【CAE案例】基于结构有限元和强度折减法的非均质土石坝稳定性分析
2023年2月7日 13:37大坝一般指河床上的挡水建筑物,主要用来拦截江河,形成水库,为发电、防洪、灌溉、供水、航运等提供条件,它是水电工程枢纽建筑物的重中之重,对上下游沿岸人民生命财产安全至关重要。
其中,土石坝是一种普遍采用的坝型,相较于其它类型的大坝具有取材方便、技术简单、建设周期短、成本低等优势。据国际大坝会议统计,土石坝占据全世界所有超15米大坝的80%以上。
国内的土石坝多在上世纪 50-60 年代建成,由于当时技术条件的限制,这些工程经过半个多世纪以来的运营,产生了很多的“病险水库”,不仅影响其发挥自身效益,而且还可能给库区的下游民众带来经济损失与生命安全威胁。
土石坝依靠土体颗粒之间的摩擦力来维持稳定,发生破坏的原因主要是受到剪切力的破坏。
通过有限元分析,水利工作者可以获得坝体的应力场,并预判坝体的位移和破坏面,为排查水利风险提供决策支持。
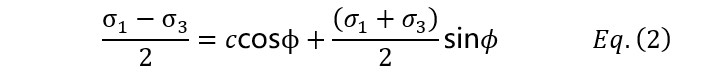
对于非均质的土石坝,常采用强度折减法进行非线性稳定性分析。根据Mohr-Coulomb 强度准则,土体的抗剪强度的表达式为:
Eq. (1) 中,τ 为大坝材料的抗剪强度,c 是粘聚力,σ 是正应力,Φ 是内摩擦角。
如图 1 所示,当大坝处于稳定状态时,图中斜线满足一次函数关系式,其中 R为内摩擦角的正切 tanΦ,当斜线与莫尔圆相切时,τ达到临界值,继续增大则会发生坝体破坏。
将切点坐标代入 Eq.(1),可以得到 Mohr-Coulomb 破坏强度条件:
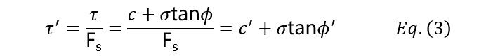
为了研究大坝的稳定性临界点,本案例参考Griffiths 的论文采取强度折减法[1],将大坝材料抗剪强度除以安全系数 Fs,折减为:
Eq. (3) 中,τ’, c’, Φ’ 分别是折减后的抗剪强度、粘聚力和内摩擦角。在对土石坝的稳定性分析过程中,逐步提高安全系数 Fs以降低材料的强度,直到材料的抗剪强度刚好无法承受坝体重力,计算无法收敛,则此时的安全系数 Fs为土石坝稳定的临界安全系数。超过该临界值则认为材料强度不足以维持大坝的稳定。
以图 2 所示的二维非均质土石坝为例,首先绘制土石坝的 2D 模型,图中的 H 为尺寸设计参数,如设定 H = 3 米。
绘制完成几何形状后,对模型进行分组并划分网格,考虑到工程中大坝常采用非均质材料组成,上下两层的粘聚力不同,因此将二者比值设为 。为提高模型计算精度,将上下两层结构的交界处网格加密。
网格划分完毕后,对大坝进行静力学非线性分析。首先读取网格,对上下两层坝体分别赋予不同的材料(材料属性见表 1)。
区域 |
密度/kg.m-3 |
杨氏模量/MPa |
泊松比 |
内摩擦角Φ |
膨胀角ψ |
粘聚力C |
上坝体 |
1600 |
100 |
0.3 |
0 |
0 |
ρgH/4 |
下坝体 |
1600 |
100 |
0.3 |
0 |
0 |
/ |
接下来,在结构有限元分析软件中添加有限元模型,模型本构选择 Mohr-Coulomb 准则。在大坝结构的底部设置固定边界条件,在两侧固定 x 方向的平动自由度;对大坝的坝体施加重力载荷,|g| 为 9.81 m/s2,方向沿 z 轴负方向。
根据 Newton-Raphson 迭代法,设置 10 个时间步,将大坝的重力加速度从0逐步加载至1.0 g。
设置完成后即可在 STAT_NON_LINE 分析模块对大坝稳定性进行求解分析。若坝体处于稳定的条件下,将会得到收敛的计算结果;反之,可以判断坝体不稳定。
通过改变上下坝体Cu1和Cu2的比值,可以得到不同材料组合下的临界安全系数,并作出FOS-C2/C1曲线。
如图4所示,对于不同的C2/C1比值,计算得到的临界安全系数FOS、大坝位移均与论文研究结果一致。
由图 4和图 5 结果对比可知,当Cu2/Cu1偏小时,下方坝体不稳定;当Cu2/Cu1偏大时,上方坝体不稳定。
本案例通过对非均质土石坝进行 Mohr-Coulomb 本构稳定性分析,计算得到了大坝的临界安全系数,并研究了上下坝体粘聚力的比值变化对土石坝破坏行为的影响。结果表明,计算结果和文献研究结果之间的最终误差在1.5%以内,进一步体现了有限元分析软件在水利和坝工计算领域的强大分析能力和广阔应用潜力。
工程师必备
- 项目客服
- 培训客服
- 平台客服
TOP




















