AMESim之HCD库介绍 带粘性摩擦与间隙泄漏的活塞腔
该模型的子模型有6种,可划分为三类。
首先是标准子模型BAF01、BAF02;
其次是考虑了径向形变的BAF003、BAF004;
最后是考虑接触长度变化的BAF31、BAF32.
01
—
BAF01、BAF02
该子模型计算圆柱形阀芯或活塞与圆柱形套筒之间的层流液压泄漏,以及相应的粘性摩擦力。由 Couette 和 Poiseuille 流引起的流动和摩擦都被考虑在内。该子模型仅处理层流(Re < 10,000),并且相对于活塞直径,间隙应该非常小。泄漏间隙的长度可以是恒定的,也可以随位移而变化。
建模时还可以考虑活塞和套筒之间的直径偏心。假定该偏心率是恒定的。
如果考虑在高压下工作(如柴油喷射系统中的 600 bar 以上),为了获得更好的精度,可使用更高级的子模型 BAF003,该子模型计算由于高压导致的径向间隙变形。
请注意,泄漏是间隙和偏心率的立方,因此对这两个参数非常敏感。使用此子模型时,请始终检查雷诺数是否在有效范围内。
BAF01 与 BAF02 的区别仅在于与端口 3 和 4 相关的变量是互换的。
参数及计算公式:
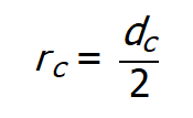
间隙直径dc与偏心距ecc的定义如下图所示。
活塞的直径应小于活塞腔直径 dp。
如果 dc 的值未知,则使用直径的 1/1000。
偏心距是活塞轴线与外壳轴线之间的距离。它的值通常为 0,并且必须小于半径 rc 上的游隙(径向游隙),定义为:
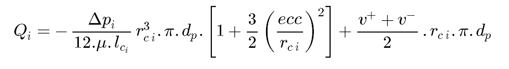
泄漏流量公式:
其中:
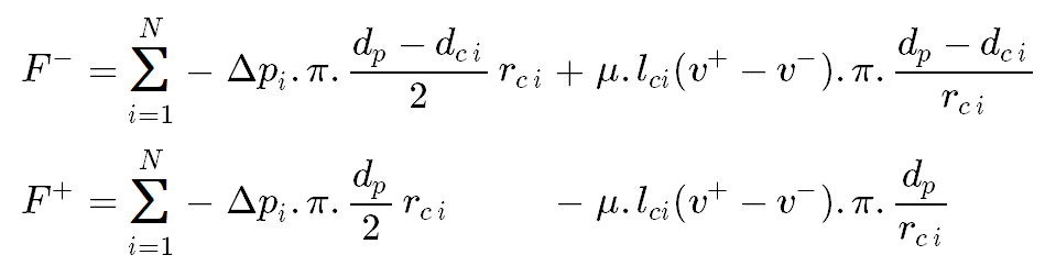
Δp是1、2口的压差;
lc是接触长度;
v+与v-分别是阀套速度与阀芯速度。
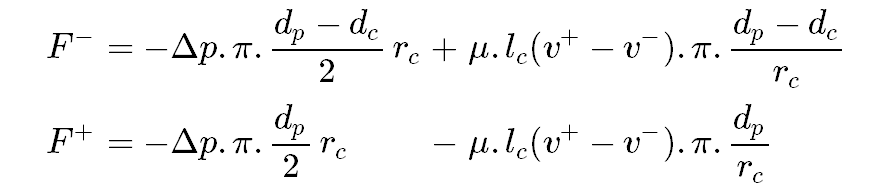
阀芯与阀套所受摩擦力为:
02
—
BAF003、BAF004
与标准子模型BAF01、BAF02相比,该子模型可以定义一个由多达 N 个内部压力状态变量和 N - 1 个内部流量变量组成的交错网格,其实就是将间隙离散化。
该子模型还考虑了沿接触长度的间隙随高压的变形。当压力增加时,间隙增加。由于 泄漏是间隙的立方,因此对这种现象非常敏感。
BAF003与BAF004的区别仅在于与端口3和4相关的变量是互换的。
间隙离散化实现方法:
通过枚举 nnodes,用户可以选择用于离散间隙的节点数。
节点数 N 对应于端口 1 和端口 2 之间的压力节点数。在实践中,N = nnodes - 1:
如果此节点数设置为 0,则BAF003 类似于 BAF01。
如果此节点数不为 0,则BAF003 的行为类似于一系列简单的泄漏(如 BAF01)和可能具有可变长度和间隙的腔室(BHC11 或 HC00):
泄漏在 N 个压力节点和 N - 1 个内部流量节点中离散化,以便它们根据以下交替方案定义交错网格:
在间隙两侧会添加两个额外的流量节点q1、q2以计算端口 1 和 2 的流量。
可变间隙实现方法:
在高压应用中,活塞与腔体之间出现间隙变形:
这里有三种方法来定义径向间隙:
通过常数定义:即间隙为常数,不受压力等级影响。
通过材料强度的解析式:须指定大气压力下直径的初始间隙以及活塞和套筒材料的机械性能。
压力为pmid时的径向间隙:
通过2D数据表:
该表提供了作为 x / lc 函数的径向间隙值、长度比以及端口相对于大气的最高压力。例如
参数及计算公式:
每个离散节点的体积流量:
相邻节点压差:
所受摩擦力为:
03
—
BAF31、BAF32
当活塞与阀套的接触长度发生变化时,可能会出现两种流场。
如果活塞和套筒之间的接触长度不是很小,则流量是经典的环形层流泄漏。在这种情况下,该子模型仅处理层流(Re < 10000),因此相对于活塞直径,间隙应该非常小。
如果接触长度变得非常小(即活塞末端接近套筒边缘),则流量变为孔口。然后流动会在孔口区域变为湍流。
接触长度的定义:
用于计算接触长度 lc 的公式取决于枚举 id 并且基于增加的正位移 x3。
如果 id 表示接触长度随着正位移的增加而增加:
如果接触长度随着正位移的增加而减小:
参数及计算公式:
既然根据接触长度的不同会产生两种流场,那么其各自对应的参数计算公式也会有所不同。
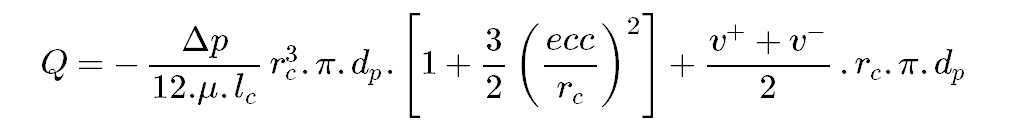
对于环形层流区:
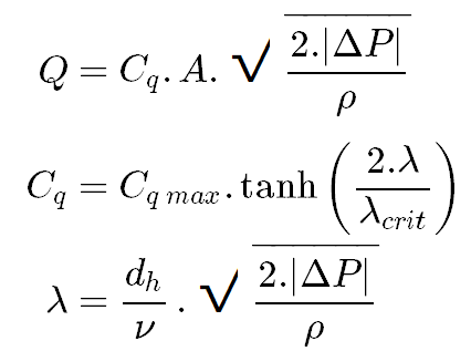
流量计算公式为:
孔口流动区:
计算公式为:
文章来源:基算仿真
工程师必备
- 项目客服
- 培训客服
- 平台客服
TOP




















