Amesim电池教程 电池热失控模型 在线阅读
1. 概述
本文旨在描述Amesim中的电池热失控模型的建模原理、使用方法,在电池热失控过程中,各阶段反应放热模型以及各参数的物理意义。
模型原理:对于各阶段的化学反应,基于用户通过热测试试验标定好的参数,根据半经验公式(Arrhenius)计算各阶段的反应速率,再由反应速率对时间积分计算反应物质消耗及其放热量。详细过程如下所述。
2. 电池热失控过程
2.1. 产生原因
当锂电芯内部的生热速率超过单体对外部的散热速率时,锂电池将发生热失控现象。因此,锂电池在任何情况下(充电/放电/存储),都有安全温度的限制要求Tlim。
A)正常工作区与失控发生区 B)外部温度升高导致热失控 C)换热能力下降导致热失控
内部原因:
例如:电池内部化学原因导致的内部短路,电池自身的设计缺陷,电池的生产制造缺陷,电池的过充,BMS的软硬件故障。
外部原因:
例如:机械外力(事故)导致的电池内部短路(穿刺等),外部环境温度过高,外部电路短路等。
锂电池热失控的起始温度(OTR-Onset of Thermal Runaway)一度被认为是锂的熔点,大概180degC。但实际上在这之前已经发生了一系列的持续放热化学反应,因此,实际热失控的起始温度要远低于该值,对于一块充满的锂电池,热失控一旦发生,其内部温度将持续增高,最高可达600 degC。下面说明锂电池热失控对应的各阶段及其过程:
2.2 反应过程
2.2.1 固体电解质膜(SEI)反应
在将近100 degC的条件下,亚稳态(metastable)的固体电解质膜((CH2OCO2Li)2)发生分解反应,转化为稳态(stable)的固体电解质膜(Li2CO3),并释放气体导致锂电池内部压力升高。该反应为放热反应,将电池内部温度持续推高。
主要反应方程式:
试验表明,该反应速率与电解液的成分以及电池的负极材料属性相关。对应Amesim中的过程:SEI stabilization。
2.2.2 负极发生与电解液溶剂反应
在120 degC左右,负极内嵌的锂原子与电解液溶剂发生反应,形成一层稳态SEI附着于负极。该反应为放热反应,将电池内部温度持续推高。
主要反应方程式:
试验表明,该反应速率与电解液的成分相关。对应Amesim中的过程:Solvent reduction onthe negative electrode (SEI formation)
2.2.3 正极发生与电解液溶剂反应
在170 degC左右,正极开始和电解液溶剂发生反应。由于正极通常为不同化学混合(例如:不同的金属氧化物)。因此无法给出确定的反应方程式。
由于电极上活性物质与电解液溶剂发生还原反应,在高温下释放出氧气,而氧气又进一步与电解液溶剂发生氧化反应。
主要反应方程式:
试验表明,该反应速率与电解液的成分以及电池的负极材料属性相关。对应Amesim中的过程:Positive electrodedecomposition 。
2.2.4. 电解液溶质分解反应
超过100 degC之后,电解液溶质锂盐LiPF6开始分解;对于充电状态的碳负极化学活性非常高,接近金属锂,在高温下表面的SEI膜分解,嵌入石墨的锂离子与电解液、黏结剂会发生反应,进一步把电池温度推高到150℃,此温度下又有新的剧烈放热反应发生,例如电解质大量分解,生成PF5+HF,PF5进一步催化有机溶剂发生分解反应等。这些反应能够将电芯温度推至230~280 degC。
对应Amesim中的过程: Electrolytedecomposition
2.2.5. 内部短路(隔膜熔化)
在150~200℃范围内,电池内聚烯烃隔膜发生热收缩或熔融,隔膜融化本身为吸热过程,因此会观察到电芯温度略有下降。随着隔膜的进一步融化,导致电池大面积短路,剧烈放热,使得电池进一步温升及加速内部化学反应。
对应Amesim中的过程: Self-discharge /short-circuit
2.2.6. 气体泄漏
随着电解液发生剧烈的氧化反应,释放出大量的热,产生高温和大量有毒且具有腐蚀性的气体。例如:CO, CO2, HF。当电芯内部压强超过电芯封装的承受能力时,将发生气体泄漏,甚至爆炸。
对应Amesim中的过程: Venting
3. 电池热失控各部分化学反应放热模型
3.1. 各部分化学反应放热量计算
3.1.1. 固体电解质膜(SEI)反应
将SEI视为由稳态和亚稳态的两种物质构成。以xSEI表示亚稳态SEI中锂离子的质量占比(无量纲)。从60 degC附近开始,亚稳态的SEI将开始分解反应并放热。定义其反应速率为RSEI,则有:
由该反应产生的放热量为:
上述反应公式中的参数取值参考值如下:
3.1.2. 负极发生与电解液溶剂反应
电解液溶剂的消耗速率与负极上稳态SEI生成的速率一致,此消彼长。其中,用ZSEI表示稳态SEI所占比重,xneg表示负极电解液溶剂消耗量所占比重。以-Rneg表示反应速率。
这里通过项来表示反应速率受到扩散浓度的制约,zSEI越大,则反应越慢。锂离子的传输阻力与稳态SEI的厚度成指数相关。
因此,该部分的反应放热率为:
上述反应公式中的参数取值参考值如下:
3.1.3. 正极发生与电解液溶剂反应
把正极与电解液溶剂反应的转化因子定义为xpos,则它的导数即为反应速率。
因此,该部分的反应放热率为:
由于正极反应导致的电池容量损失:
用比例因子FQres来表示剩余容量与初始容量的关系,该因子的计算方式如下:
参考取值如下:
xpos在上表中的值为电池充满状态下的取值,它与放热反应开始时的SOC相关,用户可以调整。其中为wvpos为密度,因此代入到放热率计算公式还需乘以单体体积。
3.1.4. 电解液溶质分解反应
高温状态下,电解液不再稳定,电解液溶质(例如:LiPF6)将与空气发生氧化反应。以无量纲数 θe表示参加反应的电解质。则反应速率为(此处xe应为θe):
因此,该部分的反应放热率为:
电解质LiPF6对应的参考取值如下,其他类型的数值需用户自行修改:
3.1.5. 自放电(隔膜熔化)
高温下,隔膜熔融后电池内部将出现大量短路,这将直接导致锂电池端电压输出下降到0V。锂电池内部的短路电路大小为:
单体产生的热量由下式计算得到:
在此过程单中,由于SOC下降到0%或OCV下降到0V是完全有可能发生的,因此需要等效电路模型中的OCV标定中,保证OCV =f(SOC,Temp)的对应关系的正确性。通常作为是在电池等效电路模型OCV的参数表中加入一个扩展的拟合点:SOC=-20%或OCV=0V。
3.2. 气体泄漏计算
3.2.1. 各部分反应的气体生成量
各部分反应对应的气体生成量(单位:[mol/kg],每千克反应物对应生成的气体mol数。):
固体电解质膜(SEI)反应:Vgsei
负极反应:Vgn
正极反应:Vgp
电解质反应:Vge
每种反应对应的气体生成速率计算如下:
3.2.2. 电芯内部压强
由于各部分反应产生气体,单体内部的压强将随反应过程上升,计算方式如下:
当单体内部压强与外部环境压强的差值超过设定值时,将导致泄压阀打开、气体泄漏或单体爆炸。
泄漏气压以及各部分反应气体生成量的变化过程如下图所示:
3.2.3. 气体泄漏量
一旦泄压开始,整个过程视为绝热过程,并且泄压过程对电池单体的宏观质量没有影响。气体的泄露量取决于泄漏气体的马赫数,计算方式如下:
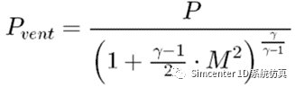
基于上述泄漏气体的马赫数,可以计算出:
泄漏气体的压强:
泄漏气体的温度:
泄漏气体的速度:
由此可以计算气体泄漏的速率:
其中,Avent泄漏区域的面积,ngas为泄漏气体的mol量。
3.2.4. 由泄漏产生的吸热
由于气体泄漏导致单体内部压力骤降,单体内部被吸收热量速率为:
其中,Vh为单体内部的剩余空间,以圆柱形的电池为例,可以取其体积的10%。
气体泄漏吸热导致的瞬时单体温度下降,仿真与试验结果对比如下:
3.3. 电芯整体发热量计算
单体整体的热交换计算如下:
上式中,内部短路自放电过程除了产生Φec外,还会引起熵热变化,迟滞损失。以及由等效电路模型引起的欧姆损失、电荷转移损失、扩散损失。
--------------------完 ---------------------
文章来源Simcenter 1D 系统仿真
工程师必备
- 项目客服
- 培训客服
- 平台客服
TOP




















