供动力来源,结合曲柄连杆传动机构来驱动和控制6条步行腿运动,以此实现三角形步态行走运动。
图1 双电机驱动的六足直立式步行机构设计方案
Fig.1 Design scheme of dual-motor driving six-legged up⁃right walking robot
单侧步行腿机构运动原理[4]107-107如图2所示。
图2 单侧步行腿机构运动简图
Fig.2 Motion diagram of unilateral walking leg mechanism
1.2 步行腿机构分解
对于该多连杆机构,为了便于分析,可将单侧步行腿机构分解为3个简单平面四连杆机构,即:连杆DE、连杆EF、连杆OF和机架DO组成的曲柄摇杆机构,以便分析中间步行腿2,其机构原理如图3(a)所示;连杆OF、连杆FH、连杆HJ、机架OJ 组成的曲柄摇杆机构,以便分析步行腿3,其机构原理如图3(b)所示;连杆AB、连杆AI、连杆IJ和机架BJ组成平行四边形的双摇杆机构,其机构原理如图3(c)所示。步行腿1 与步行腿3的运动轨迹相同,只分析步行腿3即可[4]107-107。
图3 步行腿机构分解
Fig.3 Walking leg mechanism decomposition
2 步行机构运动学方程建立与仿真分析
2.1 建立中间步行腿机构的数学模型
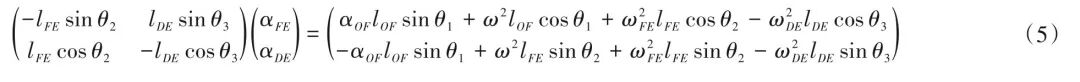
在用矢量法建立中间步行腿机构的位置方程时,需将杆件用矢量来表示,并作出步行机构的封闭矢量多边形。如图4所示,在中间步行腿机构图上先建立一直角坐标系。各连杆的长度分别为lOF、lEF、lDE和机架lOD,其对应方位角分别为θ1、θ2、θ3、θ4,表示与x轴的正向夹角,逆时针为正,顺时针为负,单位为rad。以各杆矢量组成一个封闭矢量多边形,即DEFOD;其各矢量之和必等于0。中间步行腿机构矢量封闭方程为
图4 中间步行腿机构矢量法分析及虚拟样机仿真模型图
Fig.4 Model diagram of vector analysis and virtual proto⁃type simulation of middle walking leg mechanism
角位移矢量封闭方程向直角坐标系投影后的分量形式为
对于该中间步行腿四连杆机构,其各连杆的长度、原动件曲柄lOF 的初始位置角度θ1 和固定角速度ω 已知,而机架lDO 的角度θ4=0,故由此矢量方程可求得未知方位角θ2、θ3。角位移矢量方程分量形式对时间求1阶导数可得角速度方程为
其矩阵形式为
可求得
ωFE = -ωlOF sin(θ1 - θ3)∕[lFE sin(θ2 - θ3)]
ωDE = ωlOF sin(θ1 - θ2)∕[lDE sin(θ3 - θ2)]
角位移矢量方程分量形式对时间求2阶导数可得角加速度方程,其矩阵形式为
可求得
2.2 中间步行腿机构的运动学仿真与分析
2.2.1 中间步行腿机构仿真模型的建立
首先,利用虚拟样机分析软件Adams[5-7]提供的建模工具对中间步行腿机构进行几何建模[8-9]。进入Adams-View[10]模块环境中,通过工具箱中的建模工具面板选择连杆工具图标,根据中间步行腿机构各连杆杆件质量特性、尺寸和初始位置,创建中间步行腿机构几何模型,如表1所示。然后,创建各连杆之间的旋转运动副,其中,O 点、D 点是固定旋转运动副,lFG 是连杆lEF 的延伸部分,两杆绕着F 点随曲柄lOF 同时旋转运动。最后,根据电机25 r∕min 的转速,给曲柄lOF 施加一个运动,使其以ω=150(°)∕s 逆时针方向转动。至此,中间步行腿机构模型构建完毕,如图4所示。
表1 中间步行腿机构各杆件尺寸、初始位置
Tab.1 Size,initial position of each member in middle walking leg mechanism
在Adams-View-Simulation 工具菜单中设置终止时间t=30 s、步长Step=200,进行中间步行腿机构模型运动仿真。在中间步行腿机构仿真运动过程中,通过测量可以得到中间步行腿机构中各连杆杆件的的实时运动特征,如:lOF 角度、lDE 角度、角速度、角加速度随时间变化的测量曲线,lEF(步行腿2)、lFG角度、角速度、角加速度随时间变化的测量曲线和运动摆角范围,以及lDE角度随曲柄lOF角度变化的测量曲线,并可以提取测量曲线上任意点的特性值,如最大值、最小值、平均值等,如图5所示。
图5 中间步行腿机构中各杆件的角度、角速度、角加速度随时间变化的测量曲线图
Fig.5 Measurement curve of angle,angular velocity and an⁃gular acceleration of each member in the middle walking leg mechanism with time
通过中间步行腿机构运动轨迹仿真和曲柄lOF、摇杆lDE、摇杆lEF(步行腿2)的测量曲线说明,中间步行腿机构运动连续平稳,符合步行机构设计要求。其中,对lDE角度随曲柄lOF角度变化的运动轨迹分析可知,lOF 从最低位置开始逆时针旋转运动,lOF 角度随时间一直均匀增大,这与驱动角速度ω 有关系;而lDE 角度先增大再减小,规律交替,即:lOF 从初始位置旋转运动到169.8°时,lDE 角度从初值旋转增大至最大值126.8°,即机体重心降至最低;lOF 由169.8°位置旋转运动到354.3°时,lDE 角度由126.8°最大值旋转减小至最小值8.4°,即机体重心升至最高。当lOF 由90°位置旋转运动到270°时,lEF 延伸杆lFG 向前摆动,实现悬空往前迈步运动;当lOF 由270°位置旋转运动到90°时,lEF 延伸杆lFG 向后摆动运动,与此同时,lFG 着地支撑机体并推动机体前进;如此规律交替,实现机体的步行运动。仿真结果与理论运动学分析结果一致,lFG摆动角范围可达30°;可通过改变lEF延伸杆lFG的长度和曲柄lOF杆长度来调节机体步幅大小。
3 后步行腿机构运动学方程建立与仿真分析
3.1 建立后步行腿机构的数学模型
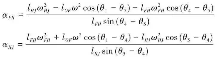
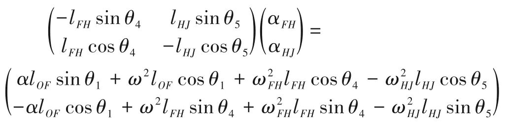
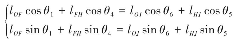
如前所述,前、后步行腿机构(步行腿1 与步行腿3)的运动轨迹相同,现只取后步行腿机构分析。同理,用矢量法建立后步行腿机构的封闭矢量多边形,如图6 所示,各连杆的长度分别为lOF、lFH、lHJ和机架lOJ,其对应方位角分别为θ1、θ4、θ5、θ6;后步行腿四连杆机构的封闭矢量位置方程式为:lOF +lFH = lOJ + lHJ,该矢量封闭方程向直角坐标系投影后的分量形式为
图6 后步行腿机构矢量法分析图
Fig.6 Vector analysis diagram of rear walking leg mechanism
对于后步行腿四连杆机构,其各连杆的长度、原动件曲柄lOF 的初始位置角度θ1 和固定角速度ω 已知,而机架lDO的角度θ6=0°,故由此矢量方程可求得未知方位角θ4、θ5。角位移矢量方程分量形式对时间求1阶导数,可得角速度方程为
其矩阵形式为
可求得
ωHJ = ωlOF sin(θ1 - θ4)∕[lHJ sin(θ5 - θ4)]
ωFH = -ωlOF sin(θ1 - θ5)∕[lFH sin(θ4 - θ5)]
角位移矢量方程分量形式对时间求2阶导数可得角加速度方程,其矩阵形式为
可求得
3.2 后步行腿机构的运动学仿真与分析
同理,利用Adams 软件对后步行腿机构进行几何建模。如表2所示,根据后步行腿机构各连杆杆件质量特性、尺寸和初始位置,创建后步行腿机构几何模型。然后创建各连杆之间的旋转运动副,其中,O 点、J 点是固定旋转运动副,lJK 是连杆lHJ 的延伸部分,两杆绕着J 点同时旋转运动。最后根据电机25 r∕min 的转速,给曲柄lOF 施加一个运动,使其以ω=150(°)∕s 逆时针方向转动。至此,后步行腿连杆机构运动仿真模型构建完毕,如图7所示。
表2 后步行腿机构各杆件尺寸、初始位置
Tab.2 Size,initial position of each member in rear walk⁃ing leg mechanism
图7 后步行腿机构虚拟样机仿真模型
Fig.7 Virtual simulation model of rear walking leg mechanism
在Adams-View-Simulation 工具菜单中设置终止时间t=15 s、步长Step=200,进行机构模型运动仿真。在机构仿真运动过程中,通过测量可以得到后步行腿各连杆杆件的的实时运动特征,如曲柄lOF 角度、角速度、角加速度随时间变化的测量曲线,lHJ(步行腿3)角度、角速度、角加速度随时间变化的测量曲线和运动摆角范围,以及lHJ(步行腿3)角度随曲柄lOF 角度变化的测量曲线,并可以提取测量曲线上任意点的特性值,如最大值、最小值、平均值等,如图8所示。
图8 lHJ(步行腿3)角度、角速度、角加速度随时间、lOF角度变化的测量曲线图
Fig.8 Measurement curve of angle,angular velocity and an⁃gular acceleration of leg 3(lHJ)with time and angle of lOF
通过后步行腿连杆机构运动轨迹仿真和曲柄lOF、lHJ(步行腿3)的测量曲线说明,后步行腿连杆机构运动连续平稳,符合步行机构设计要求。其中,lHJ(步行腿3)角度随曲柄lOF角度变化的运动轨迹为:lOF从水平0°位置开始逆时针旋转运动,lOF 角度随时间一直均匀增大,这与驱动角速度ω 有关系;而lHJ 角度先减小再增大,如此规律交替。即:lOF 从初值0°位置旋转运动到31.9°时,lHJ 角度从初值79.9°旋转减小至最小值74.6°;lOF 由31.9°位置旋转运动到225°时,lHJ角度由74.6°旋转增大至最大值120.1°,即lHJ延伸杆lJK 向后摆动运动,与此同时,lJK 着地支撑机体并推动机体前进;当lOF 由225°位置旋转运动到31.9°时,lHJ 角度由最大值120.1°减小至74.6°,即lHJ 延伸杆lJK 向前摆动,实现悬空往前迈步运动;如此规律交替,实现机体的步行运动。仿真结果与理论运动学分析结果一致,lHJ 摆动角范围可达45.5°,可通过改变lHJ延伸杆lJK的长度和曲柄lOF杆长度来调节机体步幅大小。
4 原型样机搭建及行走试验
图9 所示为双电机驱动的六足直立式步行机器人。根据单侧步行腿连杆机构运动仿真模型,构建另一侧步行腿机构模型进行运动学仿真,结果表明,两侧步行腿连杆机构的运动轨迹和测量曲线变化一致,仿真结果与理论运动学分析结果一致。最后,根据仿真模型设定尺寸,在实验室搭建了等比例实物样机模型。该机器人样机机体结构框架约长95 mm,宽110 mm,高85 mm;机体质量约112 g,其中,电机质量9.5 g,电池质量28 g。样机行走可行性试验结果表明,该六足直立式步行机器人可以进行三角步态的前进、后退,也可实现原地掉头动作。步行机构实物样机运行连续平稳,验证了方案设计的正确性和虚拟样机仿真结果的正确性,符合步行机构设计要求。
图9 双电机驱动的六足直立式步行机器人
Fig.9 Dual-motor driven six-legged upright walking robot
5 结论
通过对双电机驱动的六足直立式步行机构的设计原理分析,运用矢量解析法和牛顿力学等分析方法,建立步行腿机构的数学模型进行运动学分析,求解出了前、后、中间步行腿的位置、角速度、角加速度变化规律。利用虚拟样机分析软件Adams 对单侧步行腿机构进行运动轨迹建模仿真,得到了前、后、中间步行腿的位置、角速度、角加速度变化曲线,仿真结果表明,步行腿机构的运动特性能够满足六足直立式步行机器人的工作设计要求。最后,搭建实物样机验证了工作原理、方案设计、虚拟仿真结果的正确性和可行性,可为下一步的动力学分析和优化设计制造奠定基础。
参考文献
[1] 张陈曦,吴胜权,何永,等.仿生步行机器人腿部八连杆机构轨迹优化[J].机械传动,2018,42(6):39-43.ZHANG Chenxi,WU Shengquan,HE Yong,et al.Trajectory optimi⁃zation of eight -link mechanism for legs of walking bio-robot[J].Journal of Mechanical Transmission,2018,42(6):39-43.
[2] 朱维金.四足步行机构的步行运动仿真[J].科技创新导报,2017,14(5):119-121.ZHU Weijin.Walking motion simulation of quadruped walking mech⁃anism[J].Science and Technology Innovation Herald,2017,14(5):119-121.
[3] 张久雷.双电机驱动的六足直立式步行机器人的设计[J].青岛理工大学学报,2014,35(2):118-122.ZHANG Jiulei.Design of a parasaggital hexapod walking robot driv⁃en by dual-motor[J].Journal of Qingdao Technological University,2014,35(2):118-122.
[4] 张久雷.双电机驱动的六足直立式步行机构设计与运动学分析[J].机械传动,2018,42(10):106-111.ZHANG Jiulei.Design and kinematics analysis of dual-motor driven six-legged upright walking mechanism[J].Journal of Mechanical Transmission,2018,42(10):106-111.
[5] 许县忠,于文妍.基于ADAMS 的六连杆轮式驱动机器人回转运动研究[J].机械工程与自动化,2019(1):91-95.XU Xianzhong,YU Wenyan.6-linkage wheel-drive robot steering simulation study based on ADAMS[J].Mechanical Engineering &Automation,2019(1):91-95.
[6] MSC.Software.MSC.ADAMS∕View高级培训教程[M].邢俊文,陶永忠,译.北京:清华大学出版社,2004:7-10.MSC.Software.MSC.ADAMS∕View Advanced training course[M].XING Junwen,TAO Yongzhong,Jr.Beijing:Tsinghua University Press,2004:7-10.
[7] 徐蔚青,严惠,张吴晖.基于Klann机构的多足连杆步行机器人的仿真优化[J].机械设计,2018,35(5):25-29.XU Weiqing,YAN Hui,ZHANG Wuhui.Simulation-based optimiza⁃tion on multi-legged walking robot based on klann mechanism[J].Journal of Machine Design,2018,35(5):25-29.
[8] 马启武,杨永发,孙有祥.基于ADAMS的烟草移栽机用双曲柄连杆机构运动仿真分析[J].林业机械与木工设备,2012,40(1):46-48.MA Qiwu,YANG Yongfa,SUN Youxiang.Kinematics simulation analysis of double-crank connecting rod mechanism for tobacco transplanters based on ADAMS[J].Forestry Machinery & Wood Working Equipment,2012,40(1):46-48.
[9] 肖晓萍,李自胜.一自由度腿式行走机构的研究与设计[J].机械设计与制造,2012(6):47-49.XIAO Xiaoping,LI Zisheng.Study and design of one-DOF leg walk⁃ing mechanisms[J].Machinery Design & Manufacture,2012(6):47-49.
[10] 陈新德.基于ADAMS 的机械压力机六连杆机构的优化设计[J].机械传动,2016,40(6):97-100.CHEN Xinde.Optimization design of mechanical press machine sixlink mechanism based on ADAMS[J].Journal of Mechanical Trans⁃mission,2016,40(6):97-100.
文章来源:机械传动
工程师必备
- 项目客服
- 培训客服
- 平台客服
TOP




















